Giáo án Toán 7 Bài 5: Lũy thừa của một số hữu tỉ (tiết 1) mới nhất
Giáo án Toán 7 Bài 5: Lũy thừa của một số hữu tỉ (tiết 1) mới nhất
Xem thử Giáo án Toán 7 KNTT Xem thử Giáo án Toán 7 CTST Xem thử Giáo án Toán 7 CD
Chỉ từ 300k mua trọn bộ Kế hoạch bài dạy (KHBD) hay Giáo án Toán 7 cả năm (mỗi bộ sách) bản word chuẩn kiến thức, trình bày đẹp mắt:
- B1: gửi phí vào tk:
1133836868- CT TNHH DAU TU VA DV GD VIETJACK - Ngân hàng MB (QR) - B2: Nhắn tin tới Zalo VietJack Official - nhấn vào đây để thông báo và nhận giáo án
I. MỤC TIÊU
Qua bài này giúp học sinh:
1. Kiến thức:
- Hiểu định nghĩa lũy thừa với số mũ tự nhiên của một số hữu tỉ,
- Hiểu quy tắc tính tích, thương của hai lũy thừa cùng cơ số, quy tắc tính lũy thừa của một lũy thừa
2. Kỹ năng:
- Kĩ năng vận dụng các quy tắc để rút gọn biểu thức, tính giá trị số của lũy thừa
3. Thái độ:
- Có ý thức vận dụng các quy tắc trên để tính toán nhanh, hợp lý
4. Định hướng năng lực, phẩm chất
- Năng lực: Năng lực tự học, năng lực giải quyết vấn đề, năng lực hợp tác, năng lực ngôn ngữ, năng lực tự học.
- Phẩm chất: Tự tin, tự chủ.
II. CHUẨN BỊ
1. Giáo viên: Phấn màu, bảng phụ, thước thẳng, SGK, SBT
2. Học sinh: Đồ dùng học tập, đọc trước bài.
III. TỔ CHỨC CÁC HOẠT ĐỘNG DẠY HỌC
1. Ổn định lớp: Kiểm tra sĩ số. (1 phút)
2. Nội dung:
Hoạt động của GV |
Hoạt động của HS |
Nội dung |
|---|---|---|
A. Hoạt động khởi động (5 phút) Mục tiêu: Nhớ lại định nghĩa về lũy thừa của một số tự nhiên Phương pháp: Hỏi đáp |
||
- GV kiểm tra bài cũ HS: Cho a là một số tự nhiên. Lũy thừa bậc n của a là gì? Viết công thức tổng quát?. - Viết các kết quả sau dưới dạng một lũy thừa: 35 . 32; 78 : 76. |
- Phát biểu; ghi đúng công thức và cho đúng - Tính đúng: 35 . 32 = 37; 78 : 76 = 72. |
|
B. Hoạt động hình thành kiến thức |
||
Hoạt động 1: Lũy thừa với số mũ tự nhiên (10 phút) Mục tiêu: Hiểu định nghĩa lũy thừa với số mũ tự nhiên của một số hữu tỉ Phương pháp: Đàm thoại |
||
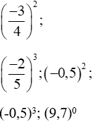
- Tương tự như đối với số tự nhiên, hãy định nghĩa lũy thừa bậc n của số hữu tỉ x (n ∈ N, n > 1)? - Giới thiệu công thức xn và yêu cầu HS nêu cách đọc, và các quy ước. - Nhấn mạnh: xn là lũy thừa bậc n của x (hay x mũ n). - Giới thiệu quy ước: x1 = x, x0 = 1, (x ≠ 0) - Nếu viết x = ? - Nhấn mạnh và cho HS ghi vở. - Yêu cầu HS cả lớp cùng làm ?1 Tính: - Nhận xét gì về dấu của luỹ thừa với số mũ chẵn và dấu của luỹ thừa với số mũ lẻ của một số hữu tỉ âm? |
● x : cơ số ● n : số mũ ● xn : lũy thừa bậc n của x (x mũ n) - Cả lớp cùng làm bài vào vở, một HS lên bảng tính. Kết quả
- Suy nghĩ, xung phong trả lời + … luỹ thừa bậc chẵn của số âm là số dương + …… luỹ thừa bậc lẻ của một số âm là một số âm. |
1. Lũy thừa với số mũ tự nhiên. a. Định nghĩa: Lũy thừa bậc n của số hữu tỉ x là tích của n thừa số x + Công thức: + Quy ước: x1 = x; x0 = 1 (x ≠ 0) b. Chú ý - Nếu viết x = Ta có: |
Hoạt động 2: Tích và thương hai lũy thừa cùng cơ số. (10 phút) Mục tiêu: - Hiểu quy tắc tính tích, thương của hai lũy thừa cùng cơ số Phương pháp: Hỏi đáp |
||
-Nêu quy tắc nhân, chia hai lũy thừa cùng cơ số ? Viết công thức tổng quát ? - Đối với số hữu tỉ ta cũng có: xm . xn = xm+n và xm : xn = xm-n - Nêu điều kiện để thực hiện được phép tính chia hai lũy thừa cùng cơ số? - Hãy phát biểu hai quy tắc trên thành lời? - Gọi HS lên bảng làm ?2 và yêu cầu cả lớp cùng làm bài Tính: a) (-3)2.(-3)3 b) (-0,25)5:(-0,25)3 c) xm.xn.xp + Áp dụng trả lời nhanh các câu hỏi nhỏ: - Treo bảng phụ Bài 49 SBT: - Yêu cầu HS giải thích vì sao phải chọn như vậy? GV khoanh đáp án đúng ở bảng phụ. |
- Vài HS trả lời am.an = am + n; am:an = am - n - HS: xm :xn = xm - n - HS trả lời: x ≠ 0; m ≥ n - HS phát biểu - HS lên bảng thực hiện a) (-3) 2 .(-3) 3= (-3) 5 b) (-0,25) 5:(-0,25) 3 = (-0,25) 2 c) xm.xn.xp = xm + n + p - HS trả lời: Kết quả đúng: a) B. 38 b) A. 29 c) D. an+2 d) E. 34 |
2. Tích và thương hai lũy thừa cùng cơ số. + Tích hai lũy thừa cùng cơ số: - Ta có: xm. xn = xm+n - Quy tắc: Khi nhân hai lũy thừa cùng cơ số, ta giữ nguyên cơ số và cộng 2 số mũ + Thương hai lũy thừa cùng cơ số - Tacó: xm : xn = xm - n; (x ≠ 0; m ≥ n) - Quy tắc: Khi chia hai lũy thừa cùng cơ số khác 0, ta giữ nguyên cơ số và lấy số mũ của lũy thừa bị chia trừ đi số mũ của lũy thừa chia + Áp dụng |
Hoạt động 3: Lũy thừa của lũy thừa (7 phút) Mục tiêu: - Hiểu quy tắc tính lũy thừa của một lũy thừa Phương pháp: Hỏi đáp, HĐ nhóm |
||
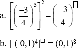
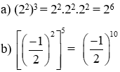
- Tính và so sánh: a) (22)3 và 26 b) - Nhận xét gì về các số mũ 2, 3 và 6 ? - Khi tính lũy thừa của lũy thừa ta làm thế nào? - Giới thiệu công thức: (xm)n= xm .n - Treo bảng phụ nêu bài tâp sau - Yêu cầu HS hoạt động nhớ 1. Điền số thích hợp vào ô trống 2. Câu nào đúng, câu nào sai? a) 22.23 = (22) 3 b) 22.23 = 32.23 c) 22.22 = (22)2 d) 12.13 = 12+3 e) (xm)n = xm.xn - Gọi đại diện vài nhóm khác nhận xét, bổ sung - Lưu ý: xm. xn (xm)n - Khi nào thì ( xm)n = xm.xn? |
HS lên bảng làm - HS nêu nhận xét 2.3 = 6 HS: Khi tính lũy thừa của một lũy thừa, ta giữ nguyên cơ số và nhân hai số mũ. - Đọc kĩ đề bài và suy nghĩ - Hoạt động nhóm - Đại diện các nhóm treo bảng phụ và trình bày 1. Điền số thích hợp: a) 6 b) 2 2. Câu nào đúng, câu nào sai? a) sai b) sai c) đúng d) đúng e) sai - Đại diện nhóm khác nhận xét, bổ sung |
3. Lũy thừa của lũy thừa. - Ta có: (xm)n = xm.n - Quy tắc : Khi tính lũy thừa của một lũy thừa, ta giữ nguyên cơ số và nhân hai số mũ. 1. Điền số thích hợp vào ô trống 2. Câu nào đúng, câu nào sai? a) 22.23 = (22) 3 sai b) 22.23 = 32.23 sai c) 22.22 = (22)2 đúng d) 12.13 = 12 + 3 đúng e) (xm)n = xm.xn sai |
C. Hoạt động luyện tập (10 phút) Mục tiêu: nhận biết, củng cố các phép toán cộng trừ nhân chia Phương pháp: HĐ nhóm, HĐ cá nhân |
||
- GV chốt kiến thức toàn bài Bài 27 SGK: - Gọi 2 HS lên bảng giải - Gọi vài HS nhận xét, bổ sung. Bài 28 SGK - yêu cầu HS hoạt động nhóm GV: Cho từng nhóm nhận xét bài giải của nhau. Rút ra nhận xét? |
- HS: 2 em lên bảng giải - HS làm theo nhóm Kết quả: Nhận xét: Lũy thừa bậc chẵn của một số âm là một số dương; Lũy thừa bậc lẻ của một số âm là một số âm. |
Bài 27: SGK: Bài 28: SGK Nhận xét: Lũy thừa bậc chẵn của một số âm là một số dương; Lũy thừa bậc lẻ của một số âm là một số âm. |
D. Hoạt động vận dụng, tìm tòi, mở rộng (2 phút) Mục tiêu: Khuyến khích HS tìm tòi, phát hiện một số tình huống, bài toán có thể đưa về vận dụng lũy thừa của một số hữu tỉ. Phương pháp: hoạt động nhóm bàn 2 HS |
||
- Giao nhiệm vụ cho HS thực hiện: Từ bài toán vận dụng trên, em có thể đặt ra một đề bài tương tự và giải bài toán đó - GV yêu cầu: Đọc phần có thể em chưa biết về nhà toán học Fi-bô-na-xi. |
- HS thực hiện yêu cầu GV, thảo luận cặp đôi, chia sẻ, góp ý (trên lớp, về nhà) |
|
Xem thử Giáo án Toán 7 KNTT Xem thử Giáo án Toán 7 CTST Xem thử Giáo án Toán 7 CD
Xem thêm các bài soạn Giáo án Toán lớp 7 theo hướng phát triển năng lực mới nhất, hay khác:
- Giáo án Toán 7 Bài 5: Lũy thừa của một số hữu tỉ (tiết 2)
- Giáo án Toán 7 Bài 7: Tỉ lệ thức (tiết 1)
- Giáo án Toán 7 Bài 7: Tỉ lệ thức (tiết 2)
- Giáo án Toán 7 Bài 8: Tính chất của dãy tỉ số bằng nhau
- Giáo án Toán 7 Bài 9: Số thập phân hữu hạn. Số thập phân vô hạn tuần hoàn
Lời giải bài tập lớp 7 sách mới:
- Giải bài tập Lớp 7 Kết nối tri thức
- Giải bài tập Lớp 7 Chân trời sáng tạo
- Giải bài tập Lớp 7 Cánh diều
Tủ sách VIETJACK shopee lớp 6-8 (2025):
Đã có app VietJack trên điện thoại, giải bài tập SGK, SBT Soạn văn, Văn mẫu, Thi online, Bài giảng....miễn phí. Tải ngay ứng dụng trên Android và iOS.
Theo dõi chúng tôi miễn phí trên mạng xã hội facebook và youtube:Loạt bài Giáo án Toán lớp 7 mới, chuẩn nhất của chúng tôi được biên soạn bám sát theo mẫu Kế hoạch bài dạy (KHBD) môn Toán lớp 7 chuẩn của Bộ GD & ĐT.
Nếu thấy hay, hãy động viên và chia sẻ nhé! Các bình luận không phù hợp với nội quy bình luận trang web sẽ bị cấm bình luận vĩnh viễn.
- Giáo án lớp 7 (các môn học)
- Giáo án điện tử lớp 7 (các môn học)
- Giáo án Toán 7
- Giáo án Ngữ văn 7
- Giáo án Tiếng Anh 7
- Giáo án Khoa học tự nhiên 7
- Giáo án Lịch Sử 7
- Giáo án Địa Lí 7
- Giáo án GDCD 7
- Giáo án Tin học 7
- Giáo án Công nghệ 7
- Giáo án HĐTN 7
- Giáo án Hoạt động trải nghiệm 7
- Giáo án Vật Lí 7
- Giáo án Sinh học 7
- Giáo án Hóa học 7
- Giáo án Âm nhạc 7
- Đề thi lớp 7 (các môn học)
- Đề thi Ngữ Văn 7 (có đáp án)
- Chuyên đề Tiếng Việt lớp 7
- Đề thi Toán 7 (có đáp án)
- Đề cương ôn tập Toán 7
- Đề thi Tiếng Anh 7 (có đáp án)
- Đề thi Khoa học tự nhiên 7 (có đáp án)
- Đề thi Lịch Sử & Địa Lí 7 (có đáp án)
- Đề thi Địa Lí 7 (có đáp án)
- Đề thi Lịch Sử 7 (có đáp án)
- Đề thi GDCD 7 (có đáp án)
- Đề thi Công nghệ 7 (có đáp án)
- Đề thi Tin học 7 (có đáp án)


Giải bài tập SGK & SBT
Tài liệu giáo viên
Sách
Khóa học
Thi online
Hỏi đáp

