(KHBD) Giáo án Vật Lí 10 Bài 21 (mới, chuẩn nhất)
Kế hoạch bài dạy (KHBD) hay Giáo án Vật Lí 10 Bài 21 đầy đủ giáo án word, giáo án điện tử (Bài giảng Powerpoint) chương trình sách mới Kết nối tri thức, Chân trời sáng tạo. Mời các bạn đón đọc:
(KHBD) Giáo án Vật Lí 10 Bài 21 (mới, chuẩn nhất)
Xem thử Giáo án Vật Lí 10 KNTT Xem thử Giáo án điện tử Vật Lí 10 KNTT Xem thử Giáo án Vật Lí 10 CTST Xem thử Giáo án điện tử Vật Lí 10 CTST Xem thử Giáo án Vật Lí 10 CD Xem thử Giáo án điện tử Vật Lí 10 CD
Chỉ từ 300k mua trọn bộ Kế hoạch bài dạy (KHBD) hay Giáo án Vật Lí 10 cả năm (mỗi bộ sách) chuẩn kiến thức, trình bày đẹp mắt:
- B1: gửi phí vào tk:
1133836868- CT TNHH DAU TU VA DV GD VIETJACK - Ngân hàng MB (QR) - B2: Nhắn tin tới Zalo VietJack Official - nhấn vào đây để thông báo và nhận giáo án
(Kết nối tri thức) Giáo án Vật Lí 10 Bài 21: Moment lực. Cân bằng của vật rắn
(Kết nối tri thức) Giáo án điện tử Vật Lí 10 Bài 21: Moment lực. Cân bằng của vật rắn
(Chân trời sáng tạo) Giáo án Vật Lí 10 Bài 21: Động lực học của chuyển động tròn. Lực hướng tâm
Xem thử Giáo án Vật Lí 10 KNTT Xem thử Giáo án điện tử Vật Lí 10 KNTT Xem thử Giáo án Vật Lí 10 CTST Xem thử Giáo án điện tử Vật Lí 10 CTST Xem thử Giáo án Vật Lí 10 CD Xem thử Giáo án điện tử Vật Lí 10 CD
Lưu trữ: Giáo án Vật Lí 10 Bài 21 (sách cũ)
I. MỤC TIÊU BÀI HỌC:
1. Về kiến thức:
- Phát biêu được định nghĩa của chuyển động tịnh tiến và nêu được ví dụ minh họa.
- Viết được công thức định luật II Newton cho chuyển dộng tịnh tiến.
- Nêu được tác dụng của momen lực đối với một vật rắn quay quanh một trục.
- Nêu được các yếu tố ảnh hưởng đến momen quán tính của vật.
2. Về kĩ năng:
- áp dụng dược định luật II Newton cho chuyển động tịnh tiến.
- áp dụng được khái niệm momen quán tính để giải thích sự thay đối chuyển dộng quay
của các vật.
- Biết cách đo thời gian chuyển động và trình bày kết luận.
3. Về thái độ:
4. Định hướng phát triển năng lực
a. Năng lực được hình thành chung:
Năng lực giải quyết vấn đề. Năng lực thực nghiệm. Năng lực dự đoán, suy luận lí thuyết, thiết kế và thực hiện theo phương án thí nghiệm kiểm chứng giả thuyết, dự đoán, phân tích, xử lí số liệu và khái quát rút ra kết luận khoa học. Năng lực đánh giá kết quả và giải quyết vân đề
b. Năng lực chuyên biệt môn vật lý:
- Năng lực kiến thức vật lí.
- Năng lực phương pháp thực nghiệm
- Năng lực trao đổi thông tin
- Năng lực cá nhân của HS
II. PHƯƠNG PHÁP – PHƯƠNG TIỆN DẠY HỌC:
1. Về phương pháp:
- Sử dụng phương pháp thuyết trình kết hợp với đàm thoại nêu vấn đề, nếu có điều kiện sử dụng bài giảng điện tử trình chiếu trên máy chiếu.
- Sử dụng phương pháp thí nghiệm biểu diễn.
2. Về phương tiện dạy học:
- Giáo án, sgk, thước kẻ, đồ dùng dạy học,…
III. CHUẨN BỊ:
a. Chuẩn bị của GV:
- Giáo án, sgk, thước kẻ, đồ dùng dạy học,…
b. Chuẩn bị của HS: Ôn lại định luật II Niu-tơn, tốc độ góc và momen lực.
IV. CÁC HOẠT ĐỘNG DẠY VÀ HỌC
1. Ổn định tổ chức:
2. Kiểm tra bài cũ:
Thế nào là dạng cân bằng bền, không bền, phiếm định? Vị trí trọng tâm của vật có vai trò gì với mỗi dạng cân bằng?
3. Bài mới:
HOẠT ĐỘNG 1: Khởi động (5’) Mục tiêu: HS biết được các nội dung cơ bản của bài học cần đạt được, tạo tâm thế cho học sinh đi vào tìm hiểu bài mới. Phương pháp dạy học: Dạy học nhóm; dạy học nêu và giải quyết vấn đề; phương pháp thuyết trình; sử dụng đồ dung trực quan Định hướng phát triển năng lực: giải quyết vấn đề, năng lực hợp tác, năng lực xử lí tình huống, năng lực giao tiếp, năng lực nhận thức, điều chỉnh hành vi, tư duy sáng tạo. |
||
Đặt vấn đề: Chuyển động tịnh tiến và chuyển động quay quanh 1 trục cố định là 2 chuyển động đơn giản nhất. Chúng có đặc điểm gì? |
HS định hướng ND |
Tiết 32: CHUYỂN ĐỘNG TỊNH TIẾN CỦA VẬT RẮN - CHUYỂN ĐỘNG QUAY CỦA VẬT RẮN QUANH MỘT TRỤC CỐ ĐỊNH |
HOẠT ĐỘNG 2: Hình thành kiến thức Mục tiêu: định nghĩa chuyển động tịnh tiến và nêu được ví dụ minh họa. - Viết được công thức định luật II Niu-tơn cho chuyển động tịnh tiến - Áp dụng được định luật II Niu-tơn cho chuyển động tịnh tiến thẳng, giải được các bài tập SGK và các bài tập tương tự. Phương pháp dạy học: Dạy học nhóm; dạy học nêu và giải quyết vấn đề; phương pháp thuyết trình; sử dụng đồ dung trực quan Định hướng phát triển năng lực: giải quyết vấn đề, năng lực hợp tác, năng lực xử lí tình huống, năng lực giao tiếp, năng lực nhận thức, điều chỉnh hành vi, tư duy sáng tạo |
||
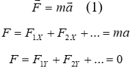
- Chuyển động của miếng gỗ là chuyển động tịnh tiến. Đánh dấu 2 điểm A, B trên miếng gỗ nối lại thành đoạn thẳng AB, sau đó kéo miếng gỗ chuyển động. Hãy nhận xét vị trí của đoạn AB khi miếng gỗ chuyển động? - Hãy nêu định nghĩa chuyển động tịnh tiến? - Dựa vào định nghĩa đó, em hãy trả lời câu C1. - Chú ý có chuyển động tịnh tiến thẳng, cong hoặc tròn. - Lấy ví dụ? - Trong chuyển động tịnh tiến tất cả các điểm trên vật đều chuyển động như nhau, nghĩa là đều có cùng một gia tốc. Vì vậy ta có thể coi vật như một chất điểm để tính gia tốc của vật, chúng ta có thể áp dụng định luật II Niu-tơn để tìm gia tốc của vật rắn. - Trường hợp vật chuyển động tịnh tiến thẳng, chọn Ox cùng hướng chuyển động, rồi chiếu phương trình vectơ (1) lên trục tọa độ đó. - Chiếu lên phương Oy: |
- Khi miếng gỗ chuyển động AB chuyển động và luôn song song với chính nó. - Chuyển động tịnh tiến của một vật rắn là chuyển động trong đó đường nối 2 điểm bất kỳ của vật luôn song song với chính nó. - C1: Là chuyển động tịnh tiến và 2 điểm bất kì trên vật luôn song song với chính nó. - Thảo luận nhóm để tìm ví dụ. + HS trả lời |
I. Chuyển động tịnh tiến của vật rắn. 1. Định nghĩa. Chuyển động tịnh tiến của 1 vật rắn là chuyển động trong đó đường nối 2 điểm bất kỳ của vật luôn song song với chính nó. 2. Gia tốc của vật trong chuyển động tịnh tiến. Gia tốc của chuyển động tịnh tiến được xác định bằng định luật II Niu-Tơn Trong đó: |
- Dùng đĩa momen đánh dấu 2 điểm, làm cho đĩa quay 1 góc nào đó. Hãy nhận xét góc quay của 2 điểm trong cùng 1 khoảng thời gian? - Nói tổng quát hơn là mọi điểm của vật đều quay được cùng 1 góc trong cùng 1 khoảng thời gian, tức là mọi điểm của vật có cùng tốc độ góc. - Vậy ω có giá trị như thế nào nếu vật quay đều? Quay nhanh dần? Chậm dần? - Chú ý: tốc độ dài của một điểm cách trục quay r được xác định như thế nào? |
- Quan sát TN; suy nghĩ rút ra nhận xét. + Hai điểm quay được cùng 1 góc trong cùng một khoảng thời gian. + Vật quay đều ω = const, vật quay nhanh dền thì ω tăng dần, vật quay chậm dền thì ω giảm dần + v = rω tốc độ dài của các điểm có giá trị phụ thuộc khoảng cách từ điểm đó đến trục quay. |
II. Chuyển động quay của vật rắn quanh một trục cố định. 1. Đặc điểm của chuyển động quay. Tốc độ góc - Mọi điểm của vật có cùng tốc độ góc ω - Vật quay đều ω = const. - Vật quay nhanh dền thì ω tăng dần. - Vật quay chậm dền thì ω giảm dần. |
- Bố trí TN hình 21.4 - Cho 2 vật cùng trọng lượng; các em hãy trả lời C2 - Treo hai vật có P1 > P2; giữ vật 1 ở độ cao h, thả nhẹ cho hai vật chuyển động. Trả lời C3 - Nhận xét chuyển động của 2 vật và ròng rọc? - Giải thích tại sao ròng rọc quay nhanh dần? - Các em hãy rút ra nhận xét về tác dụng của momen lực đối với một vật quay quanh 1 trục |
- Quan sát TN, thảo luận để trả lời các câu hỏi. - Ròng rọc chịu tác dụng của lực căng T1 và T2 của dây. Ta có: T1 = P1 = T2 = P2 ⇒ M1 = M2 ⇒ Ròng rọc đứng yên. - Quan sát TN, đo thời gian chuyển động của vật 1 là t0 và rút ra nhận xét: Hai vật chuyển động nhanh dần, ròng rọc quay nhanh dần. T1 = P1 > T2 = P2 ⇒ M1 = T1.R > M2 = T2 R làm cho ròng rọc quay nhanh dần. - Momen lực tác dụng lên một vật quay quanh một trục làm thay đổi tốc độ góc của vật. |
2. Tác dụng của momen lực đối với một vật quay quanh một trục. a. Thí Nghiệm: b. Giải thích: - Hai vật có trọng lượng khác nhau (P1 > P2) ⇒ T1 ≠ T2 (T1 > T2) ⇒ Tổng mômen lực tác dụng lên ròng rọc là: M = M1 - M2 = (T1 - T2)R M ≠ 0 ⇒ Ròng rọc quay nhanh dần. c. Kết luận: Momen lực tác dụng vào một vật quay quanh một trục cố định làm thay đổi tốc độ góc của vật. |
- Tác dụng cùng 1 lực lên các vật khác nhau vật nào có vận tốc thay đổi chậm hơn thì có mức quán tính lớn hơn. - Mọi vật quay quanh trục đều có mức quán tính. Mức quán tính của vật càng lớn thì vật càng khó thay đổi tốc độ góc và ngược lại. - Mức quán tính của vật phụ thuộc vào những yếu tố nào? - Tiến hành TN kiểm tra (ròng rọc cùng kích thước nhưng thay đổi khối lượng); các em trả lời C4. + Gợi ý: Vật 1 chuyển động nhanh dần, đi cùng quãng đường. - Tiến hành TN kiểm tra (ròng rọc có khối lượng tập trung chủ yếu ở phần ngoài); các em trả lời C5. - Qua 2 TN các em hãy rút ra kết luận về mức quán tính - TN cho thấy; khi một vật đang quay mà chịu một momen cản thì vật quay chậm lại. Vật có khối lượng lớn thì tốc độ góc giảm chậm hơn và ngược lại. - Các em làm C6 |
- Phát hiện sự tượng tự của chuyển động thẳng và chuyển động quay. + HS trả lời - Đo t1 so sánh với t0; rút ra kết luận: mức quán tính phụ thuộc vào khối lượng của vật. - Đo t2 so sánh với t0; rút ra kết luận: mức quán tính phụ thuộc vào sự phân bố khối lượng của vật đối với trục quay. - Hs rút ra kết luận chung. - Thảo luận chung tìm phương án trả lời. |
3. Mức quán tính trong chuyển động quay. + Mọi vật quay quanh một trục đều có mức quán tính. + Mức quán tính của một vật quay quanh một trục phụ thuộc vào khối lượng của vật v à sự phân bố khối lượng đó đối với trục quay. |
HOẠT ĐỘNG 3: Hoạt động luyện tập (10') Mục tiêu: Luyện tập củng cố nội dung bài học Phương pháp dạy học: Dạy học nhóm; dạy học nêu và giải quyết vấn đề; phương pháp thuyết trình; sử dụng đồ dung trực quan Định hướng phát triển năng lực: giải quyết vấn đề, năng lực hợp tác, năng lực xử lí tình huống, năng lực giao tiếp, năng lực nhận thức, điều chỉnh hành vi, tư duy sáng tạo |
||
GV giao nhiệm vụ cho học sinh làm bài tập trắc nghiệm: Câu 1: Một vật rắn ở trạng thái cân bằng sẽ không chuyển động tịnh tiến dưới tác dụng của cá lực khi A. các lực tác dụng cùng đi qua trọng tâm. B. các lực tác dụng từng đôi một trực đối. C. các lực tác dụng phải đồng quy. D. tổng các lực tác dụng phải bằng 0. Câu 2: Một vật rắn ở trạng thái cân bằng sẽ không quay dưới tác dụng của các lực khi A. các lực tác dụng cùng đi qua trọng tâm. B. các lực tác dụng từng đôi một trực đối. C. các lực tác dụng phải đồng quy. D. tổng momen của các lực tác dụng đối với cùng một trục quay phải bằng 0. Câu 3.Trong các chuyển động của các vật sau, vật nào là chuyển động tịnh tiến? A. Đầu van xe đạp của một xe đạp đang chuyển động. B. Quả bóng đang lăn C. Bè trôi trên sông. D. Cánh cửa quay quanh bản lề. Câu 4: Một vật rắn có trục quay cố định, nó chịu tác dụng lực F . Tình huống nào sau đây, vật sẽ không thực hiện chuyển động quay? A. Giá của lực đi qua trọng tâm của vật. B. Giá của lực song song với trục quay. C. Giá của lực đi qua trục quay. D. Cả B và C đều đúng. Câu 5: Hùng va Dũng cùng nhau đẩy một chiếc thùng đựng hàng có trọng lượng 1200 N. Hùng đẩy với một lực 400 N. Dũng đẩy với một lực 300 N. Hệ số ma sát trượt giữa thùng và sàn nhà là μ = 0,2. Gia tốc trong chuyển động tịnh tiến của thùng là (g = 10 m/s2): A. 0,38 m/s2. B. 0,038 m/s2. C. 3,8 m/s2. D. 4,6 m/s2. Câu 6: Một vật có khối lượng m = 40 kg bắt đầu trượt trên sàn nhà dưới tác dụng của một lực nằm ngang F = 200N. Hệ số ma sát trượt giữa vật và sàn μt = 0,25, cho g = 10 m/s2. Gia tốc của vật là A. a = 2 m/ s2 B. a = 2,5 m/ s2. C. a = 3 m/ s2. D. a = 3,5 m/ s2 Câu 7: Một vật rắn có khối lượng m= 10 kg được kéo trượt tịnh tiến trên mặt sàn nằm ngang bởi lực F có độ lớn 20 N hợp với phương nằm ngang một góc α = 30o. Cho biết hệ số ma sát trượt giữa vật và sàn nhà là μ = 0,1 (lấy g = 10 m/s2). Quãng đường vật rắn đi được 4 s là A. 6,21 m. B. 6,42 m. C. 6,56 m. D. 6,72 m. Hướng dẫn giải và đáp án |
||
HOẠT ĐỘNG 4: Hoạt động vận dụng (8’) Mục tiêu: Vận dụng làm bài tập Phương pháp dạy học: Dạy học nhóm; dạy học nêu và giải quyết vấn đề; phương pháp thuyết trình; sử dụng đồ dung trực quan Định hướng phát triển năng lực: giải quyết vấn đề, năng lực hợp tác, năng lực xử lí tình huống, năng lực giao tiếp, năng lực nhận thức, điều chỉnh hành vi, tư duy sáng tạo |
||
Bài 2 (trang 114 SGK Vật Lý 10): Có thể áp dụng định luật II Niu – tơn cho chuyển động tịnh tiến được không? Tại sao? Bài 3 (trang 114 SGK Vật Lý 10): Momen lực có tác dụng như thế nào đối với một vật quay quanh một trục cố định? |
Có thể áp dụng định luật II Niu – tơn cho chuyển động tịnh tiến. Vì tất cả các điểm của vật đều chuyển động như nhau, đều có cùng một gia tốc. Khi vật rắn quay quanh trục, mọi điểm của vật đều có cùng tốc độ góc ω momen lực tác dụng vào vật quay quanh một trục cố định làm thay đổi tốc độ góc của vật. |
|
HOẠT ĐỘNG 5: Hoạt động tìm tòi và mở rộng (2’) Mục tiêu: Tìm tòi và mở rộng kiến thức, khái quát lại toàn bộ nội dung kiến thức đã học Phương pháp dạy học: Dạy học nhóm; dạy học nêu và giải quyết vấn đề; phương pháp thuyết trình; sử dụng đồ dung trực quan Định hướng phát triển năng lực: giải quyết vấn đề, năng lực hợp tác, năng lực xử lí tình huống, năng lực giao tiếp, năng lực nhận thức, điều chỉnh hành vi, tư duy sáng tạo |
||
Vẽ sơ đồ tư duy khái quát lại nội dung bài học |
||
4. Dặn dò
+ GV tóm lại nội dung chính của bài.
+ Yêu cầu HS về nhà làm các bài tập.
+ Yêu cầu: HS chuẩn bị bài sau.
Xem thử Giáo án Vật Lí 10 KNTT Xem thử Giáo án Vật Lí 10 CTST Xem thử Giáo án Vật Lí 10 CD
Xem thêm các bài soạn Giáo án Vật Lí lớp 10 theo hướng phát triển năng lực mới nhất, hay khác:
- Giáo án Vật Lí 10 Bài 20: Các dạng cân bằng. Cân bằng của một vật có mặt chân đế
- Giáo án Vật Lí 10 Bài 21: Chuyển động tịnh tiến của vật rắn. Chuyển động quay của vật rắn quanh một trục cố định
- Giáo án Vật Lí 10 Bài 22: Ngẫu lực
- Giáo án Vật Lí 10 Tiết 35: Bài tập
Để học tốt lớp 10 các môn học sách mới:
- Giải bài tập Lớp 10 Kết nối tri thức
- Giải bài tập Lớp 10 Chân trời sáng tạo
- Giải bài tập Lớp 10 Cánh diều
Tủ sách VIETJACK shopee lớp 10-11 (cả 3 bộ sách):
Đã có app VietJack trên điện thoại, giải bài tập SGK, SBT Soạn văn, Văn mẫu, Thi online, Bài giảng....miễn phí. Tải ngay ứng dụng trên Android và iOS.
Theo dõi chúng tôi miễn phí trên mạng xã hội facebook và youtube:Nếu thấy hay, hãy động viên và chia sẻ nhé! Các bình luận không phù hợp với nội quy bình luận trang web sẽ bị cấm bình luận vĩnh viễn.
Đã có app VietJack trên điện thoại, giải bài tập SGK, SBT Soạn văn, Văn mẫu, Thi online, Bài giảng....miễn phí. Tải ngay ứng dụng trên Android và iOS.
Theo dõi chúng tôi miễn phí trên mạng xã hội facebook và youtube:Loạt bài Giáo án Vật Lí lớp 10 chuẩn nhất của chúng tôi được biên soạn bám sát nội dung sgk Vật Lí 10 theo chuẩn Giáo án của Bộ GD & ĐT.
Nếu thấy hay, hãy động viên và chia sẻ nhé! Các bình luận không phù hợp với nội quy bình luận trang web sẽ bị cấm bình luận vĩnh viễn.
- Giáo án lớp 10 (các môn học)
- Giáo án điện tử lớp 10 (các môn học)
- Giáo án Ngữ văn 10
- Giáo án Toán 10
- Giáo án Tiếng Anh 10
- Giáo án Vật Lí 10
- Giáo án Hóa học 10
- Giáo án Sinh học 10
- Giáo án Lịch Sử 10
- Giáo án Địa Lí 10
- Giáo án Kinh tế Pháp luật 10
- Giáo án Tin học 10
- Giáo án Công nghệ 10
- Giáo án Giáo dục quốc phòng 10
- Giáo án Hoạt động trải nghiệm 10
- Đề thi lớp 10 (các môn học)
- Đề thi Ngữ Văn 10 (có đáp án)
- Chuyên đề Tiếng Việt lớp 10
- Đề cương ôn tập Văn 10
- Đề thi Toán 10 (có đáp án)
- Đề thi cương ôn tập Toán 10
- Đề thi Toán 10 cấu trúc mới (có đáp án)
- Đề thi Tiếng Anh 10 (có đáp án)
- Đề thi Vật Lí 10 (có đáp án)
- Đề thi Hóa học 10 (có đáp án)
- Đề thi Sinh học 10 (có đáp án)
- Đề thi Lịch Sử 10 (có đáp án)
- Đề thi Địa Lí 10 (có đáp án)
- Đề thi Kinh tế & Pháp luật 10 (có đáp án)
- Đề thi Tin học 10 (có đáp án)
- Đề thi Công nghệ 10 (có đáp án)
- Đề thi Giáo dục quốc phòng 10 (có đáp án)


Giải bài tập SGK & SBT
Tài liệu giáo viên
Sách
Khóa học
Thi online
Hỏi đáp

