Giáo án Toán 9 Luyện tập trang 11-12 mới nhất
Giáo án Toán 9 Luyện tập trang 11-12 mới nhất
Chỉ từ 300k mua trọn bộ Kế hoạch bài dạy (KHBD) hay Giáo án Toán 9 (cả năm) bản word có lời giải chi tiết:
- B1: gửi phí vào tk:
1133836868- CT TNHH DAU TU VA DV GD VIETJACK - Ngân hàng MB (QR) - B2: Nhắn tin tới Zalo VietJack Official - nhấn vào đây để thông báo và nhận giáo án
I. Mục tiêu:
Qua bài này giúp HS:
1. Kiến thức
- Củng cố được cách tìm điều kiện xác định (hay điều kiện có nghĩa) của
và có kĩ năng thực hiện điều đó khi biểu thức A không phức tạp
- Biết vận dụng hằng đẳng thức
để rút gọn biểu thức
2. Kỹ năng
- Giải quyết được các dạng toán thường gặp như: rút gọn, tìm x…
3. Thái độ
- Nghiêm túc và hứng thú học tập, yêu thích môn học.
4. Định hướng năng lực, phẩm chất
- Giúp học sinh phát huy năng lực tính toán, năng lực giải quyết vấn đề, năng lực hợp tác, năng lực ngôn ngữ, năng lực tự học.
Phẩm chất: Tự tin, tự chủ.
II. Chuẩn bị:
- Gv : Phấn mầu, bảng phụ.
- Hs: Đồ dùng học tập, học bài và làm bài ở nhà
III. Tiến trình dạy học:
1. Ổn định :(1 phút)
2. Bài cũ: (8p)
HS 1:
- Nêu điều kiện để có nghĩa.
- Chữa bài tập12(a,b)tr11,sgk.
Tìm x để mỗi căn thức sau đây có nghĩa :
HS 2: - Điền vào chỗ trống (…) để được khẳng định đúng:
- Chữa bài tập 8(a,b), sgk
3. Bài mới:
| Giáo viên | Học sinh | Nội dung ghi bài |
|---|---|---|
|
A - Hoạt động luyện tập (30p) *Mục tiêu: Củng cố về điều kiện để một căn thức có nghĩa và hằng đẳng thức Phương pháp: Nêu vấn đề, thuyết trình, vấn đáp, trực quan |
||
|
*Giao nhiệm vụ: Làm bài tập SGK *Cách thức hoạt động: + Giao nhiệm vụ: Hoạt động cá nhân (lên bảng trình bày bài) + Thực hiện nhiệm vụ: Gv gọi Hs lên bảng trình bày Hướng dẫn HS làm bài 12(c,d)/11 ? Điều kiện xác định của căn thức bậc hai là gì? ? Một phân số không âm mà có tử dương vậy mẫu của nó như thế nào? ? Bình phương của một số bất kì có giá trị như thế nào? - Gọi 2HS lên bảng trình bày bài 12c,d/T11 sgk Cho HS chữa bài 9. Đưa về giải phương trình dạng Gọi HS nhận xét bài làm của bạn Cho HS làm bài 11(a,d) theo thứ tự thực hiện các phép tính là khai phương hay lũy thừa, nhân hay chia, tiếp đến là cộng hay trừ, từ trái sang phải. Cho HS làm bài 13(a,c)/11 Hướng dẫn HS sử dụng hằng đẳng thức GV gọi HS lên bảng làm bài. Gọi HS nhận xét bài làm của bạn. Cho HS làm bài 14(a,d)/11 Hướng dẫn HS sử dụng: Với Bổ sung thệm:
Cho HS nhắc lại các hằng đẳng thức có liên quan |
- HS nắm cách làm từ phần hỏi bài cũ và hoàn thành các BT gv yêu cầu Bốn HS lên bảng trình bày bài làm của mình. HS dưới lớp nhận xét bài làm của các bạn HS cả lớp làm bài vào vở, mỗi dãy lớp làm 1 câu Mỗi dãy một HS lên bảng trình bày bài làm. Các HS khác nhận xét và sửa sai Biểu thức dưới dấu căn không âm Mẫu của phân số dương Bình phương của một số bao giờ cũng lớn hơn hoặc bằng 0 HS làm bài vào vở theo hướng dẫn của GV sau đó hai HS lên bảng trình bày bài làm của mình. HS dưới lớp nhận xét bài làm của bạn. - HS tiến hành hoạt động nhóm vào bảng phụ nhóm - Các nhóm báo cáo kết quả. HS suy nghĩ làm bài cá nhân HS: A2–B2=(A–B)(A+B) (A–B)2=A2 – 2AB+B2 Suy nghĩ làm ý e và g HS trình bày |
* Dạng 1: Tìm điều kiện để căn thức có nghĩa: Bài 12/11: c/ Căn thức có nghĩa
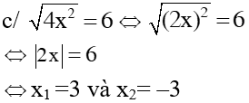
d/ Căn thức với * Dạng 2: Tìm x Bài 9/11: Tìm x biết: (Áp dụng hằng đẳng thức)
* Dạng 3: Tính toán, rút gọn Bài 11/11: Tính: a/ =4.5+14:7 =20+2=22 d/
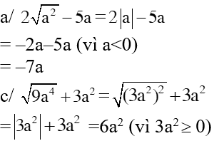
Bài 13/11: Rút gọn các bt:
Bài 14/11: Phân tích thành nhân tử
|
| C - Hoạt động vận dụng (5p) | ||
|
Mục tiêu: HS tìm ra lỗi sai trong bài toán PP: Vấn đáp |
||
Cho HS đọc bài 16 trong SGK để tìm chỗ sai trong chứng minh đó. Gọi HS đứng tại chỗ trình bày chỗ sai trong phép chứng minh đó. Từ chỗ sai đó GV chú ý cho HS tránh mắc phải những sai lầm như vậy |
HS đọc bài 16 và tìm chỗ sai trong 5’. HS trình bày chỗ sai trong phép chứng minh đó. |
|
| D - Hoạt động hướng dẫn về nhà (1p) | ||
|
Mục tiêu: - HS chủ động làm các bài tập về nhà để củng cố kiến thức đã học. - HS chuẩn bị bài mới giúp tiếp thu tri thức sẽ học trong buổi sau. |
||
|
Bài tập về nhà: 11(b,c), 12(a,b) 13(b,d) 14(b,c), 15/11 SGK 12, 13, 14, 15/5 18/6 SBT Hướng dẫn: Bài 15 trước tiên phân tích vế trái thành nhân tử sau đó giải phương trình tích dạng A.B=0 A=0 hoặc B=0 |
||
Xem thêm các bài soạn Giáo án Toán lớp 9 theo hướng phát triển năng lực mới nhất, hay khác:
- Giáo án Toán 9 Bài 3: Liên hệ giữa phép nhân và phép khai phương
- Giáo án Toán 9 Luyện tập trang 15-16
- Giáo án Toán 9 Bài 4: Liên hệ giữa phép chia và phép khai phương
- Giáo án Toán 9 Luyện tập trang 19-20
Tủ sách VIETJACK luyện thi vào 10 cho 2k11 (2026):
Đã có app VietJack trên điện thoại, giải bài tập SGK, SBT Soạn văn, Văn mẫu, Thi online, Bài giảng....miễn phí. Tải ngay ứng dụng trên Android và iOS.
Loạt bài Giáo án Toán lớp 9 mới, chuẩn nhất, theo hướng phát triển năng lực của chúng tôi được biên soạn bám sát mẫu Giáo án chuẩn môn Toán 9 của Bộ GD & ĐT.
Nếu thấy hay, hãy động viên và chia sẻ nhé! Các bình luận không phù hợp với nội quy bình luận trang web sẽ bị cấm bình luận vĩnh viễn.
- Giáo án lớp 9 (các môn học)
- Giáo án điện tử lớp 9 (các môn học)
- Giáo án Toán 9
- Giáo án Ngữ văn 9
- Giáo án Tiếng Anh 9
- Giáo án Khoa học tự nhiên 9
- Giáo án Vật Lí 9
- Giáo án Hóa học 9
- Giáo án Sinh học 9
- Giáo án Địa Lí 9
- Giáo án Lịch Sử 9
- Giáo án GDCD 9
- Giáo án Tin học 9
- Giáo án Công nghệ 9
- Đề thi lớp 9 (các môn học)
- Đề thi Ngữ Văn 9 (có đáp án)
- Đề thi Toán 9 (có đáp án)
- Đề thi Tiếng Anh 9 mới (có đáp án)
- Đề thi Tiếng Anh 9 (có đáp án)
- Đề thi Khoa học tự nhiên 9 (có đáp án)
- Đề thi Lịch Sử và Địa Lí 9 (có đáp án)
- Đề thi GDCD 9 (có đáp án)
- Đề thi Tin học 9 (có đáp án)
- Đề thi Công nghệ 9 (có đáp án)


Giải bài tập SGK & SBT
Tài liệu giáo viên
Sách
Khóa học
Thi online
Hỏi đáp

