Giáo án Toán 9 Bài 7: Biến đổi đơn giản biểu thức chứa căn thức bậc hai (tiếp theo) mới nhất
Giáo án Toán 9 Bài 7: Biến đổi đơn giản biểu thức chứa căn thức bậc hai (tiếp theo) mới nhất
Chỉ từ 300k mua trọn bộ Kế hoạch bài dạy (KHBD) hay Giáo án Toán 9 (cả năm) bản word có lời giải chi tiết:
- B1: gửi phí vào tk:
1133836868- CT TNHH DAU TU VA DV GD VIETJACK - Ngân hàng MB (QR) - B2: Nhắn tin tới Zalo VietJack Official - nhấn vào đây để thông báo và nhận giáo án
I. Mục tiêu:
Qua bài này giúp HS:
1. Kiến thức
- Khử được mẫu của biểu thức lấy căn và trục căn thức ở mẫu.
- Bước đầu biết cách phối hợp và sử dụng các phép biến đổi trên.
2. Kỹ năng
- Vận dụng các phép biến đổi trên để rút gọn biểu thức.
3. Thái độ
- Nghiêm túc và hứng thú học tập, trình bày rõ ràng
4. Định hướng năng lực, phẩm chất
- Giúp học sinh phát huy năng lực tính toán, năng lực giải quyết vấn đề, năng lực hợp tác, năng lực ngôn ngữ, năng lực tự học.
- Phẩm chất: Tự tin, tự chủ
II. Chuẩn bị:
- Gv : Phấn mầu, bảng phụ, thước thẳng.
- Hs: Đồ dùng học tập, đọc trước bài.
III. Tiến trình dạy học:
1. Ổn định: (1 phút)
| Giáo viên | Học sinh | Nội dung ghi bài |
|---|---|---|
|
A - Hoạt động khởi động – 7 phút Mục tiêu: Học sinh đưa được thừa số ra ngoài dấu căn, vào trong dấu căn, so sánh căn thức, thực hiện được phép tính, rút gọn được biểu thức Phương pháp: Vấn đáp, ... |
||
* GV giao nhiệm vụ: - Hs1: a) Đưa thừa số ra ngoài dấu căn: √325 ; √20; √75 b) Rút gọn: √2 + 3√8 - √32 - Hs2: a) Đưa thừa số vào trong dấu căn: 2√3 ; -3√5; b) So sánh: 2√5 và √21 - GV cho HS nhận xét, GV đánh giá kết quả thực hiện nhiệm vụ của HS => GV ĐVĐ giới thiệu bài mới |
- Hai hs lên bảng làm bài - Lớp theo dõi nhận xét |
|
|
B - Hoạt động hình thành kiến thức 1. Khử mẫu của biểu thức lấy căn (14 phút) Mục tiêu: - Hs khử được mẫu của biểu thức lấy căn, tổng quát với biểu thức A, B. Phương pháp: Nêu vấn đề, thuyết trình, vấn đáp, trực quan |
||
*Mục tiêu: Hs nắm được phép khử mẫu biểu thức lấy căn và phép trục căn thức ở mẫu *Giao nhiệm vụ: Làm các ví dụ *Cách thức hoạt động: Hoạt động cá nhân và cặp đôi, hđ nhóm *Hoạt động cá nhân: Dựa vào hai ví dụ cụ thể hướng dẫn đi tìm công thức tổng quát. *Hoạt động cặp đôi: NV: HS làm bài ?1 Quan sát HS dưới lớp làm bài Gọi HS nhận xét bài làm của bạn GV nhận xét và sửa sai. |
HS cả lớp nghe GV trình bày. HS trả lời các câu hỏi để biến đổi đối với các biểu thức cụ thể. HS quan sát để đưa ra công thức tổng quát HS thảo luận làm ?1 sau đó ba HS lên bảng làm bài. HS nhận xét bài làm của bạn |
1. Khử mẫu của biểu thức lấy căn Ví dụ 1:
(với a.b>0) Tổng quát: Với các biểu thức A, B mà A.B ≥ 0 và B ≠ 0 ta có:
?1
|
|
2: Trục căn thức ở mẫu – 14 phút Mục tiêu: - Hs nêu được phương pháp trục căn thức ở mẫu, tổng quát được với các biểu thức. Phương pháp: Nêu vấn đề, thuyết trình, vấn đáp, trực quan |
||
-Giới thiệu phép biến đổi trục căn thức ở mẫu -Hướng dẫn HS thực hiện đối với các ví dụ cụ thể -Giới thiệu về hai biểu thức liên hợp với nhau. -GV: biểu thức √3 + 1 và biểu thức √3 - 1 là hai biểu thức liên hợp của nhau *Hoạt động cá nhân: Biểu thức liên hợp của √5 - √3 là biểu thức nào * Hoạt động nhóm:Hãy cho biết biểu thức liên hợp của √A + √B; √A - √B; √A + √B; √A - √B GV: đưa ra tổng quát như SGK * Hoạt động nhóm làm ?2 Quan sát HS dưới lớp làm bài Gọi nhận xét và sửa sai. |
HS cả lớp nghe GV trình bày. HS trả lời các câu hỏi để biến đổi đối với các biểu thức cụ thể. Lớp chia làm 3 nhóm, mỗi nhóm 1 câu làm vào bảng phụ nhóm. -Các nhóm báo cáo kết quả -Các nhóm nhận xét bài làm của nhau |
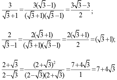
2. Trục căn thức ở mẫu Ví dụ 2:
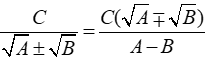
Tổng quát: a)Với các biểu thức A,B mà B > 0, ta có b)Với các biểu thức A,B,C mà A ≥ 0 và A ≠ B2 , ta có
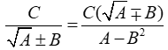
c)Với các biểu thức A,B, C mà A ≥ 0, B ≥ 0 và A ≠ B, ta có
?2
|
| C - Hoạt động Luyện tập – Củng cố - 7 phút | ||
|
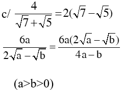
*Mục tiêu: Hs nắm được phép khử mẫu biểu thức lấy căn và trục căn thức ở mẫu qua các bài tập đơn giản *Giao nhiệm vụ: làm bài tập 48; 51(SGK) *Cách thức hoạt động: + Giao nhiệm vụ: Hoạt động cá nhân, cặp đôi + Thực hiện hoạt động: Bài 48:
Bài 51: ;
+ Gv nhận xét bài làm của HS rồi chốt lại vấn đề |
||
|
D - Hoạt động Tìm tòi – Mở rộng (2p) Mục tiêu: - HS chủ động làm các bài tập về nhà để củng cố kiến thức đã học. - HS chuẩn bị bài mới giúp tiếp thu tri thức sẽ học trong buổi sau. + Đọc lại các công thức trong bài học . + Làm các bài tập 48,49,50,52,52,53 SGK và làm thêm bài 68,69 SBT |
||
Xem thêm các bài soạn Giáo án Toán lớp 9 theo hướng phát triển năng lực mới nhất, hay khác:
- Giáo án Toán 9 Luyện tập trang 30
- Giáo án Toán 9 Bài 8: Rút gọn biểu thức chứa căn thức bậc hai
- Giáo án Toán 9 Luyện tập trang 33-34
- Giáo án Toán 9 Bài 9: Căn bậc ba
- Giáo án Toán 9 Ôn tập chương 1 Đại số
Tủ sách VIETJACK luyện thi vào 10 cho 2k11 (2026):
Đã có app VietJack trên điện thoại, giải bài tập SGK, SBT Soạn văn, Văn mẫu, Thi online, Bài giảng....miễn phí. Tải ngay ứng dụng trên Android và iOS.
Loạt bài Giáo án Toán lớp 9 mới, chuẩn nhất, theo hướng phát triển năng lực của chúng tôi được biên soạn bám sát mẫu Giáo án chuẩn môn Toán 9 của Bộ GD & ĐT.
Nếu thấy hay, hãy động viên và chia sẻ nhé! Các bình luận không phù hợp với nội quy bình luận trang web sẽ bị cấm bình luận vĩnh viễn.
- Giáo án lớp 9 (các môn học)
- Giáo án điện tử lớp 9 (các môn học)
- Giáo án Toán 9
- Giáo án Ngữ văn 9
- Giáo án Tiếng Anh 9
- Giáo án Khoa học tự nhiên 9
- Giáo án Vật Lí 9
- Giáo án Hóa học 9
- Giáo án Sinh học 9
- Giáo án Địa Lí 9
- Giáo án Lịch Sử 9
- Giáo án GDCD 9
- Giáo án Tin học 9
- Giáo án Công nghệ 9
- Đề thi lớp 9 (các môn học)
- Đề thi Ngữ Văn 9 (có đáp án)
- Đề thi Toán 9 (có đáp án)
- Đề thi Tiếng Anh 9 mới (có đáp án)
- Đề thi Tiếng Anh 9 (có đáp án)
- Đề thi Khoa học tự nhiên 9 (có đáp án)
- Đề thi Lịch Sử và Địa Lí 9 (có đáp án)
- Đề thi GDCD 9 (có đáp án)
- Đề thi Tin học 9 (có đáp án)
- Đề thi Công nghệ 9 (có đáp án)


Giải bài tập SGK & SBT
Tài liệu giáo viên
Sách
Khóa học
Thi online
Hỏi đáp

