Chuyên đề bồi dưỡng HSG Hóa học 9 Đại cương về hóa học hữu cơ cấu tạo phân tử hợp chất hữu cơ (có lời giải)
Bài viết Chuyên đề bồi dưỡng HSG Hóa học 9 Đại cương về hóa học hữu cơ cấu tạo phân tử hợp chất hữu cơ gồm các dạng bài tập từ cơ bản đến nâng cao với phương pháp giải chi tiết và bài tập tự luyện đa dạng giúp Giáo viên có thêm tài liệu ôn thi Học sinh giỏi Hóa 9.
Chuyên đề bồi dưỡng HSG Hóa học 9 Đại cương về hóa học hữu cơ cấu tạo phân tử hợp chất hữu cơ (có lời giải)
Chỉ từ 300k mua trọn Chuyên đề bồi dưỡng HSG Hóa học 9 sách mới bản word có lời giải chi tiết:
- B1: gửi phí vào tk:
1133836868- CT TNHH DAU TU VA DV GD VIETJACK - Ngân hàng MB (QR) - B2: Nhắn tin tới Zalo VietJack Official - nhấn vào đây để thông báo và nhận giáo án
A. LÝ THUYẾT TRỌNG TÂM
I. KHÁI NIỆM
- Hợp chất của Carbon là hợp chất hữu cơ (trừ CO, CO2, , CN, carbide...). Khác với hợp chất vô cơ, trong thành phần hợp chất hữu cơ nhất thiết phải có có carbon, hay gặp hydrogen, oxygen, nitrogen...
- Ngành khoa học chuyên nghiên cứu về các hợp chất hữu cơ là một chuyên ngành của ngành Hóa học, được đặt tên là hóa học hữu cơ.
II. PHÂN LOẠI:
1. Hydrogen carbon: Phân tử chỉ chứa hai nguyên tố là Carbon và hydrogen.
- Ví dụ: CH4, C2H4, C3H4....
2. Dẫn xuất của Hydrogen carbon: Ngoài hai nguyên tố là Carbon và hydrogen trong phân tử còn có các nguyên tố khác như oxygen, nitrogen, chlorine...
- Ví dụ: C2H6O, C2H5O2N, CH3Cl.....
III. CẤU TẠO PHÂN TỬ HỢP CHẤT HỮU CƠ
1. Hóa trị và liên kết giữa các nguyên tử
- Trong các hợp chất hữu cơ carbon luôn có hóa trị IV, hydrogen có hóa trị I, oxygen có hóa trị II.
- Các nguyên tử liên kết với nhau theo đúng hóa trị của chúng. Mỗi liên kết được biểu diễn bàng một nét gạch nối giữa hai nguyên tử
- Trong công thức cấu tạo, liên kết cộng hoá trị giữa hai nguyên tử bằng một cặp electron dùng chung được gọi là liên kết đơn, biểu diễn bằng một gạch nối (−); còn liên kết cộng hoá trị giữa hai nguyên tử bằng hai cặp electron dùng chung được gọi là liên kết đôi, biểu diễn bằng hai gạch nối (=).
- Công thức cấu tạo còn được viết dưới dạng thu gọn bằng cách viết gộp nguyên tử hydrogen vào nguyên tử liên kết với nó thành từng nhóm.
- Mỗi hợp hợp chất hữu cơ có một trật tự liên kết xác định giữa các nguyên tử trong phân tử. Khi một trong phân tử có 1 liên kết thay đổi thì chất cũng bị biến đổi và có tính chất khác so với chất có cùng công thức phân tử nhưng khác nhau về công thức cấu tạo.
- Ví dụ:
| Công thức phân tử | Công thức cấu tạo đầy đủ | Công thức cấu tạo thu gọn |
| C2H6 | ||
| C2H4 | ||
| CH4O |
2. Mạch carbon
- Những nguyên tử carbon trong phân tử hợp chất hữu cơ có thể liên kết trực tiếp với nhau tạo thành mạch carbon (đảm bảo C luôn có hóa trị IV)
| Mạch thẳng | Mạch nhánh | Mạch vòng |
3. Đồng phân:
- Những hợp chất khác nhau nhưng có cùng công thức phân tử được gọi là đồng phân.
- Ví dụ:Hợp chất hữu cơ có công thức phân tử là C2H6O sẽ có 2 công thức cấu tạo ta gọi đó là đồng phân.
ethyl Acolhol (rượu) |
Dimethyl ether |
III. CÁCH THIẾT LẬP CÔNG THỨC PHÂN TỬ HỢP CHẤT HỮU CƠ
1. Dựa vào thành phần phần trăm khối lượng của nguyên tố
- Xét sơ đồ:
2. Thiết lập công thức phân tử theo công thức đơn giản nhất khi đề cho biết phân tử khối
- Thiết lập công thức đơn giản nhất của hợp chất hữu cơ CxHyOz là tìm tỉ lệ x, y, z. dưới dạng tỉ lệ giữa các số nguyên tối giản.
- Thực tế, kết quả phân tích định lượng luôn cho ta biết thành phần % theo khối lượng của các nguyên tố trong phân tử chất hữu cơ nên ta thường xác định theo số liệu này.
- Giả sử sau khi tìm tỉ lệ x, y, x ta có công thức đơn giản nhất của hợp chất hữu cơ X là CH2O. có phân tử khối là (g/mol)
→ Công thức phân tử của X có dạng: (CH2O)n
- từ:
- Sau khi xác định được n ta kết luận về công thức của phân tử của hợp chất hữu cơ.
3. Tính trực tiếp theo khối lượng sản phẩm đốt cháy.
- Ta luôn có:
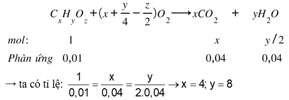
Ví dụ:Hợp chất Y chứa các nguyên tố C, H, O. Đốt cháy hoàn toàn 0,88 gam Y thu được 1,76 gam CO2 và 0,72 gam H2O. Tỉ khối hơi của Y so với không khí xấp xỉ 3,04. Xác định công thức phân tử của Y.
Hướng dẫn
Đặt công thức phân tử của Y là CxHyOz.
- Phương trình hóa học của phản ứng cháy:
- Từ MY = 88 ↔ 12.4 + 8 + 16z = 88 → z = 2.
Vậy công thức phân tử của Y là C4H8O2
................................
................................
................................
Xem thêm các Chuyên đề bài tập bồi dưỡng Học sinh giỏi Hóa học lớp 9 có đáp án hay khác:
Xem thêm các loạt bài Để học tốt Hóa học 9 hay khác:
- Giải bài tập Hóa học 9
- Giải sách bài tập Hóa 9
- Đề thi Hóa học 9
- Wiki 200 Tính chất hóa học
- Wiki 3000 Phản ứng hóa học quan trọng
Đã có app VietJack trên điện thoại, giải bài tập SGK, SBT Soạn văn, Văn mẫu, Thi online, Bài giảng....miễn phí. Tải ngay ứng dụng trên Android và iOS.
Theo dõi chúng tôi miễn phí trên mạng xã hội facebook và youtube:Loạt bài Chuyên đề: Lý thuyết - Bài tập Hóa học lớp 9 có đáp án được biên soạn bám sát nội dung chương trình sgk Hóa học 9.
Nếu thấy hay, hãy động viên và chia sẻ nhé! Các bình luận không phù hợp với nội quy bình luận trang web sẽ bị cấm bình luận vĩnh viễn.
- Giải Tiếng Anh 9 Global Success
- Giải sgk Tiếng Anh 9 Smart World
- Giải sgk Tiếng Anh 9 Friends plus
- Lớp 9 Kết nối tri thức
- Soạn văn 9 (hay nhất) - KNTT
- Soạn văn 9 (ngắn nhất) - KNTT
- Giải sgk Toán 9 - KNTT
- Giải sgk Khoa học tự nhiên 9 - KNTT
- Giải sgk Lịch Sử 9 - KNTT
- Giải sgk Địa Lí 9 - KNTT
- Giải sgk Giáo dục công dân 9 - KNTT
- Giải sgk Tin học 9 - KNTT
- Giải sgk Công nghệ 9 - KNTT
- Giải sgk Hoạt động trải nghiệm 9 - KNTT
- Giải sgk Âm nhạc 9 - KNTT
- Giải sgk Mĩ thuật 9 - KNTT
- Lớp 9 Chân trời sáng tạo
- Soạn văn 9 (hay nhất) - CTST
- Soạn văn 9 (ngắn nhất) - CTST
- Giải sgk Toán 9 - CTST
- Giải sgk Khoa học tự nhiên 9 - CTST
- Giải sgk Lịch Sử 9 - CTST
- Giải sgk Địa Lí 9 - CTST
- Giải sgk Giáo dục công dân 9 - CTST
- Giải sgk Tin học 9 - CTST
- Giải sgk Công nghệ 9 - CTST
- Giải sgk Hoạt động trải nghiệm 9 - CTST
- Giải sgk Âm nhạc 9 - CTST
- Giải sgk Mĩ thuật 9 - CTST
- Lớp 9 Cánh diều
- Soạn văn 9 Cánh diều (hay nhất)
- Soạn văn 9 Cánh diều (ngắn nhất)
- Giải sgk Toán 9 - Cánh diều
- Giải sgk Khoa học tự nhiên 9 - Cánh diều
- Giải sgk Lịch Sử 9 - Cánh diều
- Giải sgk Địa Lí 9 - Cánh diều
- Giải sgk Giáo dục công dân 9 - Cánh diều
- Giải sgk Tin học 9 - Cánh diều
- Giải sgk Công nghệ 9 - Cánh diều
- Giải sgk Hoạt động trải nghiệm 9 - Cánh diều
- Giải sgk Âm nhạc 9 - Cánh diều
- Giải sgk Mĩ thuật 9 - Cánh diều


Giải bài tập SGK & SBT
Tài liệu giáo viên
Sách
Khóa học
Thi online
Hỏi đáp

