Giáo án Toán 8 Chương 1: Phép nhân và phép chia các đa thức (mới, chuẩn nhất)
Với mục đích giúp các Thầy / Cô giảng dạy môn Toán dễ dàng biên soạn Giáo án Toán lớp 8, VietJack biên soạn Bộ Giáo án Toán 8 Chương 1: Phép nhân và phép chia các đa thức phương pháp mới theo hướng phát triển năng lực bám sát mẫu Giáo án môn Toán chuẩn của Bộ Giáo dục. Hi vọng tài liệu Giáo án Toán 8 này sẽ được Thầy/Cô đón nhận và đóng góp những ý kiến quí báu.
Mục lục Giáo án Toán 8 Chương 1: Phép nhân và phép chia các đa thức
Xem thử Giáo án Toán 8 KNTT Xem thử PPT Toán 8 KNTT Xem thử Giáo án Toán 8 CTST Xem thử Giáo án Toán 8 CD
Chỉ từ 500k mua trọn bộ Kế hoạch bài dạy (KHBD) hay Giáo án Toán 8 (mỗi bộ sách) bản word chuẩn kiến thức, trình bày đẹp mắt, dễ dàng chỉnh sửa:
- B1: gửi phí vào tk:
1133836868- CT TNHH DAU TU VA DV GD VIETJACK - Ngân hàng MB (QR) - B2: Nhắn tin tới Zalo VietJack Official - nhấn vào đây để thông báo và nhận giáo án
- Giáo án Toán 8 Bài 1: Nhân đơn thức với đa thức
- Giáo án Toán 8 Bài 2: Nhân đa thức với đa thức
- Giáo án Toán 8 Luyện tập (trang 8-9)
- Giáo án Toán 8 Bài 3: Những hằng đẳng thức đáng nhớ
- Giáo án Toán 8 Luyện tập (trang 12)
- Giáo án Toán 8 Bài 4: Những hằng đẳng thức đáng nhớ (tiếp)
- Giáo án Toán 8 Bài 5: Những hằng đẳng thức đáng nhớ (tiếp)
- Giáo án Toán 8 Luyện tập (trang 16-17)
- Giáo án Toán 8 Bài 6: Phân tích đa thức thành nhân tử bằng phương pháp đặt nhân tử chung
- Giáo án Toán 8 Bài 7: Phân tích đa thức thành nhân tử bằng phương pháp dùng hằng đẳng thức
- Giáo án Toán 8 Bài 8: Phân tích đa thức thành nhân tử bằng phương pháp nhóm hạng tử
- Giáo án Toán 8 Bài 9: Phân tích đa thức thành nhân tử bằng cách phối hợp nhiều phương pháp
- Giáo án Toán 8 Luyện tập (trang 25)
- Giáo án Toán 8 Bài 10: Chia đơn thức cho đơn thức
- Giáo án Toán 8 Bài 11: Chia đa thức cho đơn thức
- Giáo án Toán 8 Bài 12: Chia đa thức một biến đã sắp xếp
- Giáo án Toán 8 Ôn tập chương 1 Đại số
Giáo án Toán 8 Bài 1: Nhân đơn thức với đa thức
A. Mục tiêu:
1. Kiến thức:- HS nêu lên được các qui tắc về nhân đơn thức với đa thức theo công thức:
A(B ± C) = AB ± AC. Trong đó A, B, C là đơn thức.
2. Kĩ năng: - HS thực hiện đúng các phép tính nhân đơn thức với đa thức có không quá 3 hạng tử & không quá 2 biến.
3. Thái độ - Rèn luyện khả năng suy luận, linh ho¹t vµ s¸ng t¹o.- Rèn luyện tính cẩn thận , chính xác khi giải toán
4. Phát triển năng lực: - Năng lực tính toán
II. CHUẨN BỊ
- GV: Bảng phụ ghi các bài tập ?, máy tính bỏ túi; . . .
- HS: Ôn tập kiến thức về đơn thức, quy tắc nhân hai đơn thức, máy tính bỏ túi; . . .
- Phương pháp cơ bản: Nêu và giải quyết vấn đề, hỏi đáp.
III. CÁC BƯỚC LÊN LỚP:
B1. Ổn định lớp: KTSS (1 phút)
B2. Kiểm tra bài cũ: không.
B3. Bài mới:
Hoạt động của giáo viên |
Hoạt động của học sinh |
Ghi bảng |
|---|---|---|
1. KHỞI ĐỘNG GV: Y/c HS thực hiện hoạt động khởi động Phương thức hoạt động: Cá nhân Nhiệm vụ của HS: + Nhớ lại công thức tính diện tích hình chữ nhật. + Thực hiện ba hoạt động theo shd/5 GV: Quan sát hs hoạt động, kiểm tra đánh giá hoạt động của HS. GV hỗ trợ ? Dựa vào kết quả câu c có nhận xét gì diện tích của hcn ABCD so với diện tích của hcn AMND và BCNM. ? Vậy để tính diện tích của hcn ABCD em làm như thế nào? GV: Nếu thay k là một đơn thức và (a + b) là một đa thức thì nhân đơn thức với đa thức có giống như cách tính trên hay không? |
||
2. HÌNH THÀNH KIẾN THỨC |
||
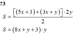
Hoạt động 1: Hình thành quy tắc. (14 phút). - Hãy cho một ví dụ về đơn thức? - Hãy cho một ví dụ về đa thức? - Hãy nhân đơn thức với từng hạng tử của đa thức và cộng các tích tìm được. Ta nói đa thức 6x3 - 6x2 + 15x là tích của đơn thức 3x và đa thức 2x2 - 2x + 5 - Qua bài toán trên, theo các em muốn nhân một đơn thức với một đa thức ta thực hiện như thế nào? - Treo bảng phụ nội dung quy tắc. Hoạt động 2: Vận dụng quy tắc vào giải bài tập. (20 phút). - Treo bảng phụ ví dụ SGK. - Cho học sinh làm ví dụ SGK. - Nhân đa thức với đơn thức ta thực hiện như thế nào? - Hãy vận dụng vào giải bài tập ?2 - Tiếp tục ta làm gì? - Treo bảng phụ ?3 - Hãy nêu công thức tính diện tích hình thang khi biết đáy lớn, đáy nhỏ và chiều cao? - Hãy vận dụng công thức này vào thực hiện bài toán. - Khi thực hiện cần thu gọn biểu thức tìm được (nếu có thể). - Hãy tính diện tích của mảnh vường khi x = 3 mét; y = 2 mét. - Sửa hoàn chỉnh lời giải bài toán. |
Chẳng hạn: - Đơn thức 3x - Đa thức 2x2 - 2x + 5 3x(2x2 - 2x + 5) = 3x.2x2 + 3x.(-2x) + 3x.5 = 6x3 - 6x2 + 15x - Lắng nghe. - Muốn nhân một đơn thức với một đa thức, ta nhân đơn thức với từng hạng tử của đa thức rồi cộng các tích với nhau. - Đọc lại quy tắc và ghi bài. - Đọc yêu cầu ví dụ - Giải ví dụ dựa vào quy tắc vừa học. - Ta thực hiện tương tự như nhân đơn thức với đa thức nhờ vào tính chất giao hoán của phép nhân. - Thực hiện lời giải ?2 theo gợi ý của giáo viên. - Vận dụng quy tắc nhân đơn thức với đa thức. - Đọc yêu cầu bài toán ?3 - Thực hiện theo yêu cầu của giáo viên. - Lắng nghe và vận dụng. - Thay x = 3 mét; y = 2 mét vào biểu thức và tính ra kết quả cuối cùng. - Lắng nghe và ghi bài. |
1. Quy tắc. Muốn nhân một đơn thức với một đa thức, ta nhân đơn thức với từng hạng tử của đa thức rồi cộng các tích với nhau. 2. Áp dụng. Làm tính nhân ?3 Diện tích mảnh vườn khi x = 3 mét; y = 2 mét là: S = (8.3 + 2 + 3).2 = 58 (m2). |
3. LUYỆN TẬP |
||
Bài tập 1/6 - SHD Phương thức hoạt động: Cá nhân Nhiệm vụ của HS: + Áp dụng quy tắc thực hiện phép nhân - trình bầy lời giải bài tập 1. + Đại diện HS nhắc lại cách làm. GV: chốt lại cách nhân đơn thức với đa thức, nhân đa thức với đa thức. Bài tập 2/6 - SHD Phương thức hoạt động: Cặp đôi Nhiệm vụ của HS: + Phân tích đầu bài. + Thảo luận cách làm thống nhất lời giải. + Hoat động cá nhân trình bày lời giải câu a + So sánh kết quả. GV kiểm tra chốt cách thực hiện, GV Lưu ý HS: - Khi thực hiện phép tính kết quả luôn để dưới dạng đa thức đã thu gọn. - Thay giá trị x và y cho trước vào biểu thức đã thu gọn rồi tính giá trị BT. Bài tập 3/6 - SHD Phương thức hoạt động: Nhóm 2 bàn Nhiệm vụ cho HS: + Phân tích đầu bài +Thảo luận cách tìm x + Trình bày lời giải bài toán GV hỗ trợ HS nêu cách giải: ? Muốn tìm x ta làm như thế nào? GV chốt lại PP giải. |
- Thực hiện theo yêu cầu của giáo viên. - Lắng nghe và vận dụng. |
Bài tập 1/6 – SHD: Thực hiện phép nhân: Bài tập 2/6 - SHD Thực hiện phép tính, rút gọn rồi tính giá trị biểu thức: a) x(x + y) + y (x - y) tại x = -8; y = 7 Ta có: x(x + y) + y (x - y) = x2 + xy + xy - y2 = x2 +2xy - y2 Thay x = -8 ; y = 7 vào đa thức x2 +2xy - y2 ta được: (-8)2 + 2.(-8).7 - 72 = 64 – 112 - 49 = -97 Bài tập 3/6 – SHD: Tìm x, biết: a/ 2x(12x - 5) - 8x(3x - 1) = 30 ⇒ 24x2 - 10x - 24x2 + 8x = 30 ⇒ -2x = 30 ⇒ x = -15 |
4. VẬN DỤNG |
||
GV giao học sinh về nhà thực hiện * Học thuộc quy tắc nhân dơn thức với đa thức và vận dụng làm bài tập. * Làm bài tập phần vận dụng GV gợi ý: - Bài 1: Áp dụng công thức tính diện tích hình thang để viết công thức tính diện tích mảnh vườn. - Bài 2: Tự lấy tuổi của mình hoặc người thân & làm theo sách hướng dẫn trang 7 * Đọc trước bài nhân đa thức với đa thức. |
* Học thuộc quy tắc nhân dơn thức với đa thức và vận dụng làm bài tập. * Làm bài tập phần vận dụng |
Bài 1: a) 5xy + 5y + y2 b) diện tích mảnh vườn: 5.4.3 + 5.3 + 32 = 84 m2 |
5. MỞ RỘNG |
||
GV giao học sinh khá giỏi về nhà thực hiện : GV gợi ý: Bài 1: Thực hiện nhân đơn thức với đa thức thu gọn các đơn thức đồng dạng. Bài 2: Thực hiện như gợi ý SHD |
Thực hiện nhân đơn thức với đa thức thu gọn các đơn thức đồng dạng. |
Bài 1: kết quả 20 Bài 2: thay 70 bởi x – 1 vào biểu thức đã cho ta được: x5 – (x - 1).x4 – (x - 1).x3 – (x - 1).x2 – (x - 1).x + 34 = x + 34 Thay x = 71 vào biểu thức x + 34 ta được tính giá trị của biểu thức bằng 105 |
4. Hướng dẫn học ở nhà, dặn dò: (2 phút)
- Quy tắc nhân đơn thức với đa thức.
- Vận dụng vào giải các bài tập 1a, b; 2b; 3 trang 5 SGK.
- Xem trước bài 2: “Nhân đa thức với đa thức” (đọc kĩ ở nhà quy tắc ở trang 7 SGK).
Giáo án Toán 8 Bài 2: Nhân đa thức với đa thức
I. Mục tiêu
1. Kiến thức: - HS nêu lên được các qui tắc về nhân đa thức với đa thức.
- Biết cách nhân 2 đa thức một biến đ sắp xếp cùng chiều
2. Kỹ năng:- HS thực hiện đúng phép nhân đa thức (chỉ thực hiện nhân 2 đa thức một biến đ sắp xếp )
3. Thái độ:- Rèn luyện tư duy sáng tạo, tính cẩn thận.
- Chủ động phát hiện kiên thức, chiếm lĩnh tri thức mới. Có tinh thần hợp tác trong học tập.
4. Phát triển năng lực: - Năng lực tính toán
II. CHUẨN BỊ
- GV: Bảng phụ ghi các bài tập ?, máy tính bỏ túi; . . .
- HS: Ôn tập quy tắc nhân đơn thức với đa thức, máy tính bỏ túi; . . .
- Phương pháp cơ bản: Nêu và giải quyết vấn đề, hỏi đáp, so sánh, thảo luận nhóm.
III. CÁC BƯỚC LÊN LỚP:
1. Ổn định lớp: KTSS (1 phút)
2. Kiểm tra bài cũ: (5 phút).
HS1: Tìm x, biết 3x(12x – 4) – 9x(4x – 3) = 30
3. Bài mới:
Hoạt động của giáo viên |
Hoạt động của học sinh |
Ghi bảng |
|---|---|---|
1. KHỞI ĐỘNG - HS1: Phát biểu qui tắc nhân đơn thức với đa thức? Thực hiện tính. GV – HS nhận xét GV:Yêu cầu HS thực hiện hoạt động khởi động Phương thức hoạt động: Cặp đôi Nhiệm vụ của HS: + Thực hiện hai hoạt động theo shd/8 GV: Quan sát, hs hoạt động, kiểm tra đánh giá hoạt động của HS. ? Qua phần khởi động gợi cho em kiến thức nào? |
||
2. HÌNH THÀNH KIẾN THỨC |
||
Hoạt động 1: Hình thành quy tắc. (16 phút). - Treo bảng phụ ví dụ SGK. - Qua ví dụ trên hãy phát biểu quy tắc nhân đa thức với đa thức. - Gọi một vài học sinh nhắc lại quy tắc. - Em có nhận xét gì về tích của hai đa thức? - Hãy vận dụng quy tắc và hoàn thành ?1 (nội dung trên bảng phụ). - Sửa hoàn chỉnh lời giải bài toán. - Hướng dẫn học sinh thực hiện nhân hai đa thức đã sắp xếp. - Từ bài toán trên giáo viên đưa ra chú ý SGK. Hoạt động 2: Vận dụng quy tắc giải bài tập áp dụng. (15 phút). - Treo bảng phụ bài toán ?2 - Hãy hoàn thành bài tập này bằng cách thực hiện theo nhóm. - Sửa bài các nhóm. - Treo bảng phụ bài toán ?3 - Hãy nêu công thức tính diện tích của hình chữ nhật khi biết hai kích thước của nó. - Khi tìm được công thức tổng quát theo x và y ta cần thu gọn rồi sau đó mới thực hiện theo yêu cầu thứ hai của bài toán. |
- Quan sát ví dụ trên bảng phụ và rút ra kết luận. - Muốn nhân một đa thức với một đa thức, ta nhân mỗi hạng tử của đa thức này với từng hạng tử của đa thức kia rồi cộng các tích với nhau. - Nhắc lại quy tắc trên bảng phụ. - Tích của hai đa thức là một đa thức. - Đọc yêu cầu bài tập ?1 Ta nhân - Lắng nghe, sửa sai, ghi bài. - Thực hiện theo yêu cầu của giáo viên. - Đọc lại chú ý và ghi vào tập. - Đọc yêu cầu bài tập ?2 - Các nhóm thực hiện trên giấy nháp và trình bày lời giải. - Sửa sai và ghi vào tập. - Đọc yêu cầu bài tập ?3 - Diện tích hình chữ nhật bằng chiều dài nhân với chiều rộng. (2x + y)(2x - y) thu gọn bằng cách thực hiện phép nhân hai đa thức và thu gọn đơn thức đồng dạng ta được 4x2-y2 |
1. Quy tắc. Ví dụ: (SGK). Quy tắc: Muốn nhân một đa thức với một đa thức, ta nhân mỗi hạng tử của đa thức này với từng hạng tử của đa thức kia rồi cộng các tích với nhau. Nhận xét: Tích của hai đa thức là một đa thức. Chú ý: Ngoài cách tính trong ví dụ trên khi nhân hai đa thức một biến ta còn tính theo cách sau: 2. Áp dụng. ?2 a) (x + 3)(x2 + 3x - 5) = x.x2 + x.3x + x.(-5) + 3.x2 + 3.3x + 3.(-5) = x3 + 6x2 + 4x - 15 b) (xy - 1)(xy + 5) = xy(xy + 5) - 1(xy + 5) = x2y2 + 4xy - 5 ?3 - Diện tích của hình chữ nhật theo x và y là: (2x + y)(2x - y) = 4x2 - y2 - Với x = 2,5 mét và y = 1 mét, ta có: 4.(2,5)2 – 12 = 4.6,25 - 1 = 25 – 1 = 24 (m2). |
3. LUYỆN TẬP |
||
Tiết 2 Bài tập 2/10 – SHD Phương thức hoạt động: Cá nhân GV: cho 2 HS lên bảng chữa bài tập & HS khác nhận xét kết quả GV: chốt cách làm bài tập. Lưu ý: Ta có thể nhân nhẩm & cho kết quả trực tiếp vào tổng khi nhân mỗi hạng tử của đa thức thứ nhất với từng số hạng của đa thức thứ 2 (không cần các phép tính trung gian) + Ta có thể đổi chỗ (giao hoán) 2 đa thức trong tích & thực hiện phép nhân. Bài tập 3/10 – SHD Phương thức hoạt động: Nhóm GV Quan sát, hs hoạt động, kiểm tra đánh giá hoạt động của HS. ? Để điền được kết quả giá trị của biểu thức em làm như thế nào? GV chốt cách làm bài tập Bài tập 4/10 – SHD Phương thức hoạt động: Cá nhân GV hỗ trợ ? Để chứng minh giá trị của biểu thức không phụ thuộc vào giá trị của biến, ta làm như thế nào? GV: Chốt cách giải dạng bài tập chứng minh giá trị của biểu thức không phụ thuộc vào giá trị của biến Bài tập 5/10 – SHD Phương thức hoạt động: Cặp đôi - GV hỗ trợ cách tìm x ? Nêu cách tìm x? GV chốt cách làm |
Nhiệm vụ của HS: + Tìm hiểu yêu cầu của bài + Trình bày lời giải. Nhiệm vụ của HS: + Tìm hiểu yêu cầu của bài + Trình bày cách tính giá trị của biểu thức + Tính giá trị của biểu thức, điền kết quả + Tìm cách tính nhanh Nhiệm vụ của HS: + Tìm hiểu yêu cầu của bài + Trình bày cách tính chứng giá trị của biểu thức không phụ thuộc vào giá trị của biến.. + Trình bày lời giải. Nhiệm vụ của HS: + Đọc đề bài + Nêu cách làm + Trình bày lời giải. |
Bài tập 2/10 - SHD Bài tập 3/10 – SHD Bài tập 4/10 – SHD Chứng minh rằng giá trị của biểu thức sau không phụ thuộc vào giá trị của biến x. (x - 5)(3x + 3) - 3x(x - 3) + 3x + 7 = 3x2 + 3x - 15x - 15 - 3x2 + 9x + 3x + 7 = - 8 Vậy: Biểu thức không phụ thuộc vào biến x Bài tập 5/10 – SHD: Tìm x: (x + 2)(x +1) - (x – 3)(x + 5) = 0 ⇒ x2 + x + 2x + 2 - x2 – 5x + 3x + 15 = 0 ⇒ x + 17 = 0 ⇒ x = -17 |
4. VẬN DỤNG |
||
GV giao học sinh về nhà thực hiện * Học thuộc quy tắc nhân đa thức với đa thức và vận dụng làm bài tập. * Làm thêm bài tập phần vận dụng và phần tìm tòi mở rộng. GV gợi ý: Bài 2: - Viết dạng tổng quát của 3 số tự nhiên chẵn liên tiếp. - Biểu thị mối liên hệ giữa tích 2 số đầu và tích 2 số sau. - Vận dụng cách làm bài 5/10 để tìm các số đó. Bài 3: Biến đổi đa thức đó về dạng tích trong đó có một thừa số chia hết cho 6 * Đọc trước bài những hàng đẳng thức đáng nhớ. |
* Học thuộc quy tắc nhân dơn thức với đa thức và vận dụng làm bài tập. * Làm bài tập phần vận dụng |
Bài 2: Gọi ba số chẵn liên tiếp là x; x + 2; x + 4 theo bài ra ta có: (x + 2)(x + 4) – x(x + 2) = 192 giải ra ta được số thứ nhất là 46 số thứ hai là 48 số thứ ba là 50 Bài 3: n(n + 5) – (n – 3)(n + 2) = 6n + 6 chia hết cho 6 |
5. MỞ RỘNG |
||
- Hãy nhắc lại quy tắc nhân đa thức với đa thức. - Hãy trình bày lại trình tự giải các bài tập vận dụng. |
Làm bài tập phần mở rộng |
|
4. Hướng dẫn học ở nhà, dặn dò: (3 phút)
- Học thuộc quy tắc nhân đa thức với đa thức.
- Vận dụng vào giải các bài tập 7b, 8, 9 trang 8 SGK; bài tập 10, 11, 12, 13 trang 8, 9 SGK.
- Ôn tập quy tắc nhân đơn thức với đa thức.
- Tiết sau luyện tập (mang theo máy tính bỏ túi).
Xem thử Giáo án Toán 8 KNTT Xem thử PPT Toán 8 KNTT Xem thử Giáo án Toán 8 CTST Xem thử Giáo án Toán 8 CD
Xem thêm các bài soạn Giáo án Toán lớp 8 theo hướng phát triển năng lực mới nhất, hay khác:
Giáo án Toán 8 Chương 2: Phân thức đại số
Giáo án Toán 8 Chương 1: Tứ giác
Giáo án Toán 8 Chương 2: Đa giác. Diện tích đa giác
Giáo án Toán 8 Chương 3: Phương trình bậc nhất một ẩn
Giáo án Toán 8 Chương 4: Bất phương trình bậc nhất một ẩn
Giáo án Toán 8 Chương 3: Tam giác đồng dạng
Giáo án Toán 8 Chương 4: Hình lăng trụ đứng. Hình chóp đều
Tủ sách VIETJACK shopee lớp 6-8 (2025):
Đã có app VietJack trên điện thoại, giải bài tập SGK, SBT Soạn văn, Văn mẫu, Thi online, Bài giảng....miễn phí. Tải ngay ứng dụng trên Android và iOS.
Theo dõi chúng tôi miễn phí trên mạng xã hội facebook và youtube:Loạt bài Giáo án Toán lớp 8 mới, chuẩn nhất của chúng tôi được biên soạn bám sát chuẩn Giáo án môn Toán 8 của Bộ GD & ĐT.
Nếu thấy hay, hãy động viên và chia sẻ nhé! Các bình luận không phù hợp với nội quy bình luận trang web sẽ bị cấm bình luận vĩnh viễn.
- Giáo án lớp 8 (các môn học)
- Giáo án điện tử lớp 8 (các môn học)
- Giáo án Toán 8
- Giáo án Ngữ văn 8
- Giáo án Tiếng Anh 8
- Giáo án Khoa học tự nhiên 8
- Giáo án KHTN 8
- Giáo án Lịch Sử 8
- Giáo án Địa Lí 8
- Giáo án GDCD 8
- Giáo án HĐTN 8
- Giáo án Tin học 8
- Giáo án Công nghệ 8
- Giáo án Vật Lí 8
- Giáo án Hóa học 8
- Giáo án Sinh học 8
- Đề thi lớp 8 (các môn học)
- Đề thi Ngữ Văn 8 (có đáp án)
- Chuyên đề Tiếng Việt lớp 8
- Đề thi Toán 8
- Đề cương ôn tập Toán 8
- Đề thi Tiếng Anh 8 (có đáp án)
- Đề thi Tiếng Anh 8 mới (có đáp án)
- Đề thi Khoa học tự nhiên 8 (có đáp án)
- Đề thi Lịch Sử và Địa Lí 8 (có đáp án)
- Đề thi GDCD 8 (có đáp án)
- Đề thi Tin học 8 (có đáp án)
- Đề thi Công nghệ 8 (có đáp án)


Giải bài tập SGK & SBT
Tài liệu giáo viên
Sách
Khóa học
Thi online
Hỏi đáp

