125 câu trắc nghiệm Dẫn xuất Halogen, Ancol, Phenol có lời giải (nâng cao - phần 2)
Với 125 câu trắc nghiệm Dẫn xuất Halogen, Ancol, Phenol (nâng cao - phần 2) có lời giải chi tiết sẽ giúp học sinh ôn tập, biết cách làm câu trắc nghiệm Dẫn xuất Halogen, Ancol, Phenol (nâng cao - phần 2).
125 câu trắc nghiệm Dẫn xuất Halogen, Ancol, Phenol có lời giải (nâng cao - phần 2)
Thi online Hóa 11 KNTTThi online Hóa 11 CDThi online Hóa 11 CTST
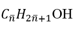
Bài 1: Đốt cháy hoàn toàn hỗn hợp M gồm hai rượu (ancol) X và Y là đồng đẳng kế tiếp của nhau, thu được 0,3 mol CO2 và 0,425 mol H2O. Mặt khác, cho 0,25 mol hỗn hợp M tác dụng với Na (dư), thu được chưa đến 0,15 mol H2. Công thức phân tử của X, Y là:
A. C2H6O2 và C3H8O2
B. C2H6O và CH4O
C. C3H6O và C4H8O
D. C2H6O và C3H8O
Lời giải:
Đáp án D
Hướng dẫn
Hỗn hợp 2 ancol X, Y O2→ nH2O = 0,425 mol > nCO2 = 0,3 mol
=> hỗn hợp 2 ancol X, Y là ancol no.
Gọi công thức chung cho hỗn hợp 2 ancol X, Y là:
=> 0,3 (n ̅ + 1) = 0,425n ̅ => n ̅ = 2,4.
Mặt khác ta có:
=> 0,125a < 0,15 => a < 1,2 mà nguyên => a = 1.
Vậy CTPT của 2 ancol là C2H6O và C3H8O
Bài 2: Cho m gam tinh bột lên men thành C2H5OH với hiệu suất 81%, hấp thụ hết lượng CO2 sinh ra vào dung dịch Ca(OH)2 được 55 gam kết tủa và dung dịch X. Đun nóng dung dịch X lại có 10 gam kết tủa nữa. Giá trị m là
A. 75 gam. B. 125 gam. C. 150 gam. D. 225 gam.
Lời giải:
Đáp án C
Hướng dẫn C6H12O6 lên men→ 2CO2 + 2C2H5OH
Ca(OH)2 + CO2 → CaCO3 + 2H2O
nCaCO3 = 0,55 mol ; nCa(HCO3)2 = 0,1 mol => nCO2 = 0,75 mol
=> ntinh bột = 0,75.100/81 = 0,925 mol => m = 0,925.162 = 150 g
Bài 3: Khi đốt cháy một hợp chất hữu cơ đơn chức X mạch hở thu được CO2 và H2O với số mol bằng nhau và số mol oxi tiêu tốn gấp 4 lần số mol của X. Biết X làm mất màu dung dịch brom và khi cộng hợp H2 thì tạo ra ancol đơn chức. Vậy X là:
A. CH2 = CH – CH2OH
B. CH3 – CH = CH - CHO
C. CH2 = CH – CH2 – CH2OH
D. CH3 – CH = CH – CH2OH
Lời giải:
Đáp án A
Hướng dẫn Do số mol CO2 = Số mol H2O => trong X có 1 liên kết π => X có công thức tổng quát là CnH2nOz. Phương trình phản ứng cháy:
CnH2nOz + (3n-z)/2 O2 → nCO2 + nH2O
Số mol O2: (3n-z)/2 = 4 => 3n – z = 8
Do X đơn chức nên z = 1 hoặc z = 2.
Khi z =1 => n = 3.
Khi z = 2 => n = 3,33 (loại)
Vậy X chỉ có thể là CH2 = CH – CH2OH
Bài 4: Đốt cháy hoàn toàn a gam C2H5OH thu được 0,2 mol CO2. Đốt cháy hoàn toàn b gam CH3COOH thu được 0,2 mol CO2. Cho a gam C2H5OH tác dụng với b gam CH3COOH có xúc tác là H2SO4 đặc và đun nóng ( giả sử hiệu suất phản ứng là 100%) thì thu được số gam ete là
A. 8,8 gam . B. 17,6 gam
C. 4,4 gam. D. 13,2 gam.
Lời giải:
Đáp án A
Hướng dẫn
nC2H5OH = 1/2 nCO2 = 0,1 mol; nCH3COOH = 0,1 mol
CH3COOH + C2H5OH → CH3COOC2H5 + H2O
mester = 0,1.88 = 8,8 (gam)
Bài 5: Đun nóng 1,91 gam hỗn hợp X gồm C3H7Cl và C6H5Cl với dung dịch NaOH loãng vừa đủ, sau đó thêm tiếp dung dịch AgNO3 đến dư vào hỗn hợp sau phản ứng, thu được 1,435 gam kết tủa. Khối lượng C6H5Cl trong hỗn hợp đầu là :
A. 1,125 gam. B. 1,570 gam.
C. 0,875 gam. D. 2,250 gam.
Lời giải:
Đáp án A
Hướng dẫn Căn cứ vào các tính chất của các halogen ta thấy chỉ có C3H7Cl phản ứng được với dung dịch NaOH đun nóng.
Phương trình phản ứng :
C3H7Cl + NaOH → C3H7OH + NaCl (1)
mol: x → x
AgNO3 + NaCl → AgCl + NaNO3 (2)
mol: x → x
Theo (1), (2) và giả thiết ta có :
nC3H7Cl = nNaCl = nAgCl = 1,435/143,4 = 0,01 mol
=> mC6H5Cl = 1,91 - 0,01.78,5 = 1,125 gam
Bài 6: Đốt cháy hoàn toàn m gam hỗn hợp X gồm ba ancol (đơn chức, thuộc cùng dãy đồng đẳng), thu được 8,96 lít khí CO2 (đktc) và 11,7 gam H2O. Mặt khác, nếu đun nóng m gam X với H2SO4 đặc thì tổng khối lượng ete tối đa thu được là
A. 6,59 gam B. 7,85 gam C. 7,40 gam D. 5,60 gam.
Lời giải:
Đáp án B
Hướng dẫn
nCO2 = 0,4 mol; nH2O = 0,65 mol
=> nancol = 0,25 mol
=> mete = 0,4.12 + 0,65.2 + 0,25.16 - 0,25/2 .18 = 7,85 (gam)
Bài 7: Đốt cháy hoàn toàn 24,8 gam hỗn hợp gồm methyl alcohol, ethyl alcohol, propyl alcohol cần hết V lít O2 (đktc) thu được 2,6 mol hỗn hợp CO2 và H2O. Vậy giá trị của V là
A. 57,36. B. 35,84. C. 33.60. D. 44,80.
Lời giải:
Đáp án C
Hướng dẫn
CnH2n+1OH + O2 to→ nCO2 + (n+1)H2O
nCO2 = x mol; nH2O = y mol; nancol = z mol;
Ta có : x + y = 2,6 (1);
12x + 2y + 16z = 24,8 (2)
y – x = z (3)
Từ (1), (2), (3) => x = 1, y = 1,6, z = 0,6
=> V = 33,6 lít
Bài 8: Người ta sản xuất ethyl alcohol từ tinh bột. Từ 1 tấn sắn chứa 70% tinh bột thì khối lượng ancol thu được là bao nhiêu (biết rằng hao hụt trong quá trình sản xuất là 15%)?
A. 337,9 kg
B. 347,5 kg
C. 339,9 kg
D. kết quả khác
Lời giải:
Đáp án A
Hướng dẫn Ta có sơ đồ: (C6H10O5)n → 2nC2H5OH
m(C6H10O5)n = 1000 x 70% = 700 kg.
Theo phương trình:
Mà hao hụt 15% → mC2H5OH = 398 x 85% = 337,9 kg
Bài 9: Sục hỗn hợp gồm 2 alkene là đồng đẳng kế tiếp nhau vào nước có sẵn H2SO4 loãng thu được hỗn hợp các ancol. Đem toàn bộ lượng ancol thu được đem đốt cháy thu được CO2 và nước theo tỉ lệ 5:7 về số mol. Vậy 2 alkene đã đem đốt là:
A. C2H4 và C3H6
B. C2H4 và C2H6
C. C3H6 và C4H8
D. C4H8 và C5H10.
Lời giải:
Đáp án A
Hướng dẫn Sục 2 alkene vào nước ta thu được hỗn hợp các ancol
=> 2 ancol là C2H5OH và C3H7OH => 2 alkene là C2H4 và C3H6.
Bài 10: Thực hiện phản ứng lên men m gam glucose thu được 750 ml rượu 10º. Biết khối lượng riêng của rượu là: 0,7907 g/ml và hiệu suất phản ứng lên men rượu là 60%. Giá trị m là:
A. 193,5
B. 139,21
C. 210
D. 186,48
Lời giải:
Đáp án A
Hướng dẫn C6H12O6 30-35oC→ 2C2H5OH + 2CO2
VC2H5OH nguyên chất = 750 x 10% = 75 ml → mC2H5OH = 75 x 0,7907 = 59,3025 gam.
→ nC2H5OH = 59,3025 : 46 = 1,289 mol
→ nC6H12O6 = 0,645 mol → mC6H12O6 = 0,645 x 180 = 116,1 gam.
Mà H = 60% → m = 116,1 : 60% = 193,5 gam
Bài 11: Lên men hoàn toàn m gam glucose thành ethyl alcohol. Toàn bộ khí CO2 sinh ra trong quá trình này được hấp thụ hết vào dung dịch Ca(OH)2 dư tạo ra 40 gam kết tủa. Nếu hiệu suất của quá trình lên men là 75% thì giá trị của m là
A. 60. B. 58. C. 30. D. 48.
Lời giải:
Đáp án D
Hướng dẫn
C6H12O6 lên men→ 2CO2 + 2C2H5OH
Ca(OH)2 + CO2 → CaCO3 + 2H2O
nCO2 = nCaCO3 = 0,4 mol
=> nglucose = 0,4.100/75.2 = 4/15 mol
=> m = (4/15).180 = 48 g.
Bài 12: Cho 1 ancol mạch hở Z (trong đó có số nguyên tử oxi bằng số nguyên tử cacbon) phản ứng hoàn toàn với 2,3 gam Na thu được 4,97 gam chất rắn và 1,008 lít H2 (đktc). Vậy Z là
A. C2H6O2. B. C3H8O3. C. C4H10O4. D. C5H10O5.
Lời giải:
Đáp án B
Hướng dẫn mancol = 4,97 + 0,09 – 2,3 = 2,76 g; nancol = nH2 = n.0,09 mol
=> M = 92/3n = 14n + 16n + 2 => n = 3 => C3H8O3
Bài 13: Oxi hoá 9,2 gam ethyl alcohol bằng CuO đun nóng thu được 13,2 gam hỗn hợp gồm anđehit, axit, ancol dư và nước. Hỗn hợp này tác dụng với Na sinh ra 3,36 lít H2 (ở đktc). Phần trăm ancol bị oxi hoá là :
A. 25%. B. 50%. C. 75%. D. 90%.
Lời giải:
Đáp án C
Hướng dẫn
Theo giả thiết ta có :
Phương trình phản ứng :
CH3CH2OH + CuO CH3CHO + H2O + Cu (1)
mol: x
CH3CH2OH + 2CuO CH3COOH + H2O + Cu (2)
mol: y
2CH3CH2OH + 2Na 2CH3CH2ONa + H2 (3)
mol: z 0,5z
2CH3COOH + 2Na 2CH3COOH + H2 (4)
mol: y 0,5y
2H2O + 2Na 2NaOH + H2 (5)
mol: (x + y) 0,5(x+y)
Theo các phương trình phản ứng và giả thiết ta có :
Vậy phần trăm khối lượng ancol bị oxi hóa là :
Bài 14: Khi phân tích một hợp chất hữu cơ chứa C, H, O thì có mC + mH = 3,5mO. Vậy công thức đơn giản nhất của A là:
A. C4H8O B. C3H6O C. CH2O D. C2H3O
Lời giải:
Đáp án A
Hướng dẫn Đặt công thức của A là CxHyOz.
Ta có : 12x + y = 3,5.16z.
Khi z = 1 → 12x + y = 56 => x = 4, y = 8 => A là C4H8O.
Khi z = 2 → 12x + y = 112 => x = 8, y = 16 => A là C8H16O2.
Vậy công thức đơn giản là C4H8O.
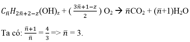
Bài 15: Đốt cháy hoàn toàn 05 mol ancol no X mạch hở cần 5,6 gam oxi và tạo ra 6,6 gam CO2. Vậy công thức cấu tạo của X là:
A. C2H5OH B. C3H7OH C. C2H4(OH)2 D. C3H5(OH)3
Lời giải:
Đáp án D
Hướng dẫn Gọi công thức của rượu là CnH2n+2-z(OH)z
Phương trình phản ứng cháy:
CnH2n+2-z(OH)z + ( (3n+1-z)/2 ) O2 → nCO2 + (n+1)H2O
0,05 0,05 ( (3n+1-z)/2 ) 0,05n
Ta có: 0,05n = 0,15 => n =3
Mặt khác: ( (3n+1-z)/2 ) = 0,175 : 0,05 = 3,5
Thay giá trị n = 3 vào ta được z = 3 => C3H5(OH)3
Bài 16: Đề hydrat hóa 6 gam một rượu thì thu được 1,68 lít alkene với hiệu suất phản ứng là 75%. Công thức tổng quát của rượu đó là
A.C2H5OH B.C3H7OH
C.CH3OH D.C4H9OH
Lời giải:
Đáp án B
Hướng dẫn
nalkene = 1,68/22,4 = 0,075 mol
=> nancol = 0,075.100/75 = 0,1 mol
=> Mrượu = 60 => n = 3 => C3H7OH
Bài 17: Cho Na dư vào V (ml) cồn etylic 46o (khối lượng riêng của ethyl alcohol nguyên chất là 0,8 g/ml; của nước là 1 g/ml) thu được 42,56 lít H2 (đktc). Giá trị của V là
A. 475 ml
B. 200 ml
C. 100 ml
D. 237,5 ml
Lời giải:
Đáp án C
Hướng dẫn
V ml cồn etylic 46o có chứa 0,46V ml rượu và 0,54V ml nước
→ nC2H5OH = 0,46V.0,8/46 = 0,008V mol , nH2O = 0,54V/18 = 0,03V mol
Khi tham gia phản ứng với Na → 2nH2 = nC2H5OH + nH2O
→ 2. 1,9 = 0,008V + 0,03V → V = 100 ml
Bài 18: Đốt cháy hoàn toàn m gam hỗn hợp X gồm 0,1 mol ethylene glycol và 0,2 mol ancol M thu được 35,2 gam CO2 và 19,8 gam H2O. Mặt khác cho m gam X phản ứng hoàn toàn với Na dư thu được 0,3 mol H2. Vậy ancol M là :
A. C3H8O. B. C3H8O2. C. C3H8O3. D. C4H10O2.
Lời giải:
Đáp án B
Hướng dẫn
CnH2n+1OH + 3n/2 O2 → nCO2 + (n+1)H2O
CT của M là: CnH2n+2Oa ; nCO2 = 35,2/44 = 0,8 mol ; nH2O = 19,8/18 = 1,1 mol
=> nCO2(M) = 0,8 – 0,2 = 0,6 mol => n = 3.
X tác dụng Na thu được 0,3 mol H2 => M là ancol 2 chức
=> C3H8O2.
Bài 19: Đốt cháy hỗn hợp 2 ancol no đồng đẳng có số mol bằng nhau, ta thu được khí CO2 và hơi nước có tỉ lệ số mol nCO2 : nH2O = 3 : 4 . Vậy công thức phân tử của 2 ancol là:
A. C2H5OH và C3H7OH
B. C2H4(OH)2 và C4H8(OH)2
C. C2H4(OH)2 và C3H6(OH)2
D. C3H5(OH)3 và C2H4(OH)2.
Lời giải:
Đáp án B
Hướng dẫn Do nCO2 : nH2O = 3 : 4 nên 2 rượu no.
Gọi công thức tổng quát của 2 rượu là:
Vậy phải có 1 rượu có n = 2 và do có số mol bằng nhau nên rượu còn lại có n = 4. => Đ/ a B
Bài 20: Cho Na tác dụng với ethanol dư sau đó chưng cất đuổi hết ethanol dư rồi đổ nước vào, cho thêm vài giọt quỳ tím thì thấy dung dịch
A. có màu xanh . B. có màu đỏ
C. có màu hồng. D. có màu tím .
Lời giải:
Đáp án A
Hướng dẫn Phản ứng của ethanol với natri:
CH3CH2OH (dư) + Na (hết) → CH3CH2ONa + 1/2 H2
Sau khi chưng cất đuổi ethanol, còn lại CH3CH2ONa, thêm nước vào có phản ứng
CH3CH2ONa + H2O → CH3CH2OH + NaOH
Dung dịch sẽ có màu xanh
Bài 21: Thể tích ethyl alcohol 92o cần dùng là bao nhiêu để điều chế được 2,24 lít C2H4 (đktc). Cho biết hiệu suất phản ứng đạt 62,5% và d = 0,8 g/ml.
A. 8 ml.
B. 10 ml.
C. 12,5ml.
D. 3,9 ml.
Lời giải:
Đáp án B
Hướng dẫn CH3CH2OH H2SO4, 170oC→ CH2=CH2 + H2O
Theo phương trình: nC2H5OH = 0,1 mol.
Mà H = 62,5% → nC2H5OH = 0,1 : 62,5% = 0,16 mol.
→ mC2H5OH = 0,16 x 46 = 7,36 gam → VC2H5OH = 7,36 : 0,8 = 9,2 ml.
Ta có rượu 92o → Vrượu = 9,2 : 92% = 10 ml
Bài 22: Đun nóng một ancol đơn chức X với dung dịch H2SO4 đặc trong điều kiện nhiệt đọ thích hợp sinh ra chất hữu cơ Y, tỉ khối hơi của X so với Y là 1,6428. Công thức phân tử của X là
A.C4H8O B. C3H8O
C. C2H6O D. CH4O.
Lời giải:
Đáp án C
Hướng dẫn MX > MY → Y là alkene
CnH2n+1OH → CnH2n + H2O
=> n = 2
Bài 23: Cho phản ứng sau:
p-BrC6H4CH2Br NaOH dd→ A + NaBr
Vậy A có thể là:
A. p-BrC6H4CH2OH
B. p-HOC6H4CH2Br
C. p-HOC6H4CH2OH
D. C6H5CH2OH
Lời giải:
Đáp án A
Hướng dẫn
Khi dùng dung dịch NaOH thì phản ứng thế chỉ xảy ra ở nhánh.
Bài 24: Cho 0,8 mol hỗn hợp A gồm 3 ancol có công thức phân tử lần lượt là C2H6O2, C3H8O2 và C5H12O2 phản ứng vừa đủ với Na, phản ứng xong thu được V lít H2 (đktc). Vậy giá trị của V là
A. 4,48. B. 8,96. C. 17,92. D. 35,84.
Lời giải:
Đáp án C
Hướng dẫn
R(OH)2 + 2Na R(ONa)2 + H2
nH2 = nancol = 0,8 => V = 0,8.22,4 = 17,92 lít
Bài 25: Cho các chất sau: phenol, ethanol, acetic acid, natri phenolat, sodium hydroxide. Số cặp tác dụng được với nhau là:
A. 3 B. 4 C. 1 D. 2
Lời giải:
Đáp án B
Hướng dẫn Các phản ứng xảy ra như sau:
C6H5OH + NaOH → C6H5ONa + H2O
CH3COOH + C2H5OH → CH3COOC2H5 + H2O
CH3COOH + NaOH → CH3COONa + H2O
CH3COOH + C6H5ONa → CH3COONa + C6H5OH
Bài 26: Cho các chất sau : ethanol, glycerol, ethylene glycol. Chất không hòa tan được Cu(OH)2 ở nhiệt độ phòng là:
A. ethylene glycol. B. glycerol
C. ethanol. D. ethanol và ethylene glycol.
Lời giải:
Đáp án C
Bài 27: Một loại gạo chứa 75% tinh bột. Lấy 78,28 kg gạo này đi nấu ethylic alcohol 400, hiệu suất phản ứng của cả quá trình là 60%. Khối lượng riêng của ethylic alcohol là 0,8 g/ml. Thể tích rượu 400 thu được là:
A. 60(lít)
B. 52,4(lít)
C. 62,5(lít)
D. 45(lít)
Lời giải:
Đáp án C
Hướng dẫn
Ta có sơ đồ phản ứng: (C6H10O5)n → 2nC2H5OH
mtinh bột = 78,28 x 75% = 58,71 kg.
Theo phương trình:
Mà H = 60% → mC2H5OH = 33,34 x 60% = 20,004 kg → VC2H5OH = 20,004 : 0,8 = 25,005 lít.
Ta có rượu 40o → Vrượu = 25,005 : 40% = 62,5125 lít
Bài 28: Rượu no đơn chức X mạch hở có tỉ khối với H2 là 37. Cho X tác dụng với H2SO4 đặc nung nóng ở 180oC. Thu dược 1 alkene mạch thẳng duy nhất. X là
A. ethanol B.2-methyl propanol-2
C.Propan -1-ol D.Butan-1-ol
Lời giải:
Đáp án D
Hướng dẫn MX = 37.2 = 74 => n = 4 => CTPT X là C4H9OH; X mạch thẳng
Bài 29: Cho m gam một ancol no, đơn chức qua bình đựng CuO dư, nung nóng. Sau khi phản ứng xảy ra hoàn toàn, khối lượng chất rắn trong bình giảm 0,32 gam. Hỗn hợp thu được có tỉ khối đối với hidro là 15,5. Giá trị của m là:
A. 0,92 B. 0,32 C. 0,62 D. 0,46
Lời giải:
Đáp án A
Hướng dẫn
Phương trình phản ứng:
CnH2n+1CH2OH + CuO → CnH2n+1CHO + Cu + H2O
0,02 0,02 0,02
Khối lượng chất rắn giảm = mO phản ứng
=> nO = nCuO = 0,32 : 16 = 0,02 mol
Do phản ứng xảy ra hoàn toàn nên ancol hết, sản phẩm chỉ có andehit và hơi nước.
Ta có: ((14n+30).0,02+18.0,02)/0,04 = 15,5.2 => n = 1
=> m = 0,02.46 = 0,92 gam.
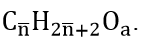
Bài 30: Cho Na tác dụng vừa đủ với 1,24 gam hỗn hợp 3 ancol đơn chức X, Y, Z thấy thoát ra 0,336 lít khí H2 (đkc). Khối lượng muối natri ancolat thu được là :
A. 2,4 gam. B. 1,9 gam. C. 2,85 gam. D. 3,8 gam.
Lời giải:
Đáp án B
Hướng dẫn
Số mol khí H2 = 0,336/22,4 = 0,015 mol
Đặt công thức phân tử trung bình của ba ancol là
Phương trình phản ứng :
mol: 0,03 0,015
Thi online Hóa 11 KNTTThi online Hóa 11 CDThi online Hóa 11 CTST
Xem thêm các dạng bài tập Hóa học lớp 11 có trong đề thi Tốt nghiệp THPT khác:
- 125 câu trắc nghiệm Dẫn xuất Halogen, Ancol, Phenol có lời giải (cơ bản - phần 1)
- 125 câu trắc nghiệm Dẫn xuất Halogen, Ancol, Phenol có lời giải (cơ bản - phần 2)
- 125 câu trắc nghiệm Dẫn xuất Halogen, Ancol, Phenol có lời giải (cơ bản - phần 3)
- 125 câu trắc nghiệm Dẫn xuất Halogen, Ancol, Phenol có lời giải (cơ bản - phần 4)
- 125 câu trắc nghiệm Dẫn xuất Halogen, Ancol, Phenol có lời giải (nâng cao - phần 1)
- 125 câu trắc nghiệm Dẫn xuất Halogen, Ancol, Phenol có lời giải (nâng cao - phần 3)
- 125 câu trắc nghiệm Dẫn xuất Halogen, Ancol, Phenol có lời giải (nâng cao - phần 4)
Tủ sách VIETJACK shopee lớp 10-11 (cả 3 bộ sách):
Đã có app VietJack trên điện thoại, giải bài tập SGK, SBT Soạn văn, Văn mẫu, Thi online, Bài giảng....miễn phí. Tải ngay ứng dụng trên Android và iOS.
Theo dõi chúng tôi miễn phí trên mạng xã hội facebook và youtube:Nếu thấy hay, hãy động viên và chia sẻ nhé! Các bình luận không phù hợp với nội quy bình luận trang web sẽ bị cấm bình luận vĩnh viễn.
- Giải Tiếng Anh 11 Global Success
- Giải sgk Tiếng Anh 11 Smart World
- Giải sgk Tiếng Anh 11 Friends Global
- Lớp 11 - Kết nối tri thức
- Soạn văn 11 (hay nhất) - KNTT
- Soạn văn 11 (ngắn nhất) - KNTT
- Giải sgk Toán 11 - KNTT
- Giải sgk Vật Lí 11 - KNTT
- Giải sgk Hóa học 11 - KNTT
- Giải sgk Sinh học 11 - KNTT
- Giải sgk Lịch Sử 11 - KNTT
- Giải sgk Địa Lí 11 - KNTT
- Giải sgk Giáo dục KTPL 11 - KNTT
- Giải sgk Tin học 11 - KNTT
- Giải sgk Công nghệ 11 - KNTT
- Giải sgk Hoạt động trải nghiệm 11 - KNTT
- Giải sgk Giáo dục quốc phòng 11 - KNTT
- Giải sgk Âm nhạc 11 - KNTT
- Lớp 11 - Chân trời sáng tạo
- Soạn văn 11 (hay nhất) - CTST
- Soạn văn 11 (ngắn nhất) - CTST
- Giải sgk Toán 11 - CTST
- Giải sgk Vật Lí 11 - CTST
- Giải sgk Hóa học 11 - CTST
- Giải sgk Sinh học 11 - CTST
- Giải sgk Lịch Sử 11 - CTST
- Giải sgk Địa Lí 11 - CTST
- Giải sgk Giáo dục KTPL 11 - CTST
- Giải sgk Hoạt động trải nghiệm 11 - CTST
- Giải sgk Âm nhạc 11 - CTST
- Lớp 11 - Cánh diều
- Soạn văn 11 Cánh diều (hay nhất)
- Soạn văn 11 Cánh diều (ngắn nhất)
- Giải sgk Toán 11 - Cánh diều
- Giải sgk Vật Lí 11 - Cánh diều
- Giải sgk Hóa học 11 - Cánh diều
- Giải sgk Sinh học 11 - Cánh diều
- Giải sgk Lịch Sử 11 - Cánh diều
- Giải sgk Địa Lí 11 - Cánh diều
- Giải sgk Giáo dục KTPL 11 - Cánh diều
- Giải sgk Tin học 11 - Cánh diều
- Giải sgk Công nghệ 11 - Cánh diều
- Giải sgk Hoạt động trải nghiệm 11 - Cánh diều
- Giải sgk Giáo dục quốc phòng 11 - Cánh diều
- Giải sgk Âm nhạc 11 - Cánh diều


Giải bài tập SGK & SBT
Tài liệu giáo viên
Sách
Khóa học
Thi online
Hỏi đáp

