Giáo án Toán 9 Bài 3: Phương trình bậc hai một ẩn mới nhất
Giáo án Toán 9 Bài 3: Phương trình bậc hai một ẩn mới nhất
Chỉ từ 300k mua trọn bộ Kế hoạch bài dạy (KHBD) hay Giáo án Toán 9 (cả năm) bản word có lời giải chi tiết:
- B1: gửi phí vào tk:
1133836868- CT TNHH DAU TU VA DV GD VIETJACK - Ngân hàng MB (QR) - B2: Nhắn tin tới Zalo VietJack Official - nhấn vào đây để thông báo và nhận giáo án
I. Mục tiêu:
Qua bài này HS cần:
1. Kiến thức:
- Phát biểu được định nghĩa phương trình bậc hai một ẩn, đặc biệt luôn nhớ a ≠ 0
- Nhắc lại được phương pháp giải riêng các phương trình bậc hai đặc biệt.
- Vận dụng được kiến thức giải một số ví dụ.
2. Kĩ năng:
- Biến đổi được phương trình dạng tổng quát ax2 + bx + c = 0 về dạng:
trong các trường hợp a, b, c là những số cụ thể để giải phương trình.
- Thực hiện được một số ví dụ cụ thể.
3. Thái độ:
- Chú ý quan sát, hăng hái phát biểu ý kiến xây dựng bài, mong muốn vận dụng.
4. Định hướng năng lực, phẩm chất
- Năng lực tính toán, giải quyết vấn đề, hợp tác, giao tiếp, tự học.
Phẩm chất: Tự tin, tự chủ.
II. Chuẩn bị:
- Gv : Phấn mầu, bảng phụ, thước thẳng
- Hs: Đồ dùng học tập, đọc trước bài.
III. Tiến trình dạy học:
1. Ổn định :(1 phút)
2.Kiểm tra bài cũ : (Kết hợp trong bài).
3.Bài mới :
Hoạt động 1: Khởi động
Phương trình bậc nhất 1 ẩn là phương trình có dạng:
Vậy phương trình bậc hai một ẩn có dạng như thế nào?
Hoạt động 2: Hình thành kiến thức
*Mục tiêu: Hs hiểu rõ định nghĩa phương trình bậc hai một ẩn, hiểu chính xác các hệ số của phương trình trong các trường hợp cụ thể
*Giao nhiệm vụ: làm ?1;?2;?3;?4;?5;?6
*Hình thức hoạt động: Hoạt động cá nhân và hoạt động nhóm
| Giáo viên | Học sinh | Nội dung ghi bài |
|---|---|---|
| Gv treo bảng phụ ghi sẵn bài toán mở đầu và hình vẽ sgk ? Bài toán cho biết gì? Yêu cầu gì? ? Đây là bài toán giải bằng cách lập phương trình. Em hãy chọn ẩn. ? Diện tích phần đất còn lại có kích thước là bao nhiêu ? Diện tích được tính như thế nào Gv giới thiệu: Đây là phương trình bậc hai. 1 ẩn số |
HS đọc đề nêu yêu cầu của đề Hs trả lời miệng các câu hỏi của giáo viên |
1, Bài toán mở đầu: Gọi bề rộng mặt đường là x (m) ( 0 < 2x < 24) Phần đất còn lại là hình chữ nhật có chiều dài là 32-2x (m) Chiều rộng là 24 - 2x(m) Do đó diện tích là: (32 - 2x).(24 - 2x) Ta có phương trình: (32 - 2x).(24 - 2x) = 560 Hay x2 - 28x + 52 = 0 |
Gv giới thiệu định nghĩa Gv đưa ra một số ví dụ yêu cầu hs xác định hệ số a; b; c Gv treo bảng phụ ghi bài ?1 và y/c hs xác định pt bậc hai 1 ẩn và giải thích vì sao đó là phương trình bậc hai một ẩn. ? Xác định hệ số a; b; c Gv đưa thêm 1 số dạng khác và khắc sâu dạng của pt: bậc 2 có 1 ẩn. |
(Hs hoạt động cá nhân) Hs nhắc lại định nghĩa Hs trả lời miệng |
1. Định nghĩa: Phương trình bậc hai một ẩn là phương trình có dạng ax2 + bx + c = 0(a; b; c là các hệ số; a ≠ 0) Ví dụ: x2 + 20x - 14 = 0 là phương trình bậc hai một ẩn có a = 1; b = 20; c = -14 |
Gv giới thiệu các dạng phương trình bậc hai một ẩn thường gặp ? Có thể đưa pt này về dạng pt tích được không Gv đưa bài tập lên bảng phụ a, 2x2 + 5x = 0 b, -3x2 + 24x = 0 c, -5x2 - 10x = 0 d, 7x2 - 2x = 0 ? Có thể đưa pt về pt tích được không ? Hãy chuyển -3 sang VP ? Hãy tìm x Áp dụng giải các phương trình sau a, 3x2 - 3 = 0 b, -5x2 + 125 = 0 c, 2x2 + 8 = 0 d, -5x2 - 45 = 0 Y/c hs hoạt động nhóm làm ?4; ?5; ?6; ?7 Gv hướng dẫn hs biến đổi các pt về dạng ?4 |
(HS hoạt động nhóm) Hs nêu cách giải Mỗi nhóm giải một câu ở bảng phụ nhóm sau đó các nhóm báo cáo kết quả và tự nhận xét kết quả của nhóm 4 hs lên bảng giải nhanh |
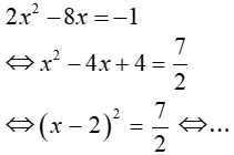
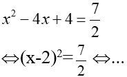
2. Ví dụ: 1, Dang1: c = 0 Ví dụ 1: Giải phương trình 3x2 - 6x = 0 <=> 3x(x - 2) = 0 <=> 3x=0 hoặc x - 2 = 0 <=> x1 = 0 hoặc x2 = 0 Vậy phương trình có hai nghiệm là x1=0 và x2=2 2,Dạng 2: b = 0 Ví dụ 2: Giải phương trình x2 - 3 = 0 <=> x2 = 3 <=> x2 = 3 <=> x2 = √3 hoặc x = -√3 Vậy phương trình có hai nghiệm là: x1 = √3 , x2 = -√3 Dạng 3: a ≠ 0; b ≠ 0 ?4:
Vậy pt có 2 nghiệm:
?5:
?6:
?7:
|
Hoạt động 3, 4: Hoạt động luyện tập, vận dụng: *Mục tiêu: hs biết chỉ rõ hệ số a,b,c và biết giải các phương trình bậc hai dạng đơn giản *Giao nhiệm vụ: Làm bài 11;12 (SGK) *Hình thức hoạt động: Hoạt động cá nhân (bài 11); Hoạt động nhóm (bài 12) Làm bài tập 11(sgk): Đưa các phương trình sau về dạng và chỉ rõ hệ số a,b,c:
Làm bài tập 12 (Sgk): Giải các pt sau:
d,e; 13; 14-sgk |
||
Hoạt động 5: Tìm tòi, mở rộng Mục tiêu: - HS chủ động làm các bài tập về nhà để củng cố kiến thức đã học. - HS chuẩn bị bài mới giúp tiếp thu kiến thức sẽ học trong buổi sau. Kĩ thuật sử dụng: Kĩ thuật trình bày một phút, viết tích cực Hoàn thành các BT còn lại SGK và các bài tập tương tự trong SBT |
||
Xem thêm các bài soạn Giáo án Toán lớp 9 theo hướng phát triển năng lực mới nhất, hay khác:
- Giáo án Toán 9 Bài 4: Công thức nghiệm của phương trình bậc hai
- Giáo án Toán 9 Bài 5: Công thức nghiệm thu gọn
- Giáo án Toán 9 Luyện tập trang 49-50
- Giáo án Toán 9 Bài 6: Hệ thức Vi-ét và ứng dụng
- Giáo án Toán 9 Luyện tập trang 54
Tủ sách VIETJACK luyện thi vào 10 cho 2k11 (2026):
Đã có app VietJack trên điện thoại, giải bài tập SGK, SBT Soạn văn, Văn mẫu, Thi online, Bài giảng....miễn phí. Tải ngay ứng dụng trên Android và iOS.
Loạt bài Giáo án Toán lớp 9 mới, chuẩn nhất, theo hướng phát triển năng lực của chúng tôi được biên soạn bám sát mẫu Giáo án chuẩn môn Toán 9 của Bộ GD & ĐT.
Nếu thấy hay, hãy động viên và chia sẻ nhé! Các bình luận không phù hợp với nội quy bình luận trang web sẽ bị cấm bình luận vĩnh viễn.
- Giáo án lớp 9 (các môn học)
- Giáo án điện tử lớp 9 (các môn học)
- Giáo án Toán 9
- Giáo án Ngữ văn 9
- Giáo án Tiếng Anh 9
- Giáo án Khoa học tự nhiên 9
- Giáo án Vật Lí 9
- Giáo án Hóa học 9
- Giáo án Sinh học 9
- Giáo án Địa Lí 9
- Giáo án Lịch Sử 9
- Giáo án GDCD 9
- Giáo án Tin học 9
- Giáo án Công nghệ 9
- Đề thi lớp 9 (các môn học)
- Đề thi Ngữ Văn 9 (có đáp án)
- Đề thi Toán 9 (có đáp án)
- Đề thi Tiếng Anh 9 mới (có đáp án)
- Đề thi Tiếng Anh 9 (có đáp án)
- Đề thi Khoa học tự nhiên 9 (có đáp án)
- Đề thi Lịch Sử và Địa Lí 9 (có đáp án)
- Đề thi GDCD 9 (có đáp án)
- Đề thi Tin học 9 (có đáp án)
- Đề thi Công nghệ 9 (có đáp án)


Giải bài tập SGK & SBT
Tài liệu giáo viên
Sách
Khóa học
Thi online
Hỏi đáp

