3 dạng bài tập Tốc độ phản ứng trong đề thi Đại học (có lời giải)
Với 3 dạng bài tập Tốc độ phản ứng trong đề thi Đại học có lời giải chi tiết sẽ giúp học sinh ôn tập, biết cách làm dạng bài tập Tốc độ phản ứng trong đề thi Đại học.
3 dạng bài tập Tốc độ phản ứng trong đề thi Đại học (có lời giải)
Thi online Hóa 10 KNTTThi online Hóa 10 CDThi online Hóa 10 CTST
Dạng 1: Tốc độ phản ứng
Phương pháp giải
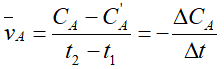
Xét phản ứng tổng quát: aA+ bB → cC + dD.
Thời điểm t1: CA CB CC CD
Thời điểm t2: C'A C'B C'C C'D
* Nồng độ phản ứng của A là ΔCA = Ca - C'A
Nồng độ tạo thành của C là ΔCC = C'C - CC
* Tốc độ trung bình tham gia phản ứng của A là :
(Dấu trừ biểu thị nồng độ giảm của chất tham gia phản ứng)
* Tốc độ trung bình của phản ứng :
* Ngoài ra vận tốc còn được biểu diễn theo công thức sau:
mA + nB → pC + qD
Biểu thức vận tốc: v = k [A]m[B]n
k: hằng số tỉ lệ (hằng số vận tốc).
[A], [B]: nồng độ mol của chất A và B
Dạng 1.1: Tính tốc độ phản ứng
Ví dụ minh họa
Ví dụ 1: Trong thí nghiệm oxi hoá formic acid xảy ra phản ứng sau:
Br2+ HCOOH → 2HBr + CO2
Lúc ban đầu Br2 là 0,0120 mol/l, sau 50 giây nồng độ là 0,0101 mol/l. Hãy xác định:
- Tốc độ trung bình tham gia phản ứng của Br2, HCOOH.
- Tốc độ trung bình tạo thành của HBr và CO2.
- Tốc độ trung bình của phản ứng.
Lời giải:
Xét phản ứng:
Br2 + HCOOH → 2HBr + CO2
t1 = 0: 0,0120 (M)
t2 = 50s: 0,0101 (M)
- Tốc độ trung bình tham gia phản ứng của Br2
- Tỉ lệ tham gia phản ứng của Br2 và HCOOH là 1: 1 nên tốc độ trung bình tham gia phản ứng của HCOOH là:
- Tỉ lệ trong phương trình của Br2 với HBr là 1: 2 nên tốc độc trung bình tạo thành của HBr là:
- Tỉ lệ trong phương trình của Br2 với CO2 là 1: 1 nên tốc độ trung bình tạo thành của CO2 là:
- Do hệ số cân bằng của Br2 là 1 nên:
Ví dụ 2: Cho phản ứng hóa học: A + B → C
Nồng độ ban đầu của A là 1 mol/l, của B là 0,8 mol/l. Sau 10 phút, nồng độ của B chỉ còn 20% nồng độ ban đầu. Tốc độ trung bình của phản ứng là
A. 0,16 mol/l.phút
B. 0,016 mol/l/phút
C. 1,6 mol/l.phút
D. 0,064 mol/l.phút
Lời giải:
CB sau = 0,8.20% = 0,16 (mol/l)
Vì hệ số của B là 1
⇒ Đáp án D
Dạng 1.2: Xác định nồng độ chất ban đầu hoặc sản phẩm
Ví dụ minh họa
Ví dụ 1: Người ta cho N2 và H2 vào trong bình kín dung tích không đổi và thực hiện phản ứng :
N2 (k) + 3H2 (k) ↔ 2NH3 (k)
Sau một thời gian, nồng độ các chất trong bình như sau: [N2] = 2M; [H2] = 3M; [NH3] = 2M. Nồng độ mol/l của N2 và H2 ban đầu lần lượt là :
A. 3 và 6. B. 2 và 3.
C. 4 và 8. D. 2 và 4.
Lời giải:
Do ban đầu chỉ có N2, H2 nên lượng NH3 trong hỗn hợp sau là sản phẩm được sinh ra trong phản ứng N2 và H2 → từ nồng độ của NH3 xác định được nồng độ phản ứng của H2 và N2.
N2 (k) + 3H2 (k) ↔ 2NH3 (k)
Bđ (C0): x y
Pư: 1M ← 3M ← 2M
Cb: 2M 3M 2M
Ta có: C0N2 = CCB + Cpư ⇒ x = 2 + 1 = 3(M)
C0 H2 = CCB + Cpư = 3 + 3 = 6 (M)
⇒ Đáp án A
Ví dụ 2: Trong công nghiệp người ta điều chế NH3 theo phương trình hoá học:
N2 (k) + 3H2 (k) ↔ 2NH3 (k)
Khi tăng nồng độ H2 lên hai lần (giữ nguyên nồng độ của N2 và nhiệt độ phản ứng) thì tốc độ phản ứng tăng lên bao nhiêu lần?
A. 2 lần B. 4 lần
C. 8 lần D. 16lần
Lời giải:
Giả sử ban đầu [N2] = aM. [H2] = bM
Tốc độ phản ứng ban đầu: v1 = k[N2][H2]3 = k.a.b3
Tốc độ phản ứng lúc sau: v2 = k[N2][H2]3 = k.a.(2b)3 = 8 k.a.b3
⇒v2 = 8 v1.
⇒ Đáp án C
Dạng 1.3: Mối liên hện giữa diện tích tiếp xúc và tốc độ phản ứng
Ví dụ minh họa
Ví dụ 1: Nếu chia một mẩu đá vôi hình cầu có thể tích 10,00 cm3 thành tám mẩu đá vôi hình cầu thể tích bằng 1,25 cm3 thì tổng điện tích mặt cầu tăng bao nhiêu lần:
A. 2 lần B. 4 lần
C. 8 lần D. 16lần
Lời giải:
- Các mẩu đá vôi là hình cầu nên :
Diện tích bề mặt tiếp xúc là:
Thể tích là :
- Mẩu đá vôi ban đầu có:
Mẩu đá vôi sau khi chia nhỏ có:
- Tỉ lệ diện tích bề mặt sau khi chia thành 8 mẩu đá vôi là:
⇒ Diện tích bề mặt tăng 2 lần
⇒ Đáp án A
Thi online Hóa 10 KNTTThi online Hóa 10 CDThi online Hóa 10 CTST
Xem thêm các dạng bài tập Hóa học lớp 10 có trong đề thi Tốt nghiệp THPT khác:
- 7 dạng bài tập Halogen trong đề thi Đại học (có lời giải)
- 11 dạng bài tập Oxi, Lưu huỳnh trong đề thi Đại học (có lời giải)
- 4 dạng bài tập Nguyên tử Hóa 10 trong đề thi Đại học (có lời giải)
- 6 dạng bài tập Bảng tuần hoàn trong đề thi Đại học (có lời giải)
- 4 dạng bài tập Phản ứng oxi hóa khử trong đề thi Đại học (có lời giải)
- Phương pháp Tính nồng độ các chất ở trạng thái cân bằng cực hay
- 6 dạng bài tập Bảng tuần hoàn trong đề thi Đại học (có lời giải)
Để học tốt lớp 10 các môn học sách mới:
- Giải bài tập Lớp 10 Kết nối tri thức
- Giải bài tập Lớp 10 Chân trời sáng tạo
- Giải bài tập Lớp 10 Cánh diều
Tủ sách VIETJACK shopee lớp 10-11 (cả 3 bộ sách):
Đã có app VietJack trên điện thoại, giải bài tập SGK, SBT Soạn văn, Văn mẫu, Thi online, Bài giảng....miễn phí. Tải ngay ứng dụng trên Android và iOS.
Theo dõi chúng tôi miễn phí trên mạng xã hội facebook và youtube:Nếu thấy hay, hãy động viên và chia sẻ nhé! Các bình luận không phù hợp với nội quy bình luận trang web sẽ bị cấm bình luận vĩnh viễn.
- Giải Tiếng Anh 10 Global Success
- Giải Tiếng Anh 10 Friends Global
- Giải sgk Tiếng Anh 10 iLearn Smart World
- Giải sgk Tiếng Anh 10 Explore New Worlds
- Lớp 10 - Kết nối tri thức
- Soạn văn 10 (hay nhất) - KNTT
- Soạn văn 10 (ngắn nhất) - KNTT
- Soạn văn 10 (siêu ngắn) - KNTT
- Giải sgk Toán 10 - KNTT
- Giải sgk Vật lí 10 - KNTT
- Giải sgk Hóa học 10 - KNTT
- Giải sgk Sinh học 10 - KNTT
- Giải sgk Địa lí 10 - KNTT
- Giải sgk Lịch sử 10 - KNTT
- Giải sgk Kinh tế và Pháp luật 10 - KNTT
- Giải sgk Tin học 10 - KNTT
- Giải sgk Công nghệ 10 - KNTT
- Giải sgk Hoạt động trải nghiệm 10 - KNTT
- Giải sgk Giáo dục quốc phòng 10 - KNTT
- Lớp 10 - Chân trời sáng tạo
- Soạn văn 10 (hay nhất) - CTST
- Soạn văn 10 (ngắn nhất) - CTST
- Soạn văn 10 (siêu ngắn) - CTST
- Giải Toán 10 - CTST
- Giải sgk Vật lí 10 - CTST
- Giải sgk Hóa học 10 - CTST
- Giải sgk Sinh học 10 - CTST
- Giải sgk Địa lí 10 - CTST
- Giải sgk Lịch sử 10 - CTST
- Giải sgk Kinh tế và Pháp luật 10 - CTST
- Giải sgk Hoạt động trải nghiệm 10 - CTST
- Lớp 10 - Cánh diều
- Soạn văn 10 (hay nhất) - Cánh diều
- Soạn văn 10 (ngắn nhất) - Cánh diều
- Soạn văn 10 (siêu ngắn) - Cánh diều
- Giải sgk Toán 10 - Cánh diều
- Giải sgk Vật lí 10 - Cánh diều
- Giải sgk Hóa học 10 - Cánh diều
- Giải sgk Sinh học 10 - Cánh diều
- Giải sgk Địa lí 10 - Cánh diều
- Giải sgk Lịch sử 10 - Cánh diều
- Giải sgk Kinh tế và Pháp luật 10 - Cánh diều
- Giải sgk Tin học 10 - Cánh diều
- Giải sgk Công nghệ 10 - Cánh diều
- Giải sgk Hoạt động trải nghiệm 10 - Cánh diều
- Giải sgk Giáo dục quốc phòng 10 - Cánh diều


Giải bài tập SGK & SBT
Tài liệu giáo viên
Sách
Khóa học
Thi online
Hỏi đáp

