Giáo án Vật Lí 10 Bài 26: Thế năng (tiếp theo) (mới, chuẩn nhất)
Giáo án Vật Lí 10 Bài 26: Thế năng (tiếp theo) (mới, chuẩn nhất)
Xem thử Giáo án Vật Lí 10 KNTT Xem thử Giáo án Vật Lí 10 CTST Xem thử Giáo án Vật Lí 10 CD
Chỉ từ 300k mua trọn bộ Kế hoạch bài dạy (KHBD) hay Giáo án Vật Lí 10 cả năm (mỗi bộ sách) bản word chuẩn kiến thức, trình bày đẹp mắt:
- B1: gửi phí vào tk:
1133836868- CT TNHH DAU TU VA DV GD VIETJACK - Ngân hàng MB (QR) - B2: Nhắn tin tới Zalo VietJack Official - nhấn vào đây để thông báo và nhận giáo án
I. MỤC TIÊU BÀI HỌC:
1. Về kiến thức:
- Phát biểu được định nghĩa và viết được biểu thức của thế năng đàn hồi.
- Viết được biểu thức tính công của lực đàn hồi trung bình của lò xo có độ biến dạng Δl.
- Áp dụng được các công thức tính thế năng tương ứng đúng với việc chọn gốc thế năng và loại thế năng.
2. Về kĩ năng: phân tích được thế năng trọng trường.
3. Về thái độ: chú ý lắng nghe, có tinh thần xây dựng bài học.
4. Định hướng phát triển năng lực
a. Năng lực được hình thành chung:
Năng lực giải quyết vấn đề. Năng lực thực nghiệm. Năng lực dự đoán, suy luận lí thuyết, thiết kế và thực hiện theo phương án thí nghiệm kiểm chứng giả thuyết, dự đoán, phân tích, xử lí số liệu và khái quát rút ra kết luận khoa học. Năng lực đánh giá kết quả và giải quyết vân đề
b. Năng lực chuyên biệt môn vật lý:
- Năng lực kiến thức vật lí.
- Năng lực phương pháp thực nghiệm
- Năng lực trao đổi thông tin
- Năng lực cá nhân của HS
II. PHƯƠNG PHÁP – PHƯƠNG TIỆN DẠY HỌC:
1. Về phương pháp:
- Sử dụng phương pháp thuyết trình kết hợp với đàm thoại nêu vấn đề, nếu có điều kiện sử dụng bài giảng điện tử trình chiếu trên máy chiếu.
- Sử dụng phương pháp thí nghiệm biểu diễn.
2. Về phương tiện dạy học:
- Giáo án, sgk, thước kẻ, đồ dùng dạy học,…
III. CHUẨN BỊ:
a. Chuẩn bị của GV:
- Chuẩn bị một số ví dụ thực tế về xác định vị trí của một điểm để cho hv thảo luận.
b. Chuẩn bị của HS: Ôn lại định luật Húc
IV. CÁC HOẠT ĐỘNG DẠY VÀ HỌC
1. Ổn định tổ chức:
2. Kiểm tra bài cũ:
- Phát biểu định nghĩa trọng trường, trọng trường đều?
- Phát biểu định nghĩa và viết biểu thức của thế năng trọng trường ( hay thế năng hấp dẫn). Định nghĩa khái niệm mốc thế năng?
- Viết công thức liên hệ giữa công của trọng lực và sự biến thiên thế năng?
3. Bài mới:
HOẠT ĐỘNG 1: Khởi động (5’) Mục tiêu: HS biết được các nội dung cơ bản của bài học cần đạt được, tạo tâm thế cho học sinh đi vào tìm hiểu bài mới. Phương pháp dạy học: Dạy học nhóm; dạy học nêu và giải quyết vấn đề; phương pháp thuyết trình; sử dụng đồ dung trực quan Định hướng phát triển năng lực: giải quyết vấn đề, năng lực hợp tác, năng lực xử lí tình huống, năng lực giao tiếp, năng lực nhận thức, điều chỉnh hành vi, tư duy sáng tạo. |
||
Tiết này chúng ta tiếp tục tìm hiểu về thế năng đàn hồi? |
HS định hướng |
Tiết 44: THẾ NĂNG(tiếp) |
HOẠT ĐỘNG 2: Hình thành kiến thức Mục tiêu: định nghĩa và viết được biểu thức của thế năng đàn hồi. - Công của lực đàn hồi trung bình của lò xo có độ biến dạng Δl. - Áp dụng được các công thức tính thế năng tương ứng đúng với việc chọn gốc thế năng và loại thế năng. Phương pháp dạy học: Dạy học nhóm; dạy học nêu và giải quyết vấn đề; phương pháp thuyết trình; sử dụng đồ dung trực quan Định hướng phát triển năng lực: giải quyết vấn đề, năng lực hợp tác, năng lực xử lí tình huống, năng lực giao tiếp, năng lực nhận thức, điều chỉnh hành vi, tư duy sáng tạo |
||
Hoạt động của GV |
Hoạt động của HS |
Nội dung |
|---|---|---|
Yêu cầu tính công lực đàn hồi của lò xo khi đưa lò xo từ trạng thái biến dạng về trạng thái không biến dạng. - Yêu cầu trình bày và nhận xét. |
- Nhớ lại về lực đàn hồi của lò xo. - Đọc phần chứng minh công thức 26.6 SGK. |
II. Thế năng đàn hồi 1. Công của lực đàn hồi Công thức tính công của lực đàn hồi trung bình của lò xo ở trạng thái có biến dạng Δl |
- Giới thiệu khái niệm và biểu thức tính thế năng đàn hồi,... |
- Giới thiệu khái niệm và biểu thức tính thế năng đàn hồi,. |
2. Thế năng đàn hồi - Thế năng đàn hồi là dạng năng lượng của một vật chịu tác dụng của lực đàn hồi . - Công thức tính thế năng đàn hồi của một lò xo ở trạng thái có biến dạng Δl là: |
HOẠT ĐỘNG 3: Hoạt động luyện tập (10') Mục tiêu: Luyện tập củng cố nội dung bài học Phương pháp dạy học: Dạy học nhóm; dạy học nêu và giải quyết vấn đề; phương pháp thuyết trình; sử dụng đồ dung trực quan Định hướng phát triển năng lực: giải quyết vấn đề, năng lực hợp tác, năng lực xử lí tình huống, năng lực giao tiếp, năng lực nhận thức, điều chỉnh hành vi, tư duy sáng tạo |
||
GV giao nhiệm vụ cho học sinh làm bài tập trắc nghiệm: Câu 11: Thế năng của một lò xo khi nó bị dãn một khoảng x là Wt = kx2, với k là hằng số. Lực đàn hồi khi đó bằng A. kx. B. kx√2. C. kx/2. D. 2kx. Câu 12: Một lò xo có độ cứng k = 200 N/m, bị nén ngắn lại 10 cm so với chiều dài tự nhiên ban đầu. Chọn mốc thế năng tại vị trí ban đầu. Thế năng đàn hồi của lò xo là A. 0,01 J. B. 0,1 J. C. 1 J. D. 0,001 J. Câu 13: Một người kéo một lực kế, số chỉ của lực kế là 400 N, độ cứng của lò xo lực kế là 1000 N/m. Công do người thực hiện bằng A. 80 J. B. 160 J. C. 40 J. D. 120 J. Câu 14: Cho một lò xo đàn hồi nằm ngang ở trạng thái ban đầu không bị biến dạng. Khi tác dụng một lực 3 N kéo lò xo theo phương ngang ta thấy nó dãn được 2 cm. Thế năng đàn hồi của lò xo có giá trị bằng A. 0,08 J. B. 0,04 J. C. 0,03 J. D. 0,05 J. Câu 15: Một lò xo treo thẳng đứng có độ cứng 10 N/m và chiều dài tự nhiên 10 cm. Treo vào đầu dưới của lò xo một quả cân khối lượng 100 g, lấy g = 10 m/s2, bỏ qua khối lượng của lò xo. Giữ quả cân ở vị trí sao cho lò xo có chiều dài 5 cm thì thế năng tổng cộng của hệ (lò xo – quả nặng) với mốc thế năng tại vị trí cân bằng là A. 0,2625 J. B. 0,1125 J. C. 0,625 J. D. 0,02 J. Hướng dẫn giải và đáp án |
||
HOẠT ĐỘNG 4: Hoạt động vận dụng (8’) Mục tiêu: Vận dụng làm bài tập Phương pháp dạy học: Dạy học nhóm; dạy học nêu và giải quyết vấn đề; phương pháp thuyết trình; sử dụng đồ dung trực quan Định hướng phát triển năng lực: giải quyết vấn đề, năng lực hợp tác, năng lực xử lí tình huống, năng lực giao tiếp, năng lực nhận thức, điều chỉnh hành vi, tư duy sáng tạo |
||
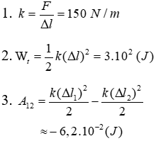
Bài tập: Cho một lò xo nằm ngang ở trang thái ban đầu không biến dạng. Khi tác dụng lực 1. Tính độ cứng của lò xo. 2. Tính thế năng đàn hồi của lò xo khi nó dãn 2 cm. 3. Tính công của lực đàn hồi thực hiện khi lò xo được kéo dãn thêm từ 2 cm đến 3,5 cm. Hướng dẫn HS thảo luận lần lượt bài toán. |
- HS đọc bài và tìm hiểu bài toán. - HS thảo luận tìm lời giải. Kết quả. |
|
HOẠT ĐỘNG 5: Hoạt động tìm tòi và mở rộng (2’) Mục tiêu: Tìm tòi và mở rộng kiến thức, khái quát lại toàn bộ nội dung kiến thức đã học Phương pháp dạy học: Dạy học nhóm; dạy học nêu và giải quyết vấn đề; phương pháp thuyết trình; sử dụng đồ dung trực quan Định hướng phát triển năng lực: giải quyết vấn đề, năng lực hợp tác, năng lực xử lí tình huống, năng lực giao tiếp, năng lực nhận thức, điều chỉnh hành vi, tư duy sáng tạo |
||
Tìm hiểu và lấy thêm vì dụ về thế năng |
||
4. Dặn dò
+ GV tóm lại nội dung chính của bài.
+ Yêu cầu HS về nhà làm các bài tập.
+ Yêu cầu: HS chuẩn bị bài sau.
Xem thử Giáo án Vật Lí 10 KNTT Xem thử Giáo án Vật Lí 10 CTST Xem thử Giáo án Vật Lí 10 CD
Xem thêm các bài soạn Giáo án Vật Lí lớp 10 theo hướng phát triển năng lực mới nhất, hay khác:
- Giáo án Vật Lí 10 Bài 25: Động năng
- Giáo án Vật Lí 10 Bài 26: Thế năng
- Giáo án Vật Lí 10 Bài 26: Thế năng (tiếp theo)
- Giáo án Vật Lí 10 Bài 27: Cơ năng
- Giáo án Vật Lí 10 Tiết 46: Bài tập
Để học tốt lớp 10 các môn học sách mới:
- Giải bài tập Lớp 10 Kết nối tri thức
- Giải bài tập Lớp 10 Chân trời sáng tạo
- Giải bài tập Lớp 10 Cánh diều
Tủ sách VIETJACK shopee lớp 10-11 (cả 3 bộ sách):
Đã có app VietJack trên điện thoại, giải bài tập SGK, SBT Soạn văn, Văn mẫu, Thi online, Bài giảng....miễn phí. Tải ngay ứng dụng trên Android và iOS.
Theo dõi chúng tôi miễn phí trên mạng xã hội facebook và youtube:Nếu thấy hay, hãy động viên và chia sẻ nhé! Các bình luận không phù hợp với nội quy bình luận trang web sẽ bị cấm bình luận vĩnh viễn.
Đã có app VietJack trên điện thoại, giải bài tập SGK, SBT Soạn văn, Văn mẫu, Thi online, Bài giảng....miễn phí. Tải ngay ứng dụng trên Android và iOS.
Theo dõi chúng tôi miễn phí trên mạng xã hội facebook và youtube:Loạt bài Giáo án Vật Lí lớp 10 chuẩn nhất của chúng tôi được biên soạn bám sát nội dung sgk Vật Lí 10 theo chuẩn Giáo án của Bộ GD & ĐT.
Nếu thấy hay, hãy động viên và chia sẻ nhé! Các bình luận không phù hợp với nội quy bình luận trang web sẽ bị cấm bình luận vĩnh viễn.
- Giáo án lớp 10 (các môn học)
- Giáo án điện tử lớp 10 (các môn học)
- Giáo án Ngữ văn 10
- Giáo án Toán 10
- Giáo án Tiếng Anh 10
- Giáo án Vật Lí 10
- Giáo án Hóa học 10
- Giáo án Sinh học 10
- Giáo án Lịch Sử 10
- Giáo án Địa Lí 10
- Giáo án Kinh tế Pháp luật 10
- Giáo án Tin học 10
- Giáo án Công nghệ 10
- Giáo án Giáo dục quốc phòng 10
- Giáo án Hoạt động trải nghiệm 10
- Đề thi lớp 10 (các môn học)
- Đề thi Ngữ Văn 10 (có đáp án)
- Chuyên đề Tiếng Việt lớp 10
- Đề cương ôn tập Văn 10
- Đề thi Toán 10 (có đáp án)
- Đề thi cương ôn tập Toán 10
- Đề thi Toán 10 cấu trúc mới (có đáp án)
- Đề thi Tiếng Anh 10 (có đáp án)
- Đề thi Vật Lí 10 (có đáp án)
- Đề thi Hóa học 10 (có đáp án)
- Đề thi Sinh học 10 (có đáp án)
- Đề thi Lịch Sử 10 (có đáp án)
- Đề thi Địa Lí 10 (có đáp án)
- Đề thi Kinh tế & Pháp luật 10 (có đáp án)
- Đề thi Tin học 10 (có đáp án)
- Đề thi Công nghệ 10 (có đáp án)
- Đề thi Giáo dục quốc phòng 10 (có đáp án)


Giải bài tập SGK & SBT
Tài liệu giáo viên
Sách
Khóa học
Thi online
Hỏi đáp

