Đề luyện thi Vật Lí tốt nghiệp THPT năm 2026 có đáp án (Đề 11)
Đề luyện thi Vật Lí tốt nghiệp THPT năm 2026 có đáp án - Đề 12
Câu 1: Khi con lắc lò xo nằm ngang dao động điều hòa, vận tốc của vật bằng 0 khi vật ở
A. Vị trí cân bằng
B. Vị trí mà lực đàn hồi của lò xo bằng 0
C. Vị trí có li độ cực đại
D. Vị trí mà lò xo không bị biến dạng
Câu 2: Một chất điểm dao động điều hòa trên một quỹ đạo dài l, quãng đường mà chất điểm đi được trong một chu kì là
A. 2l B. 4l C. l/2 D. l/4
Câu 3: Một con lắc lò xo treo thẳng đứng dao động điều hòa với tần số 4,5 Hz. Trong quá trình dao động, chiều dài lò xo biến thiên từ 40 cm đến 56 cm. Lấy g = 10 m/s2. Độ dài tự nhiên của lò xo là
A. 46,8 cm B. 48cm C. 42cm D. 40cm
Câu 4: Một vật dao động điều hòa dọc theo trục Ox. Vận tốc của vật khi đi qua vị trí cân bằng là 62,8 cm/s và gia tốc ở vị trí biên là 200 cm/s2. Lấy π2 = 10. Chu kì dao động của vật là
A. 2 s B. 0,2s C. 3,18s D. 0,318s
Câu 5: Một con lắc đơn có vật nặng khối lượng m = 200 g và độ dài dây treo l = 2m. Góc lệch cực đại của dây so với đường thẳng đứng αo = 10o. Cơ năng và vận tốc vật nặng khi nó ở vị trí thấp nhất lần lượt là
A. 6,1 J ; 2 m/s
B. 0,061 J ; 0,78 m/s
C. 2 J ; 2 m/s
D. 0,02 J ; 0,78 m/s
Câu 6: Một vật dao động điều hòa theo phương trình x = 6cos(2πt+ π/2)(cm). Trong khoảng 10 s kể từ thời điểm t = 0, vật có bao nhiêu lần đi qua li độ x = 3 cm theo chiều âm của trục tọa độ?
A. 20 lần B. 21 lần C. 19 lần D. 10 lần
Câu 7: Một vật nặng treo vào đầu lò xo có chiều dài tự nhiên lo = 12 cm. Kích thích cho vật dao động điều hòa theo phương thẳng đứng với biên độ A = 3 cm, thì thấy chiều dài cực đại của lò xo là 19 cm. Cho gia tốc rơi tự do g = π2 (m/s2). Chu kì dao động là
A. 4 s B. 0,4s C. 0,6s D. 5s
Câu 8: Một thấu kính hội tụ có hai mặt lồi, bán kính giống nhau bằng 20 cm. Chiết suất của chất làm thấu kính đối với ánh sáng đỏ và ánh sáng tím lần lượt là nđ = 1,50 , nt = 1,54. Khoảng cách giữa tiêu điểm đối với tia đỏ và tiêu điểm đối với tia tím nằm ở cùng một phía là
A. 1,48 cm B. 20cm C. 18,52cm D. 38,52cm
Câu 9: Trong một thí nghiệm Y-âng về giao thoa ánh sáng, hai khe cách nhau 1 mm, cách màn 2 m. Hai khe được chiếu bằng nguồn phát sóng đơn sắc có bước sóng λ = 0,6 μm. Tại điểm M cách vân trung tâm 5,4 mm là vân sáng hay tối, bậc bao nhiêu?
A. Vân sáng bậc 5
B. Vân tối thứ 5
C. Vân sáng bậc 4
D. Vân tối thứ 4
Câu 10: Phát biểu nào sau đây không đúng? Hiện tượng giao thoa chỉ xảy ra khi hai sóng được tạo ra từ hai tâm sóng dao động cùng phương và có thêm đặc điểm sau :
A. Cùng tần số, cùng pha
B. Cùng tần số, ngược pha
C. Cùng tần số, lệch pha nhau một góc không đổi
D. Cùng biên độ, cùng pha
Câu 11: Chọn phát biểu đúng
A. Tần số sóng thay đổi khi sóng truyền từ môi trường này sang môi trường khác
B. Tần số sóng được xác định bởi nguồn phát sóng
C. Tần số sóng là tích số của bước sóng và chu kì dao động của sóng
D. Khi sóng truyền từ môi trường này sang môi trường khác bước sóng không thay đổi
Câu 12: Tốc độ truyền âm trong không khí là 340 m/s, khoảng cách giữa hai điểm gần nhau nhất trên cùng một phương truyền sóng dao động ngược pha nhau là 0,85 m. Tần số của âm là
A. 185 Hz B. 170Hz C. 200Hz D. 255Hz
Câu 13: Trong thí nghiệm giao thoa sóng trên mặt nước, hai nguồn kết hợp A, B dao động với tần số 20 Hz. Tại một điểm M cách A và B lần lượt là 16 cm và 20 cm, sóng có biến độ cực đại; giữa M và đường trung trực của AB có 3 vân cực đại khác. Tốc độ truyền sóng trên mặt nước là
A. 20 cm/s B. 36,7 cm/s C. 40 cm/s D. 53,4 cm/s
Câu 14: Cho A,B là hai nguồn kết hợp có phương trình : uA = uB = 2cos50πt (mm). M là điểm cách A, B các đoạn MA = 17,2 cm; MB = 16,4 cm. Cho tốc độ truyền sóng là 60 cm/s. Biên độ sóng ở M là
A. 2√2 mm B. 2mm C. 4mm D. 1mm
Câu 15: Một ống trụ có một pittong ở một đầu ống, để có thể điều chỉnh chiều dài cột khí trong ống. Đặt một âm thoa dao động với tần số 660 Hz ở gần đầu hở của ống. Tốc độ âm trong không khí là 330 m/s. Để âm nghe được to nhất ta phải điều chỉnh pittong để cột không khí trong ống có đọ dài nhỏ nhất là
A. 0,75 cm B. 0,50cm C. 25,0cm D. 12,5cm
Câu 16: Ưu điểm nào sau đây không phải là của máy biến áp?
A. Giúp biến đổi điện áp và cường độ dòng điện rất dễ dàng
B. Hiệu suất cao
C. Cấu tạo đơn giản
D. Hoạt động được cả với dòng điện xoay chiều lẫn một chiều
Câu 17: Các mức năng lượng En của nguyên tử hidro được xác định theo công thức : En = Eo/N2 (n=1,2,3,…). Cho c = 3.108 m/s, h = 6,625.10-34J.s. Biết khi nguyên tử hidro chuyển từ mức năng lượng En về mức kế cận thì phát ra λ = 0,6563 μm và bán kính nguyên tử giảm đi 2,25 lần. Giá trị năng lượng En là
A. -1,51 eV B. -13,6eV C. 1,51eV D. 13,6eV
Câu 18: Đặt điện áp xoay chiều u = U2cosωt có Uo không thay đổi và ω thay đổi được vào hai đầu đoạn mạch có R, L, C mắc nối tiếp. Thay đổi ω thì cường độ dòng điện hiệu dụng trong mạch khi ω = ω1 bằng cường độ dòng điện hiệu dụng trong mạch khi ω = ω2. Hệ thức đúng là
A. ω1ω2 = 1/√LC
B. ω1 + ω2 = 1/LC
C. ω1ω2 = 1/√LC
D. ω1 - ω2 = 2/√LC
Câu 19: Cho mạch điện như hình vẽ. Đặt vào hai đầu AB một điện áp xoay chiều u AB = 50√10cos(100πt) (V), cuộn cảm thuần L có độ tự cảm L1, cuộn cảm thuần 2 có độ tự cảm L2 = (0,5)/π (H), r = 50 Ω. Số chỉ của ampe kế là 1 A. Độ tự cảm L1 nhận giá trị bằng
A. (0,5)/π (H)
B. 1/π(H)
C. (0,5)/π √3 (H)
D. 2/π (H)
Câu 20: Cho đoạn mạch xoay chiều gồm cuộn dây có điện trở thuần R = 100 Ω, độ tự cảm L = 1/π (H) mắc nối tiếp với tụ điện C = 10-4/ 2π (F). Đặt vào hai đầu đoạn mạch một điện áp xoay chiều có dạng u = 200cos100πt(V). Biểu thức điện áp tức thời giữa hai đầu cuộn dây là :
A. Ud= 200cos(100πt+ π/2) (V)
B. Ud= 200cos(100πt+ π/4) (V)
C. Ud= 200cos(100πt- π/4) (V)
D. Ud= 200cos(100πt) (V)
Câu 21: Trên cùng một đường dây tải điện, nếu dùng máy biến áp để tăng điện áp hai đầu dây dẫn lên 100 lần thì công suất hao phí do tỏa nhiệt trên đường dây sẽ
A. Giảm 102 lần
B. Giảm 104 lần
C. Tăng 102 lần
D. Tăng 104 lần
Câu 22: Đặt vào hai đầu đoạn mạch RLC nối tiếp một điện áp xoay chiều có tần số và điện áp hiệu dụng không đổi. Dùng vôn kế xoay chiều có điện trở rất lớn, lần đo điện áp ở hai đầu đoạn mạch, hai đầu tụ điện và hai đầu cuộn cảm thuần thì chỉ số của vôn kế tương ứng là U, UC và UL. Biết U = UC = 2UL. Hệ số công suất của mạch điện là
A. 0,5 B. √3/2 C. √2/2 D. 1
Câu 23: Một đoạn mạch gồm điện trở thuần R = 25 Ω, mắc nối tiếp với tụ điện có điện dung C = 10-4/π(F) và cuộn cảm thuần có độ tự cảm L. Đặt vào hai đầu đoạn mạch đó một điện áp xoay chiều có tần số 50 Hz. Biết điện áp ở hai đầu điện trở thuần R sớm pha π/4 so với điện áp giữa hai đầu đoạn mạch. Cảm kháng của cuộn cảm bằng
A. 75 Ω B. 100 Ω C. 125 Ω D. 150 Ω
Câu 24: Đoạn mạch AB gồm cuộn dây có điện trở thuần r = 5 Ω và hệ số tự cảm L = 1/4π (H) mắc nối tiếp với điện trở thuần R = 20 Ω. Biết dòng điện trong mạch có biểu thức i = √2cos100πt (A). Tổng trở và hệ số công suất của đoạn mạch có trị số tương ứng là
A. 25 Ω ; 0,707
B. 50 Ω ; √2/2
C. 25√2 Ω ; 0,707
D. 50√2 Ω ; √2/2
Câu 25: Trong mạch dao động LC, điện tích trên tụ điện và cường độ dòng điện qua cuộn cảm thuần biến thiên
A. Điều hòa cùng tần số
B. Tuần hoàn và cùng biên độ
C. Điều hòa cùng pha
D. Điều hòa và ngược pha nhau
Câu 26: Một mạch dao động LC gồm cuộn cảm thuần và tụ điện có điện dung C. Trong mạch có dao động điện từ tự do với chu kì 2,5.10-6s. Khi mắc song song với tụ diện tỏng mạch trên một tụ điện có điện dung 8C thì chu kì dao động điện từ tự do của mạch lúc này bằng
A. 0,75. 10-6 s
B. 7,5. 10-6 s
C. 1,25. 10-6 s
D. 0,5. 10-6 s
Câu 27: Một tụ điện có điện dung C = 1 μF được tích điện đến hiệu điện thế U = 10 V. Sau đó cho tụ điện phóng điện qua một cuộn cảm có hệ số tự cảm L = 1 H và điện trở thuần không đáng kể. Lấy gốc thời gian là lúc tụ bắt đầu phóng điện. Cho π2 = 10. Biểu thức điện tích trên mỗi bản tụ điện theo thời gian là
A. q = 10 -5sin(500πt+ π/2) (C)
B. q = 10 -5sin(500πt- π/2) (C)
C. q = 10 -5sin(1000πt- π/2) (C)
D. q = 10 -5sin(1000πt+ π/2) (C)
Câu 28: Quang phổ vạch được phát ra trong trường hợp nào sau đây?
A. Chất khí hay hơi ở áp suất thấp bị kích thích
B. Có dòng điện phoáng qua một chất lỏng, hoặc chất khí ở áp suất thấp
C. Nung nóng một chất khí, ở điều kiện tiêu chuẩn
D. Có dòng điện phóng qua một chất lỏng ở áp suất rất thấp
Câu 29: Tia tử ngoại được phát ra rất mạnh từ
A. Lò sưởi điện
B. Lò vi sóng
C. Hồ quang điện
D. Màn hình vô tuyến
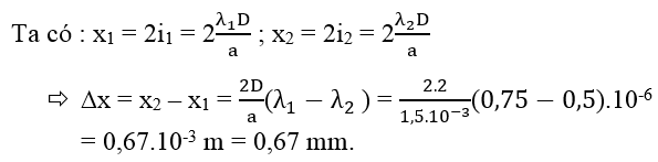
Câu 30: Trong thí nghiệm Y-âng, người ta chiếu hai ánh sáng đơn sắc có bước sóng λ1 = 0,5 μm và λ2 = 0,75 μm vào hai khe S1 , S2 cách nhau 1,5 mm và cách màn E một khoảng là 2 m. Khoảng cách giữa hai vân sáng bậc 2 của ánh sáng đơn sắc trên là
A. 0,33 mm B. 0,45mm C. 0,67mm D. 0,87mm
Câu 31: Trong thí nghiệm Y-âng về giao thoa ánh sáng, khoảng cách giữa hai khe là 0,5 mm, khoảng cách từ hai khe đến màn quan sát là 2 m. Nguồn sáng dùng trong thí nghiệm gồm hai bức xạ có bước sóng λ1 = 450 nm và λ2 = 600 nm. Trên màn quan sát, gọi M, N là hai điểm ở cùng một phía so với vân trung tâm và cách vân trung tâm lần lượt là 5,5 mm và 22 mm. Trên đoạn MN, số vị trí vân sáng trùng nhau của hai bức xạ là
A. 4 B. 5 C. 2 D. 3
Câu 32: Trong một thí nghiệm với khe Y-âng, cách nhau a = 1,2 m, trên màn quan sát đặt cách hai khe một khoảng D = 0,9 m, người ta đếm được 6 vân sáng, mà hai vân sáng ngoài cùng cách nhau 2,4 mm. Bước sóng của ánh sáng là
A. 0,45 μm B. 0,66 μm C. 0,64 μm D. 0,50 μm
Câu 33: Chiếu một chùm tia hồng ngoại vào tấm kẽm tích điện âm, hiện tượng nào xảy ra?
A. Tấm kẽm vẫn tích điện âm như lúc ban đầu
B. Tấm kẽm có điện thế dương
C. Tấm kẽm trở nên trung hòa về điện
D. Tấm kẽm mất dần điện tích âm
Câu 34: Khi bước sóng của chùm ánh sáng kích thíc có trị số giảm dần thì các photon chiếu vào bề mặt kim loại có
A. Tốc độ giảm dần
B. Năng lượng tăng dần
C. Số lượng tăng dần
D. Tần số giảm dần
Câu 35: Công thoát electron của một kim loại là A = 7,23.10-19 J. Nếu chiếu lần lượt vào kim loại này các bức xạ có tần số f1 = 2,1.10 15 Hz; f2 = 1,33.1015 Hz; f3= 9,375.10 14 Hz; f4= 8,45.10 14 Hz và f5 = 6,67.1014 Hz. Những bức xạ nào kể trên gây ra hiện tượng quang điện? Cho h = 6,625.10-34 J.s ; c = 3.108 m/s.
A. f1, f3 và f4
B. f2, f3 và f5
C. f1 và f2
D. f4, f3 và f2
Câu 36:
A. 88 proton và 226 notron
B. 226 proton và 138 notron
C. 138 proton và 88 notron
D. 88 proton và 138 notron
Câu 37: Sự phân hạch là sự vỡ một hạt nhân nặng
A. Thường xảy ra một cách tự phát
B. Thành hai hạt nhân nhẹ hơn, do hấp thụ một notron
C. Thành hai hạt nhân nhẹ hơn và một vài notron, sau khi hấp thụ một notron chậm
D. Thường xảy ra ở trạng thái kích thích và ở nhiệt độ rất cao
Câu 38: Phản ứng nhiệt hạch xảy ra ở
A. Nhiệt độ bình thường
B. Nhiệt độ thấp
C. Nhiệt độ rất cao
D. Áp suất rất cao
Câu 39:
A. 11460 năm
B. 12000 năm
C. 10000 năm
D. 10500 năm
Câu 40:
Biết m U = 234,99 u; m n = 1,01 u; m Mo = 94,88 u ; m La = 138,87 u. Bỏ qua khối lượng của electron. Năng lượng tỏa ra từ phản ứng trên bằng
A. 3,28.10 -11 J
B. 3,43.10 -11 J
C. 3,50.10 -11 J
D. 3,62.10 -11 J
Đáp án
| Câu | 1 | 2 | 3 | 4 | 5 | 6 | 7 | 8 | 9 | 10 |
| Đáp án | C | A | A | A | B | D | B | A | B | D |
| Câu | 11 | 12 | 13 | 14 | 15 | 16 | 17 | 18 | 19 | 20 |
| Đáp án | B | C | A | B | D | D | A | C | A | A |
| Câu | 21 | 22 | 23 | 24 | 25 | 26 | 27 | 28 | 29 | 30 |
| Đáp án | B | B | A | C | A | B | D | A | C | C |
| Câu | 31 | 32 | 33 | 34 | 35 | 36 | 37 | 38 | 39 | 40 |
| Đáp án | D | C | A | B | C | D | C | C | A | B |
Hướng dẫn giải
Câu 3:
Câu 4:
Câu 6:
Câu 7:
Câu 8:
Câu 13:
Giữa M và đường trung trực của AB có 3 vân cực đại khác, suy ra M nằm trên đường cực đại ứng với k = 4, do đó MB – AM = kλ = 4λ.
Suy ra : 4λ = 20 -16 = 4 cm => λ = 1 cm, từ đó v = λf = 20 cm/s
Câu 14:
Câu 17:
Câu 19:
Câu 20:
Câu 26:
Câu 30:
Câu 32:
Giữa 6 vân sáng chỉ có 5 khoảng vân, do đó : i = 2,4/3 => λ = 0,64 μm.
Câu 35:
fo = A/h = 1,09.1015 Hz => Chỉ có f1 và f2
Câu 40:
W = (m0 – m)c2 = 214 MeV ≈ 3,43.10-11 J.
Tham khảo thêm các Đề thi trắc nghiệm môn Vật Lí khác:
- Đề luyện thi Vật Lí tốt nghiệp THPT năm 2026 có đáp án - Đề 8
- Đề luyện thi Vật Lí tốt nghiệp THPT năm 2026 có đáp án - Đề 9
- Đề luyện thi Vật Lí tốt nghiệp THPT năm 2026 có đáp án - Đề 10
- Đề luyện thi Vật Lí tốt nghiệp THPT năm 2026 có đáp án - Đề 11
- Đề luyện thi Vật Lí tốt nghiệp THPT năm 2026 có đáp án - Đề 12
Sách VietJack thi THPT quốc gia 2025 cho học sinh 2k7:
- Giải Tiếng Anh 12 Global Success
- Giải sgk Tiếng Anh 12 Smart World
- Giải sgk Tiếng Anh 12 Friends Global
- Lớp 12 Kết nối tri thức
- Soạn văn 12 (hay nhất) - KNTT
- Soạn văn 12 (ngắn nhất) - KNTT
- Giải sgk Toán 12 - KNTT
- Giải sgk Vật Lí 12 - KNTT
- Giải sgk Hóa học 12 - KNTT
- Giải sgk Sinh học 12 - KNTT
- Giải sgk Lịch Sử 12 - KNTT
- Giải sgk Địa Lí 12 - KNTT
- Giải sgk Giáo dục KTPL 12 - KNTT
- Giải sgk Tin học 12 - KNTT
- Giải sgk Công nghệ 12 - KNTT
- Giải sgk Hoạt động trải nghiệm 12 - KNTT
- Giải sgk Giáo dục quốc phòng 12 - KNTT
- Giải sgk Âm nhạc 12 - KNTT
- Giải sgk Mĩ thuật 12 - KNTT
- Lớp 12 Chân trời sáng tạo
- Soạn văn 12 (hay nhất) - CTST
- Soạn văn 12 (ngắn nhất) - CTST
- Giải sgk Toán 12 - CTST
- Giải sgk Vật Lí 12 - CTST
- Giải sgk Hóa học 12 - CTST
- Giải sgk Sinh học 12 - CTST
- Giải sgk Lịch Sử 12 - CTST
- Giải sgk Địa Lí 12 - CTST
- Giải sgk Giáo dục KTPL 12 - CTST
- Giải sgk Tin học 12 - CTST
- Giải sgk Hoạt động trải nghiệm 12 - CTST
- Giải sgk Âm nhạc 12 - CTST
- Lớp 12 Cánh diều
- Soạn văn 12 Cánh diều (hay nhất)
- Soạn văn 12 Cánh diều (ngắn nhất)
- Giải sgk Toán 12 Cánh diều
- Giải sgk Vật Lí 12 - Cánh diều
- Giải sgk Hóa học 12 - Cánh diều
- Giải sgk Sinh học 12 - Cánh diều
- Giải sgk Lịch Sử 12 - Cánh diều
- Giải sgk Địa Lí 12 - Cánh diều
- Giải sgk Giáo dục KTPL 12 - Cánh diều
- Giải sgk Tin học 12 - Cánh diều
- Giải sgk Công nghệ 12 - Cánh diều
- Giải sgk Hoạt động trải nghiệm 12 - Cánh diều
- Giải sgk Giáo dục quốc phòng 12 - Cánh diều
- Giải sgk Âm nhạc 12 - Cánh diều
Giải bài tập SGK & SBT
Tài liệu giáo viên
Sách
Khóa học
Thi online
Hỏi đáp



