Lý thuyết Hóa học 12 Chân trời sáng tạo Bài 7: Amino acid và peptide
Với tóm tắt lý thuyết Hóa 12 Bài 7: Amino acid và peptide sách Chân trời sáng tạo hay nhất, chi tiết sẽ giúp học sinh lớp 12 nắm vững kiến thức trọng tâm, ôn luyện để học tốt môn Hóa học 12.
Lý thuyết Hóa 12 Chân trời sáng tạo Bài 7: Amino acid và peptide
(199k) Xem Khóa học Hóa 12 CTST
A. AMINO ACID
I. KHÁI NIỆM, CẤU TRÚC VÀ TÊN GỌI
1. Khái niệm amino acid
- Amino acid là hợp chất hữu cơ tạp chức, trong phân tử chứa đồng thời nhóm carboxyl (-COOH) và nhóm amino (-NH2).
Ví dụ:
- Amino acid có thể được phân loại theo vị trí a, b, g, ... (tương ứng với vị trí 2, 3, 4, ...) của nhóm NH2. Đa số amino acid trong tự nhiên là a-amino acid.
Mở rộng: Protein trong cơ thể được tạo thành từ khoảng 20 amino acid (amino acid tiêu chuẩn), chúng được chia thành hai nhóm: thiết yếu (cơ thể không tự tổng hợp được, phải được cung cấp qua thức ăn) và không thiết yếu (cơ thể có thể tự tổng hợp được).
2. Đặc điểm cấu tạo và tên gọi của amino acid
- Glycine là amino acid đơn giản nhất. Một sốa - amino acid thường gặp:
- Amino acid thường được gọi bằng tên thông thường, như: glycine, alanine, valine,…
II. TÍNH CHẤT VẬT LÍ
- Amino acid tổn tại chủ yếu ở dạng ion lưỡng cực:
- Amino acid tổn tại ở dạng ion lưỡng cực nên có tính phân cực mạnh, thường dễ hoà tan trong nước, nhiệt độ nóng chảy cao.
- Ở điều kiện thường, amino acid là chất rắn, khi ở dạng kết tinh, chúng không màu.
III. CHẤT ĐIỆN DI
- Amino acid có khả năng di chuyển khác nhau trong điện trường tuỳ thuộc pH của môi trường (tính chất điện di).
- Ví dụ: Trong môi trường acid mạnh (pH khoảng 1-2), glycine tồn tại chủ yếu ở dạng cation, bị di chuyển về phía cực âm dưới tác dụng của điện trường. Ở pH khoảng 6, glycine tồn tại chủ yếu ở dạng ion lưỡng cực, không bị di chuyển trong điện trường. Ở pH lớn hơn 10, glycine chủ yếu tồn tại ở dạng anion, bị di chuyển về phía cực dương dưới tác dụng của điện trường.
IV. TÍNH CHẤT HOÁ HỌC
1. Tính chẩt riêng của các nhóm chức
a) Tính lưỡng tính
Trong dung dịch, amino acid phản ứng với base mạnh và acid mạnh. Ví dụ:
- Glycine phản ứng với dung dịch NaOH:
H2N-CH2-COOH + NaOH H2N-CH2-COONa + H2O
- Glycine phản ứng với dung dịch HCl.
H2N-CH2-COOH + HCl ClH3N-CH2-COOH
b) Phản ứng ester hoá
Khi có xúc tác acid mạnh, amino acid có phản ứng riêng của nhóm -COOH với alcohol. Ví dụ: Alanine phản ứng với ethyl alcohol khi có mặt HCl khan.
2. Tính chất chung của 2 nhóm chức
Ở điều kiện thích hợp, một số amino acid có thể tham gia phản ứng trùng ngưng, tạo thành polymer. Ví dụ:
B. PEPTIDE
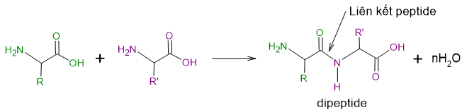
I. KHÁI NIỆM VÀ CẤU TẠO
- Peptide là hợp chất hữu cơ được hình thành từ các đơn vị a-amino acid liên kết với nhau qua liên kết peptide (-CO-NH-).
- Peptide được tạo thành từ 2, 3, 4,... đơn vị a-amino acid lần lượt được gọi là dipeptide, tripeptide, tetrapeptide, ... Peptide được tạo thành từ nhiều đơn vị a-amino acid được gọi là polypeptide
II. TÍNH CHẤT HOÁ HỌC
1. Phản ứng thuỷ phân
- Khi thuỷ phân hoàn toàn peptide bởi acid, base hoặc enzyme, tạo thành a -amino acid. - Khi thuỷ phân không hoàn toàn peptide có thể tạo thành các peptide nhỏ hơn.
Ví dụ thuỷ phân dipeptide Gly-Ala:
Peptide có từ 2 liên kết peptide trở lên phản ứng với Cu(OH)2 trong môi trường kiểm tạo thành phức chất màu tím đặc trứng, gọi là phản ứng màu biuret.
(199k) Xem Khóa học Hóa 12 CTST
Xem thêm tóm tắt lý thuyết Hóa học lớp 12 Chân trời sáng tạo hay khác:
Xem thêm các tài liệu học tốt lớp 12 hay khác:
- Giải sgk Hóa học 12 Chân trời sáng tạo
- Giải Chuyên đề học tập Hóa 12 Chân trời sáng tạo
- Giải SBT Hóa học 12 Chân trời sáng tạo
- Giải lớp 12 Chân trời sáng tạo (các môn học)
- Giải lớp 12 Kết nối tri thức (các môn học)
- Giải lớp 12 Cánh diều (các môn học)
Đã có app VietJack trên điện thoại, giải bài tập SGK, SBT Soạn văn, Văn mẫu, Thi online, Bài giảng....miễn phí. Tải ngay ứng dụng trên Android và iOS.
Theo dõi chúng tôi miễn phí trên mạng xã hội facebook và youtube:Nếu thấy hay, hãy động viên và chia sẻ nhé! Các bình luận không phù hợp với nội quy bình luận trang web sẽ bị cấm bình luận vĩnh viễn.
- Soạn văn 12 (hay nhất) - CTST
- Soạn văn 12 (ngắn nhất) - CTST
- Giải sgk Toán 12 - CTST
- Giải Tiếng Anh 12 Global Success
- Giải sgk Tiếng Anh 12 Smart World
- Giải sgk Tiếng Anh 12 Friends Global
- Giải sgk Vật Lí 12 - CTST
- Giải sgk Hóa học 12 - CTST
- Giải sgk Sinh học 12 - CTST
- Giải sgk Lịch Sử 12 - CTST
- Giải sgk Địa Lí 12 - CTST
- Giải sgk Giáo dục KTPL 12 - CTST
- Giải sgk Tin học 12 - CTST
- Giải sgk Hoạt động trải nghiệm 12 - CTST
- Giải sgk Âm nhạc 12 - CTST


Giải bài tập SGK & SBT
Tài liệu giáo viên
Sách
Khóa học
Thi online
Hỏi đáp

