Giáo án Toán 7 Ôn tập chương 4 mới nhất
Giáo án Toán 7 Ôn tập chương 4 mới nhất
Xem thử Giáo án Toán 7 KNTT Xem thử Giáo án Toán 7 CTST Xem thử Giáo án Toán 7 CD
Chỉ từ 300k mua trọn bộ Kế hoạch bài dạy (KHBD) hay Giáo án Toán 7 cả năm (mỗi bộ sách) bản word chuẩn kiến thức, trình bày đẹp mắt:
- B1: gửi phí vào tk:
1133836868- CT TNHH DAU TU VA DV GD VIETJACK - Ngân hàng MB (QR) - B2: Nhắn tin tới Zalo VietJack Official - nhấn vào đây để thông báo và nhận giáo án
I. MỤC TIÊU:
1. Kiến thức: Ôn tập, hệ thống hoá các kiến thức về biểu thức đại số, đơn thức, đa thức.
2. Kĩ năng: Rèn kỹ năng viết đơn thức, đa thức có bậc xác định, có biến và hệ số theo yêu cầu của bài. Tính giá trị của biểu thức, thu gọn đơn thức, nhân đơn thức.
3. Thái độ: Cẩn thận, nhanh, chính xác và khoa học.
4. Xác định nội dung trọng tâm của bài: Nắm được các kiến thức về biểu thức đại số, đơn thức, đa thức.
5. Định hướng phát triển năng lực:
- Năng lực chung: Tự học, giải quyết vấn đề, hợp tác, thẩm mỹ, tư duy, vận dụng.
- Năng lực chuyên biệt: Năng lực sử dụng ngôn ngữ toán học.
II. CHUẨN BỊ CỦA THẦY VÀ TRÒ:
1. Giáo viên: Bảng phụ, Sgk, thước thẳng.
2. Học sinh: Sgk, thước, MTBT.
3. Bảng tham chiếu các mức yêu cầu cần đạt của câu hỏi, bài tập, kiểm tra, đánh giá.
Nội dung |
Nhận biết (MĐ1) |
Thông hiểu (MĐ2) |
Vận dụng (MĐ3) |
Vận dụng cao (MĐ4) |
|---|---|---|---|---|
1. Đơn thức. Đa thức |
Biết nhận ra đơn thức, đa thức |
Biết bậc của đơn thức, đa thức |
||
2. Đơn thức đồng dạng |
Cộng hai đơn thức đồng dạng |
Chứng tỏ đẳng thức |
III. TIẾN HÀNH TIẾT DẠY:
* Kiểm tra bài cũ: (5')
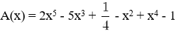
GV: Cho đa thức
Sắp xếp các hạng tử của A(x) theo lũy thừa giảm dần của biến. Tìm bậc của A(x)?
* Đáp án:
Đa thức A(x) có bậc 5 ...................3đ
A. KHỞI ĐỘNG
* Hoạt động 1. Tình huống xuất phát (mở đầu) (1’)
(1) Mục tiêu: Kích thích HS suy đoán, hướng vào bài mới
(2) Phương pháp/Kĩ thuật dạy học: Phương pháp vấn đáp.
(3) Hình thức tổ chức hoạt động: Toàn lớp
(4) Phương tiện dạy học: Bảng phấn, SGK.
(5) Sản phẩm: Không
Hoạt động của Giáo viên |
Hoạt động của Học sinh |
|---|---|
GV: Yêu cầu học sinh nhắc lại các kiến thức cơ bản của chương sau đó hướng dẫn học sinh ôn tập |
HS lắng nghe |
B. HÌNH THÀNH KIẾN THỨC MỚI
Hoạt động của GV |
Hoạt động của HS |
Nội dung |
NL hình thành |
|---|---|---|---|
Hoạt động 2: Ôn tập. (27’) (1) Mục tiêu: Ôn tập, hệ thống hoá các kiến thức về biểu thức đại số, đơn thức, đa thức. Rèn kỹ năng viết đơn thức, đa thức có bậc xác định, có biến và hệ số theo yêu cầu của bài. Tính giá trị của biểu thức, thu gọn đơn thức, nhân đơn thức. (2) Phương pháp/Kĩ thuật dạy học: Phương pháp vấn đáp, thực hành. (3) Hình thức tổ chức hoạt động: Toàn lớp, hoạt động cá nhân, hoạt động nhóm. (4) Phương tiện dạy học: Bảng phấn, SGK. (5) Sản phẩm: Bài làm của học sinh |
|||
- Yêu cầu HS trả lời câu hỏi 1, 2 Sgk/49 - Tổ chức HS nhận xét Bài 58 Sgk: (bảng phụ) H: Các biểu thức trên là đa thức hay đơn thức? GV: Gọi HS nhắc lại khái niệm đơn thức, đa thức. H: Nêu cách tính giá trị của biểu thức? GV: Gọi 2 HS lên bảng thực hiện GV: Nhận xét và chốt lại cách tính giá trị của biểu thức đại số. H: Nêu quy tắc nhân hai đơn thức? GV: Gọi 2 HS lên bảng giải GV: Nhận xét và chốt lại: Quy tắc nhân hai đơn thức, bậc của đơn thức |
- Trả lời theo yêu cầu HS: Nhận xét bổ sung HS: Các biểu thức trên là đa thức HS: Nhắc lại k/n đa thức và đơn thức HS: Thay các giá trị cho trước của biến vào biểu thức rồi thực hiện phép tính HS: 2 HS lên bảng thực hiện HS: Nhận xét và chú ý nội dung mà GV chốt lại. HS: Nhân phần hệ số với nhau và phần biến với nhau. HS: Xung phong lên bảng giải HS: Chú ý nội dung mà GV chốt lại |
I. Lý thuyết Câu 1: Năm đơn thức với biến x, y có bậc khác nhau. 2xy, 4x2y, -3x3y5… Câu 2: Hai đơn thức đồng dạng là... Ví dụ: 2xy, 7xy, -4xy… II. Bài tập *Dạng 1: Tính giá trị của biểu thức Bài 58 Sgk/49: a) Thay x = 1; y = -1; z = -2 vào biểu thức ta được: 2.1.(-1).[5.1.(-1) + 3.1 – (-2)] = -2.[(-5) + 3 + 2] = -2. 0 = 0 Vậy giá trị của biểu thức 2xy(5x2y + 3x – z) bằng 0 tại x = 1; y = -1; z = -2 b) Thay x = 1; y = -1; z = -2 vào biểu thức ta được: 1.(-1)2 + (-1)2.(-2)3 + (-2)3.14 = 1.1 + 1.(-8) + (-8).1= -15 Vậy giá trị của biểu thức xy2 + y2z3 + z3y4 bằng -15 tại x = 1; y = -1; z = -2 *Dạng 2: Tính tích các đơn thức, thu gọn đơn thức Bài 61 Sgk/50: b) -2x2yz . (-3xy3z) = 6x3y4z2 Hệ số: 6; Bậc: 9 |
Năng lực giải quyết vấn đề, tính toán, hợp tác, giao tiếp, tự học. |
C. LUYỆN TẬP, CỦNG CỐ: (10’)
(1) Mục tiêu: Củng cố lại các kiến thức đã ôn tập
(2) Phương pháp/Kĩ thuật dạy học: Phương pháp vấn đáp, thực hành.
(3) Hình thức tổ chức hoạt động: Toàn lớp, hoạt động cá nhân, hoạt động nhóm.
(4) Phương tiện dạy học: Bảng phấn, SGK.
(5) Sản phẩm: Bài làm của học sinh
Nội dung |
Hoạt động của GV |
Hoạt động của HS |
NL hình thành |
|---|---|---|---|
GV: Nhắc lại kiến thức đã ôn, một số chú ý khi làm bài tập. Câu 1: Các câu sau đúng hay sai ? a) 5x là một đơn thức b) 2x3y là đơn thức bậc 3 c) d) x2 + x3 là đa thức bậc 5 e) 3x2 – xy là đa thức bậc hai f) 3x4 – x3 – 2 – 3x4 là đa thức bậc 4 Câu 2: Hai đơn thức sau là đồng dạng đúng hay sai?Vì sao? Nếu có hãy cộng hai đơn thức đó. a) 2x3 và 3x2 b) (xy)2 và x2 y2 c) x2y và d) -x2y3 và xy2.2xy Câu 3: Biết A = x2yz ; B = xy2z ; C = xyz2 và x + y + z = 1. Chứng tỏ rằng A + B + C = xyz |
HS: Thảo luận nhóm làm bài theo yêu cầu. HS: Trả lời từng câu hỏi. HS: Đại diện nhóm lên bảng trình bày. |
Năng lực hoạt động nhóm, giải quyết vấn đề, sử dụng ngôn ngữ toán học, hợp tác, giao tiếp, tự học. |
|
D. HƯỚNG DẪN VỀ NHÀ: (2’)
- Chuẩn bị bài tiết sau ôn tập tiếp.
- Tiếp tục ôn tập phần cộng, trừ đơn thức đồng dạng, cộng trừ đa thức, nghiệm của đa thức.
- Làm bài tập: 62; 63; 64; 65/50-51 sgk. Bài tập51; 52; 53; 54/23 sbt.
* NỘI DUNG CÁC CÂU HỎI, BÀI TẬP:
Câu 1: (MĐ 1, 2)
Câu 2: (MĐ 3)
Câu 3: (MĐ 4)
Xem thử Giáo án Toán 7 KNTT Xem thử Giáo án Toán 7 CTST Xem thử Giáo án Toán 7 CD
Xem thêm các bài soạn Giáo án Toán lớp 7 theo hướng phát triển năng lực mới nhất, hay khác:
- Giáo án Toán 7 Bài 8: Cộng, trừ đa thức một biến
- Giáo án Toán 7 Luyện tập trang 46
- Giáo án Toán 7 Bài 9: Nghiệm của đa thức một biến
- Giáo án Toán 7 Ôn tập chương 4
- Giáo án Toán 7 Ôn tập chương 4 (tiếp theo)
Lời giải bài tập lớp 7 sách mới:
- Giải bài tập Lớp 7 Kết nối tri thức
- Giải bài tập Lớp 7 Chân trời sáng tạo
- Giải bài tập Lớp 7 Cánh diều
Tủ sách VIETJACK shopee lớp 6-8 (2025):
Đã có app VietJack trên điện thoại, giải bài tập SGK, SBT Soạn văn, Văn mẫu, Thi online, Bài giảng....miễn phí. Tải ngay ứng dụng trên Android và iOS.
Theo dõi chúng tôi miễn phí trên mạng xã hội facebook và youtube:Loạt bài Giáo án Toán lớp 7 mới, chuẩn nhất của chúng tôi được biên soạn bám sát theo mẫu Kế hoạch bài dạy (KHBD) môn Toán lớp 7 chuẩn của Bộ GD & ĐT.
Nếu thấy hay, hãy động viên và chia sẻ nhé! Các bình luận không phù hợp với nội quy bình luận trang web sẽ bị cấm bình luận vĩnh viễn.
- Giáo án lớp 7 (các môn học)
- Giáo án điện tử lớp 7 (các môn học)
- Giáo án Toán 7
- Giáo án Ngữ văn 7
- Giáo án Tiếng Anh 7
- Giáo án Khoa học tự nhiên 7
- Giáo án Lịch Sử 7
- Giáo án Địa Lí 7
- Giáo án GDCD 7
- Giáo án Tin học 7
- Giáo án Công nghệ 7
- Giáo án HĐTN 7
- Giáo án Hoạt động trải nghiệm 7
- Giáo án Vật Lí 7
- Giáo án Sinh học 7
- Giáo án Hóa học 7
- Giáo án Âm nhạc 7
- Đề thi lớp 7 (các môn học)
- Đề thi Ngữ Văn 7 (có đáp án)
- Chuyên đề Tiếng Việt lớp 7
- Đề thi Toán 7 (có đáp án)
- Đề cương ôn tập Toán 7
- Đề thi Tiếng Anh 7 (có đáp án)
- Đề thi Khoa học tự nhiên 7 (có đáp án)
- Đề thi Lịch Sử & Địa Lí 7 (có đáp án)
- Đề thi Địa Lí 7 (có đáp án)
- Đề thi Lịch Sử 7 (có đáp án)
- Đề thi GDCD 7 (có đáp án)
- Đề thi Công nghệ 7 (có đáp án)
- Đề thi Tin học 7 (có đáp án)


Giải bài tập SGK & SBT
Tài liệu giáo viên
Sách
Khóa học
Thi online
Hỏi đáp

