125 câu trắc nghiệm Dẫn xuất Halogen, Ancol, Phenol có lời giải (nâng cao - phần 1)
Với 125 câu trắc nghiệm Dẫn xuất Halogen, Ancol, Phenol (nâng cao - phần 1) có lời giải chi tiết sẽ giúp học sinh ôn tập, biết cách làm câu trắc nghiệm Dẫn xuất Halogen, Ancol, Phenol (nâng cao - phần 1).
125 câu trắc nghiệm Dẫn xuất Halogen, Ancol, Phenol có lời giải (nâng cao - phần 1)
Thi online Hóa 11 KNTTThi online Hóa 11 CDThi online Hóa 11 CTST
Bài 1: Đun nóng 27,40 gam CH3CHBrCH2CH3 với KOH dư trong C2H5OH, sau khi phản ứng xảy ra hoàn toàn thu được hỗn hợp khí X gồm hai olefin trong đó sản phẩm chính chiếm 80%, sản phẩm phụ chiếm 20%. Đốt cháy hoàn toàn X thu được bao nhiêu lít CO2 (đktc)? Biết các phản ứng xảy ra với hiệu suất phản ứng là 100%.
A. 4,48 lít. B. 8,96 lít. C. 11,20 lít. D. 17,92 lít.
Lời giải:
Đáp án D
Hướng dẫn Khi đun nóng CH3CHBrCH2CH3 với KOH dư trong C2H5OH thì thu được hai sản phẩm hữu cơ là but-1-en và but-2-en.
Phương trình phản ứng :
C4H8 + 6O2 to→ 4CO2 + 4H2O
Theo các phương trình phản ứng và giả thiết ta thấy :
nCO2 = 4nC4H8 = 4nCH3CHBrCH2CH3 = 4.27,4/137 = 4.0,2 = 0,8 mol
Vậy VCO2 = 0,8.22,4 = 17,2 lít
Bài 2: Đun nóng hỗn hợp 3 ancol no, đơn chức, mạch hở với H2SO4 đặc ở nhiệt độ thích hợp thì có thể thu được tối đa bao nhiêu ete?
A. 3 B. 4 C. 5 D. 6
Lời giải:
Đáp án D
Hướng dẫn: số ete = (3.(3+1))/2 = 6
Bài 3: Cho 13,8 gam ancol A tác dụng với Na dư giải phóng 5,04 lít H2 ở đktc, biết MA < 100. Vậy A có công thức cấu tạo thu gọn là :
A. CH3OH. B. C2H5OH. C. C3H6(OH)2. D. C3H5(OH)3.
Lời giải:
Đáp án D
Hướng dẫn 2R(OH)n + 2nNa → 2R(ONa)n + nH2 (1)
Bài 4: Cho m gam một ancol (rượu) no, đơn chức X qua bình đựng CuO (dư), nung nóng. Sau khi phản ứng hoàn toàn, khối lượng chất rắn trong bình giảm 0,32 gam. Hỗn hợp hơi thu được có tỉ khối đối với hiđro là 15,5. Giá trị của m là :
A. 0,92. B. 0,32. C. 0,64. D. 0,46.
Lời giải:
Đáp án A
Hướng dẫn Đặt công thức phân tử của ancol no, đơn chức X là : CnH2n + 2O
Phương trình phản ứng :
CnH2n + 2O + CuO → CnH2nO + H2O + Cu (1)
mol : x
Khối lượng chất rắn giảm = mCuO – mCu = 80x – 64x = 0,32 → x = 0,02
(Áp dụng sơ đồ đường chéo) : Hỗn hợp hơi gồm CnH2nO và H2O có khối lượng mol trung bình là : 15,5.2 = 31 gam/mol.
Áp dụng sơ đồ đường chéo ta có :
Vậy khối lượng của X là : m = (14n + 18).0,02 = (14.2 + 18).0,02 = 0,92 gam.
Bài 5: Đem hòa tan ethylic alcohol vào nước được 215,06 ml dung dịch rượu có nồng độ 27,6%, khối lượng riêng của dung dịch rượu là 0,93 g/ml, khối lượng riêng của ethylic alcohol nguyên chất là 0,8 g/ml. Dung dịch trên có độ rượu là:
A. 27,6o B. 22o C. 32o D. Đáp án khác.
Lời giải:
Đáp án C
Hướng dẫn mancol = 215,06.0,93.27,6/100 = 55,2 g
=> Vancol = 55,2/0,8 = 69 ml => Độ rượu = 69/215,06.100 = 32o )
Bài 6: Đốt cháy hoàn toàn m gam hỗn hợp 3 ancol đơn chức, thuộc cùng dãy dồng đẳng thu được 3,808 lít khí CO2 (đktc) và 5,4 gam H2O. Giá trị của m là
A. 5,42 B. 5,72 C. 4,72 D. 7,42.
Lời giải:
Đáp án C
Hướng dẫn
nCO2 = 0,17 mol; nH2O = 0,3 mol
→ m = 0,17.12 + 0,3.2 + (0,3 – 0,17).16 = 4,72 (gam)
Bài 7: Đốt cháy hoàn toàn 1 alkanol X thu được 2,24 lít CO2 (đktc) và 3,6 gam H2O. Vậy X là
A. CH4O. B. C2H6O. C. C3H8O. D. C4H10O.
Lời giải:
Đáp án B
Hướng dẫn CnH2n+1OH + 3n/2 O2 to→ nCO2 + (n+1)H2O
nCO2 = 0,1 mol ; nH2O = 0,15 mol
=> nancol = 0,05 mol => n = 2 => X là C2H6O
Bài 8: Cho các chất sau:
CH3OH (X); CH3CH2OH (Y); CH3CH2CH2CH2OH (Z) và CH3CH2CH2OH (T).
Chiều giảm dần độ linh động của nguyên tử H trong nhóm hydroxyl là:
A. X → Y → Z → T
B. X → T → Z → Y
C. X → Y → T → Z
D. Z → T → Y → X
Lời giải:
Đáp án: C
Hướng dẫn Những chất ở cùng dãy đồng đẳng thì nhiệt độ sôi tăng khi mạch C tăng.
Bài 9: Từ 180 gam glucose, bằng phương pháp lên men rượu, thu được a gam ethyl alcohol (hiệu suất 80%). Oxi hóa 0,1a gam ethyl alcohol bằng phương pháp lên men giấm, thu được hỗn hợp X. đẻ trung hòa hỗn hợp X cần 720 ml dung dịch NaOH 0,2M. Hiệu suất quá trình lên men giấm là
A. 90% B. 80% C. 75% D. 72%.
Lời giải:
Đáp án A
Hướng dẫn C6H12O6 → 2C2H5OH → 2CH3COOH
CH3COOH + NaOH → CH3COONa + H2O
nNaOH = 0,72.0,2 = 0,144 (mol)
Ta có: 0,1.2.0,8.H/100 = 0,144 → H = 90%
Bài 10: Cho 42 gam 1 ancol no, mạch hở, đơn chức l X phản ứng vừa đủ với Na thu được H2 và 57,4 gam muối. Vậy X là :
A. CH4O. B. C2H6O. C. C3H8O. D. C4H10O.
Lời giải:
Hướng dẫn ROH + Na → RONa + 1/2 H2
nancol = (57,4-42)/22 = 0,7 mol => M = 42/0,7 = 60
=> n = 3
=> CT C3H8O
Bài 11: Cho 5,3 gam hỗn hợp 2 ancol no đơn chức kế tiếp nhau trong dãy đồng đẳng tác dụng với K dư thì thu được 1,12 lít H2 ở điều kiện chuẩn. Vậy 2 ancol là:
A. C2H5OH và C3H7OH
B. C3H7OH và C4H8OH
C. CH3OH và C2H5OH
D. C4H9OH và C5H11OH.
Lời giải:
Đáp án A
Hướng dẫn nH2 = 1,12/22,4 = 0,05 mol
Gọi công thức tổng quát của 2 ancol là
Phương trình phản ứng:
=> 14n ̅ + 18 = 5,3/0,1 = 53
=> n ̅ = 2,5
Vậy 2 rượu là C2H5OH và C3H7OH
Bài 12: Đung nóng một ancol đơn chức X với dung dịch H2SO4 đăc trong điều kiện nhiệt độ thích hợp sinh ra chất hữu cơ Y, tỉ khối hơi của X so với Y là 0,6956. Công thức phân tử của Y là
A. C3H8O. B. C2H6O
C. CH4O. D. C4H8O .
Lời giải:
Đáp án C
Hướng dẫn Ta có: MX/MY < 1 => Y là ete. Gọi công thức của ancol là ROH
→ R = 15 → CH3OH
Bài 13: Đốt cháy hoàn toàn m gam hỗn hợp gồm 2 ancol no đơn chức thu được 70,4 gam CO2 và 39,6 gam nước. Vậy m có giá trị là:
A. 33,2g B. 34,5g C. 35,4g D. 32,1g
Lời giải:
Đáp án A
Hướng dẫn Gọi công thức chung của 2 rượu là :
Phương trình phản ứng:
ta có: n ̅x + x - n ̅x = số mol CO2 – số mol nước = 2,2 – 1,6 = 0,6
=> x = 0,6 mol.
Theo định luật bảo toàn khối lượng ta có:
a + moxi = mKhí carbonic + mnước
a = 70,4 + 39,6 – 3.1,6.32/2 = 33,2g (với nx = 1,6)
Bài 14: Cho hỗn hợp X gồm methyl alcohol, etylen glycol và glycerol. Đốt cháy hoàn toàn m gam X thu được 6,72 lít khí CO2 (đktc). Cũng m gam X trên cho tác dụng với Na dư thu được tối đa V lít khí H2 (đktc). Giá trị của V là:
A. 3,36 B. 11,20 C. 5,60 D. 6,72
Lời giải:
Đáp án A
Hướng dẫn
Sơ đồ phản ứng:
CH3OH O2→ CO2; CH3OH Na→ 0,5H2
C2H4(OH)2 O2→ 2CO2; C2H4(OH)2 Na→ H2
C3H5(OH)3 O2→ 3CO2; C3H5(OH)3 Na→ 1,5H2
Ta thấy số mol H2 thu được luôn bằng số mol CO2 = 0,15 mol → V = 3,36 lít
Bài 15: Đun nóng 1,91 gam hỗn hợp X gồm C3H7Cl và C6H5Cl với dung dịch NaOH loãng vừa đủ, sau đó thêm tiếp dung dịch AgNO3 đến dư vào hỗn hợp sau phản ứng, thu được 1,435 gam kết tủa. Khối lượng C6H5Cl trong hỗn hợp đầu là :
A. 1,125 gam. B. 1,570 gam.
C. 0,875 gam. D. 2,250 gam.
Lời giải:
Đáp án A
Hướng dẫn C3H7Cl + NaOH → C3H7OH + NaCl
Lưu ý: C6H5Cl không tác dụng với dung dịch NaOH ở điều kiện đun nóng
nC3H7Cl = nNaCl = nAgCl = 1,435/143,5 = 0,01 mol
=> mC6H5Cl = 1,91 - 0,01 x 78,5 = 1,125 gam
Bài 16: Trong các phát biểu sau về phenol:
(1) Phenol tan ít trong nước nhưng tan nhiều trong dung dịch HCl.
(2) Phenol có tính axit, dung dịch phenol không làm đổi màu quỳ tím.
(3) Phenol dùng để sản xuất keo dán, chất diệt nấm mốc.
(4) Phenol tham gia phản ứng thế brom và thế nitro dễ hơn benzene.
Những phát biểu đúng là:
A. (1), (2), (4).
B. (2), (3), (4).C. (1), (2), (3). D. (1), (3), (4).
Lời giải:
Đáp án B
Hướng dẫn
Phenol tan ít trong nước lạnh, tan vô hạn ở 66oC. Phenol không tác dụng với HCl.
Bài 17: Cho hỗn hợp X gồm hai ancol đa chức,mạch hở, thuộc cùng dãy đồng đẳng. Đôt cháy hoàn toàn hỗn hợp X, thu được CO2 và H2O có tỉ lệ mol tương ứng là 3 : 4. Hai ancol đó là
A. C3H5(OH)3 và C4H7(OH)3. B. C2H5OH và C4H9OH
C. C2H4(OH)2 và C4H8(OH)2. D. C2H4(OH)2 và C3H6(OH)2.
Lời giải:
Đáp án C
Hướng dẫn nCO2 < nH2O => Ancol no
→ C2H4(OH)2 và C4H8(OH)2
Bài 18: Oxi hóa 6 gam ancol đơn chức A bằng oxi không khí (có xúc tác và đun nóng) thu được 8,4 gam hỗn hợp anđehit, ancol dư và nước. Phần trăm A bị oxi hóa là :
A. 60%. B. 75%. C. 80%. D. 53,33%.
Lời giải:
Đáp án C
Hướng dẫn Đặt công thức của ancol là RCH2OH.
Số mol O2 đã tham gia phản ứng là : nO2 = (8,4 - 6)/32 = 0,075 mol
Phương trình phản ứng :
2RCH2OH + O2 → 2RCHO + 2H2O (1)
mol: 0,15 0,075
Theo (1) ta thấy số mol RCH2OH đã phản ứng là 0,15 mol, theo giả thiết sau phản ứng ancol còn dư nên ta suy ra số mol ancol ban đầu phải lớn hơn 0,15 mol. Do đó :
MRCH2OH < 6/0,15 = 40 > R < 9
→ R là H, ancol A là CH3OH.
Hiệu suất phản ứng oxi hóa ancol là : 0,15.32/6 . 100 = 80%
Bài 19: Khi đốt cháy hoàn toàn m gam hỗn hợp hai ancol no đơn chức, mạch hở thu được V lít khí CO2 (đktc) và a gam H2O. Biểu thức liên hệ giữa m, a vầ V là
A. m = 2a – V/22,4 . B. m = 2a – V/11,2
C. m = a + V/5,6. D. m = a – V/5,6 .
Lời giải:
Đáp án D
Hướng dẫn Gọi ancol là
Bài 20: Cho 68,913 gam 1 ancol hai chức Z phản ứng hết với Na thu được 24,8976 lít H2 (đktc). Vậy Z là:
A. C2H6O2. B. C3H8O2. C. C4H10O2. D. C5H10O2.
Lời giải:
Đáp án A
Hướng dẫn R(OH)2 + 2Na → R(ONa)2 + H2
nancol = nH2 = 1,1115 mol
=> Mancol = 62 = 14n + 2 + 32
=> n = 2 => Z là : C2H6O2.
Bài 21: Cho các dung dịch sau: CH3COOH, C2H5ONa và H2O. Chỉ dùng một hóa chất nào sau đây có thể nhận biết được cả 3 chất ở trên:
A. Na
B. Quỳ tím
C. HCl
D. K
Lời giải:
Đáp án B
Hướng dẫn Trong dung dịch C2H5ONa thủy phân tạo ra môi trường bazo mạnh, làm quỳ tím hóa xanh.
C2H5ONa + H2O → C2H5OH + NaOH
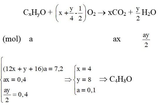
Bài 22: Đun nóng hỗn hợp hai ancol đơn chức, mạch hở với H2SO4 đặc, thu được hỗn hợp gồm các ete, lấy 7,2 gam một trong các ete đó đem đốt cháy hoàn toàn thu được 8,96 lít khí CO2 (đktc) và 7,2 gam H2O. Hai ancol đó là
A. C2H5OH và CH2=CH-CH2-OH
B. C2H5OH và CH3OH.
C. CH3OH và CH3-CH2-CH2-OH
D. CH3OH và CH2=CH-CH2-OH
Lời giải:
Đáp án D
Hướng dẫn nCO2 = nH2O = 0,4 mol
Gọi ete đem đốt là CxHyO
Bài 23: Đốt cháy hoàn toàn 3,48 gam hỗn hợp X gồm 2 alkanol đồng đẳng liên tiếp cần vừa đủ 4,032 lít O2 (đktc). Vậy công thức phân tử của 2 alkanol trong hỗn hợp X là
A. CH3OH và C2H5OH. B. C2H5OH và C3H7OH.
C. C3H7OH và C4H9OH. D. C4H9OH và C5H11OH.
Lời giải:
Hướng dẫn
CnH2n+1OH + O2 to→ nCO2 + (n+1)H2O
nO2 = 0,18 mol ;
=> nX = 0,12/n ̅
=> MX = 29n ̅ => n ̅ = 1,2
Bài 24: Một hỗn hợp gồm 25 gam phenol và benzene khi cho tác dunhj với dung dịch NaOH dư thấy tách ra 2 lớp chất lỏng phân cách, lớp chất lỏng phía trên có thể tích 19,5 ml và có khối lượng riêng là 0,8g/ml. Khối lượng phenol trong hỗn hợp ban đầu là
A. 9,4 gam B. 0,625 gam C. 24,375 gam D. 15,6 gam
Lời giải:
Đáp án A
Hướng dẫn mphenol = 25 – 0,8.19,5 = 9,4 (gam)
Bài 25: Đốt cháy hoàn toàn 0,8 mol hỗn hợp gồm đimethyl ete và ethyl alcohol ở trạng thái hơi, cho toàn bộ sản phẩm qua dung dịch Ca(OH)2 dư. Vậy khối lượng kết tủa thu được là:
A. 80g B. 160g C. 170g D. 150g
Lời giải:
Đáp án B
Hướng dẫn Cả 2 chất trên đều có công thức phân tử là C2H6O.
Khi đốt cháy C2H6O → 2CO2 => số mol CO2 = 0,8.2 = 1,6 mol.
CO2 + Ca(OH)2 → CaCO3 + H2O
=> Khối lượng kết tủa = 1,6.100 = 160 (gam)
Bài 26: X là ancol no mạch hở có n nguyên tử cacbon và m nhóm –OH trong phân tử. Cho 7,6 gam ancol X phản ứng với lượng dư Na thu được 2,24 lít H2 (đktc). Vậy biểu thức liên hệ giữa n và m là:
A. 7n + 2 = 11m
B. 7n + 2 = 12m
C. 7n + 1 = 11m
D. 8n + 1 = 11m
Lời giải:
Đáp án C
Hướng dẫn Gọi công thức tổng quát của X là CnH2n+2-m(OH)m
CnH2n+2-m(OH)m + nNa → CnH2n+2-m(ONa)m + m/2H2
14n+2+16m (g) 0,5m (mol)
7,6 0,1
=> 7n + 1 = 11m
Bài 27: Đun nóng hỗn hợp hai ancol đơn chức, mạch hở với H2SO4 đặc, thu được hỗn hợp gồm các ete. Lấy 7,2 gam một trong các ete đó đem đốt cháy hoàn toàn, thu được 8,96 lít khí CO2 (ở đktc) và 7,2 gam H2O. Hai ancol đó là :
A. C2H5OH và CH2=CHCH2OH. B. C2H5OH và CH3OH.
C. CH3OH và C3H7OH. D. CH3OH và CH2=CHCH2OH.
Lời giải:
Đáp án D
Hướng dẫn
Đốt cháy ete thu được nCO2 = nH2O nên CTPT là CnH2nO (ete không no đơn chức, phân tử có 1 liên kết đôi C=C)
=> chỉ có thể là A hoặc D.
CnH2nO + (3n-1)/2 O2 → nCO2 + nH2O
mol : x nx
=> CH3OH và CH2=CHCH2OH.
Bài 28: Đốt cháy hoàn toàn 0,2 mo một ancol X no, mạch hở cần vừa đủ 17,92 lít khí O2 (đktc). Mặt khác, nếu cho 0,1 mol X tác dụng vừa đủ với m gam Cu(OH)2 thì tạo thành dung dịch có màu xanh lam. Giá trị của m và tên gọi của X tương ứng là
A. 9,8 và propan-1,2-điol. B. 4,9 và propan-1,2-điol.
C. 4,9 và propan-1,3-điol. D. 4,9 và glycerol.
Lời giải:
Đáp án B
Hướng dẫn
Gọi công thức X là CnH2n+2-x(OH)x
3n + 1 – x = 8 → x = 2; n = 3
2C3H6O2 + Cu(OH)2 → (C3H5O2)2Cu + 2H2O
(mol) 0,1 0,05
=> mCu(OH)2 = 4,9 gam; X là propan-1,2-điol.
Bài 29: Đun nóng V ml ethylic alcohol 95o với H2SO4 đặc ở 180oC thu được 3,36 lít etilen đktc. Biết hiệu suất phản ứng là 60% và khối lượng riêng của rượu là 0,8 gam/ml. Giá trị của V là
A.10,18 ml B.15,13 ml
C.8,19 ml D.12 ml
Lời giải:
Đáp án B
Hướng dẫn
netilen = 0,15 mol => nrượu = 0,15.100/60 = 0,25 mol
=> Vancol = 0,25.46/0,8 = 14,375 ml => Vdd rượu = 14,375.100/95 = 15,13 ml
Bài 30: Cho 2,84 gam một hỗn hợp gồm 2 ancol no đơn chức là đồng đẳng liên tiếp nhau tác dụng với một lượng Na vừa đủ thu được 4,6 gam chất rắn và V lít khí H2 điều kiện chuẩn.
Vậy V có giá trị là:
A. 0,672 B. 0,896 C. 1,12 D. 1,344
Lời giải:
Đáp án B
Hướng dẫn Gọi công thức chung của 2 ancol là R ̅OH
R ̅OH + Na → R ̅ONa + 1/2 H2
Khi chuyển 1 mol R ̅OH tạo R ̅ONa thì khối lượng tăng 23 -1 = 22g
x 4,6 – 2,84 = 1,76g
x = 1,76 : 22 = 0,08 mol
=> V = 22,4 . x/2 = 0,896 lít
Bài 31: Cho 10,1 gam hỗn hợp X gồm 2 alkanol đồng đẳng liên tiếp phản ứng với Na dư thu được 2,8 lít H2 (đktc). Vậy công thức của 2 alkanol trong hỗn hợp X là
A. CH3OH và C2H5OH. B. C2H5OH và C3H7OH.
C. C3H7OH và C4H9OH. D. C4H9OH và C5H11OH.
Lời giải:
Đáp án A
Hướng dẫn nhh = 2nH2 = 0,25 mol
=> Mhh = 10,1/0,25 = 40,4 => n ̅ = 1,6
Bài 32: Đốt cháy hoàn toàn 1 alkanol X cần hết 13,44 lít O2 (đktc) thu được CO2 và 9 gam H2O. Vậy X là
A. CH4O. B. C2H6O. C. C3H8O. D. C4H10O.
Lời giải:
Đáp án D
Hướng dẫn
nO2 = 0,6 mol ; nH2O = 0,5 mol
=> 1,5n/(n+1) = 0,6/0,5 => n = 4
Bài 33: Đun sôi 15,7 gam C3H7Cl với hỗn hợp KOH/C2H5OH dư, sau khi loại tạp chất và dẫn khí sinh ra qua dung dịch brom dư thấy có x gam Br2 tham gia phản ứng. Tính x nếu hiệu suất phản ứng ban đầu là 80%.
A. 25,6 gam. B. 32 gam. C. 16 gam. D. 12,8 gam.
Lời giải:
Đáp án A
Hướng dẫn C3H7Cl KOH, C2H5OH, to→ C3H6 + HCl
mol: 0,2.80% → 0,16
C3H6 + Br2 → C3H6Br2
mol: 0,16 → 0,16
=> x = 0,16.160 = 25,6 gam.
Bài 34: Đốt cháy hỗn hợp gồm 2 ancol đơn chức kế tiếp nhau trong dãy đồng đẳng thu được CO2 và hơi nước theo tỉ lệ thể tích là VCO2 : VH2O = 7 : 10. Vậy công thức của hai ancol là:
A. C2H5OH và C3H7OH
B. CH3OH và C3H7OH
C. CH3OH và C2H5OH
D. C3H5OH và C4H7OH
Lời giải:
Đáp án A
Hướng dẫn Xét tỉ lệ VCO2 : VH2O = 7 : 10 nên 2 ancol là no, đơn chức.
Gọi công thức chung của 2 ancol là:
=> 2 ancol là C2H5OH và C3H7OH
Bài 35: Đốt cháy hoàn toàn mọt lượng hỗn hợp X gồm 2 ancol (đều no,đa chức, mạch hở, có cùng số nhóm –OH) cần vừa đủ V lít khí O2 thu được 11,2 lít khí CO2 và 12,6 gam H2O ( các thể tích khí đo được (đktc)). Giá trị của V là
A. 11,20 B. 14,56 C. 4,48 D. 15,68.
Lời giải:
Hướng dẫn
nCO2 = 0,5 mol; nH2O = 0,7 mol
=>Ancol 2 chức
V = 0,1.(3.2,5 – 1) = 14,56 (lít)
Thi online Hóa 11 KNTTThi online Hóa 11 CDThi online Hóa 11 CTST
Xem thêm các dạng bài tập Hóa học lớp 11 có trong đề thi Tốt nghiệp THPT khác:
- 125 câu trắc nghiệm Dẫn xuất Halogen, Ancol, Phenol có lời giải (cơ bản - phần 1)
- 125 câu trắc nghiệm Dẫn xuất Halogen, Ancol, Phenol có lời giải (cơ bản - phần 2)
- 125 câu trắc nghiệm Dẫn xuất Halogen, Ancol, Phenol có lời giải (cơ bản - phần 3)
- 125 câu trắc nghiệm Dẫn xuất Halogen, Ancol, Phenol có lời giải (cơ bản - phần 4)
- 125 câu trắc nghiệm Dẫn xuất Halogen, Ancol, Phenol có lời giải (nâng cao - phần 2)
- 125 câu trắc nghiệm Dẫn xuất Halogen, Ancol, Phenol có lời giải (nâng cao - phần 3)
- 125 câu trắc nghiệm Dẫn xuất Halogen, Ancol, Phenol có lời giải (nâng cao - phần 4)
Tủ sách VIETJACK shopee lớp 10-11 (cả 3 bộ sách):
Đã có app VietJack trên điện thoại, giải bài tập SGK, SBT Soạn văn, Văn mẫu, Thi online, Bài giảng....miễn phí. Tải ngay ứng dụng trên Android và iOS.
Theo dõi chúng tôi miễn phí trên mạng xã hội facebook và youtube:Nếu thấy hay, hãy động viên và chia sẻ nhé! Các bình luận không phù hợp với nội quy bình luận trang web sẽ bị cấm bình luận vĩnh viễn.
- Giải Tiếng Anh 11 Global Success
- Giải sgk Tiếng Anh 11 Smart World
- Giải sgk Tiếng Anh 11 Friends Global
- Lớp 11 - Kết nối tri thức
- Soạn văn 11 (hay nhất) - KNTT
- Soạn văn 11 (ngắn nhất) - KNTT
- Giải sgk Toán 11 - KNTT
- Giải sgk Vật Lí 11 - KNTT
- Giải sgk Hóa học 11 - KNTT
- Giải sgk Sinh học 11 - KNTT
- Giải sgk Lịch Sử 11 - KNTT
- Giải sgk Địa Lí 11 - KNTT
- Giải sgk Giáo dục KTPL 11 - KNTT
- Giải sgk Tin học 11 - KNTT
- Giải sgk Công nghệ 11 - KNTT
- Giải sgk Hoạt động trải nghiệm 11 - KNTT
- Giải sgk Giáo dục quốc phòng 11 - KNTT
- Giải sgk Âm nhạc 11 - KNTT
- Lớp 11 - Chân trời sáng tạo
- Soạn văn 11 (hay nhất) - CTST
- Soạn văn 11 (ngắn nhất) - CTST
- Giải sgk Toán 11 - CTST
- Giải sgk Vật Lí 11 - CTST
- Giải sgk Hóa học 11 - CTST
- Giải sgk Sinh học 11 - CTST
- Giải sgk Lịch Sử 11 - CTST
- Giải sgk Địa Lí 11 - CTST
- Giải sgk Giáo dục KTPL 11 - CTST
- Giải sgk Hoạt động trải nghiệm 11 - CTST
- Giải sgk Âm nhạc 11 - CTST
- Lớp 11 - Cánh diều
- Soạn văn 11 Cánh diều (hay nhất)
- Soạn văn 11 Cánh diều (ngắn nhất)
- Giải sgk Toán 11 - Cánh diều
- Giải sgk Vật Lí 11 - Cánh diều
- Giải sgk Hóa học 11 - Cánh diều
- Giải sgk Sinh học 11 - Cánh diều
- Giải sgk Lịch Sử 11 - Cánh diều
- Giải sgk Địa Lí 11 - Cánh diều
- Giải sgk Giáo dục KTPL 11 - Cánh diều
- Giải sgk Tin học 11 - Cánh diều
- Giải sgk Công nghệ 11 - Cánh diều
- Giải sgk Hoạt động trải nghiệm 11 - Cánh diều
- Giải sgk Giáo dục quốc phòng 11 - Cánh diều
- Giải sgk Âm nhạc 11 - Cánh diều


Giải bài tập SGK & SBT
Tài liệu giáo viên
Sách
Khóa học
Thi online
Hỏi đáp

