Aniline + FeCl3 (chi tiết nhất)
Phản ứng hóa học: Aniline + FeCl3 là một phản ứng hữu ích trong hóa học hữu cơ và hóa phân tích đã được cân bằng chi tiết nhất. Bên cạnh đó là một số bài tập có liên quan về aniline có lời giải, mời các bạn đón xem:
Aniline + FeCl3 (chi tiết nhất)
1. Phương trình hoá học của phản ứng aniline tác dụng với FeCl3
Trong phản ứng này, vai trò của các chất như sau:
- Iron(III) chloride (FeCl3) đóng vai trò là chất oxi hóa: Ion Fe3+ nhận electron để chuyển thành Fe2+.
- Aniline (C6H5NH2) đóng vai trò là chất khử: Nhóm -NH2 gắn trên vòng benzene làm cho vòng này rất giàu electron và dễ bị oxi hóa.
Phương trình tổng quát:
nC6H5NH2 + 2nFeCl3 → (-C6H4NH)-)n + 2n FeCl2 + 2nHCl
2. Điều kiện để aniline tác dụng với FeCl3
Phản ứng xảy ra trong môi trường acid (thường là HCl).
3. Cách tiến hành thí nghiệm aniline tác dụng với FeCl3
- Bước 1: Cho aniline vào ống nghiệm.
- Bước 2: Thêm dung dịch HCl vào ống nghiệm chứa aniline.
- Bước 3: Thêm dung dịch FeCl3 vào ống nghiệm trên.
4. Hiện tượng phản ứng aniline tác dụng với FeCl3
- Aniline tan trong dung dịch HCl tạo dung dịch không màu. Sau đó, phản ứng với FeCl3 làm cho dung dịch chuyển màu xanh lục.
5. Tính chất hóa học của aniline
5.1. Bị oxi hóa bởi oxygen:
- Để lâu trong không khí, aniline chuyển sang màu đen vì bị oxi hóa bởi oxygen trong không khí.
5.2. Tính base:
- Aniline phản ứng với acid mạnh tạo thành ion anilium
C6H5NH2 + HCl → C6H5NH3+Cl-
5.3. Phản ứng với nitrous acid:
C6H5NH2 + HNO2 + HCl → C6H5N2Cl + 2H2O
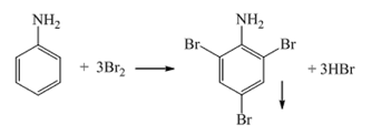
5.4. Phản ứng thế ở nhân thơm:
6. Bài tập minh họa aniline tác dụng với FeCl3
Câu 1. Kết tủa xuất hiện khi nhỏ dung dịch bromine vào
A. ethyl alcohol.
B. benzene.
C. aniline.
D. acetic acid.
Hướng dẫn giải
Đáp án đúng là: B
C6H5-NH2 + 3Br2 → C6H2(Br)3-NH2↓ + 3HBr
Câu 2. Aniline và phenol đều có phản ứng với
A. dd NaOH.
B. dd HCl.
C. dd NaCl.
D. nước Br2.
Hướng dẫn giải
Đáp án đúng là: D
Câu 3. Hiện tượng khi cho aniline tác dụng với nước bromine là:
A. Mất màu bromine, không kết tủa.
B. Xuất hiện kết tủa trắng.
C. Xuất hiện kết tủa vàng.
D. Không có phản ứng.
Hướng dẫn giải
Đáp án đúng là: C
Câu 4. Để phân biệt aniline và ethylamine đựng trong 2 lọ riêng biệt, ta dùng thuốc thử nào sau đây?
A. Dung dịch Br2.
B. Dung dịch HCl.
C. Dung dịch NaOH.
D. Dung dịch AgNO3.
Hướng dẫn giải
Đáp án đúng là: A
Aniline phản ứng với nước Br2, tạo kết tủa trắng H2NC6H2Br3.
Câu 5. Cho các phát biểu về tính chất hóa học của dung dịch aniline:
a) Dung dịch aniline làm quỳ tím chuyển sang màu xanh.
b) Dung dịch aniline tạo kết tủa trắng khi thêm vào nước bromine.
c) Aniline phản ứng với HCl tạo phenylammonium chloride.
d) Aniline phản ứng với HNO2 tạo muối phenyldiazonium.
Số phát biểu đúng là:
A. 1.
B. 2.
C. 3.
D. 4.
Hướng dẫn giải
Đáp án đúng là: C
Các phát biểu đúng là b, c, d.
Câu 6. Cho m gam anilin tác dụng vừa đủ với 200ml dung dịch Br2 1,5M, thu được x gam kết tủa. Giá trị của x là
A. 33,3.
B. 33,0.
C. 99,9.
D. 99,0.
Hướng dẫn giải
Đáp án đúng là: D
PTHH:
Câu 7. Có ba chất lỏng: benzene, aniline và styrene đựng riêng biệt trong ba lọ mất nhãn. Thuốc thử để nhận biết ba chất lỏng trên là:
A. Nước bromine.
B. Giấy quỳ tím.
C. Dung dịch phenolphtalein.
D. Dung dịch NaOH.
Hướng dẫn giải
Đáp án đúng là: A
- Styrene làm mất màu nước bromine
C6H5 – CH = CH2 + Br2 → C6H5 – CHBr – CH2Br
- Aniline tạo kết tủa trắng:
C6H5-NH2 + 3Br2 → C6H2(Br)3-NH2↓ + 3HBr
- Benzene không có hiện tượng gì.
Câu 8. Cho các phát biểu sau
(a) Peptide mạch hở phân tử chứa 2 liên kết peptide -CO-NH- được gọi là dipeptide.
(b) Trong dung dịch, glucose tồn tại chủ yếu ở dạng mạch vòng 6 cạnh (dạng α và dạng β).
(c) Aniline tham gia phản ứng thế brom vào nhân thơm dễ hơn benzene.
(d) Sản phẩm thủy phân cellulose (xúc tác H+, nhiệt độ) có thể tham gia phản ứng tráng bạc.
(e) Phenyl acetate được điều chế bằng phản ứng giữa phenol và acetic acid.
Số phát biểu đúng là
A. 2
B. 3
C. 4
D. 5
Hướng dẫn giải
Đáp án đúng là: B
(a) Sai, dipeptide chứa 1 -CO-NH-
(b) Đúng
(c) Đúng, do nhóm NH2 đẩy electron mạnh.
(d) Đúng
(e) Sai, điều chế từ phản ứng với C6H5OH với (CH3CO)2O hoặc CH3COCl
Xem thêm các phương trình hóa học hay khác:
Sách VietJack thi THPT quốc gia 2025 cho học sinh 2k7:
- Đề thi lớp 1 (các môn học)
- Đề thi lớp 2 (các môn học)
- Đề thi lớp 3 (các môn học)
- Đề thi lớp 4 (các môn học)
- Đề thi lớp 5 (các môn học)
- Đề thi lớp 6 (các môn học)
- Đề thi lớp 7 (các môn học)
- Đề thi lớp 8 (các môn học)
- Đề thi lớp 9 (các môn học)
- Đề thi lớp 10 (các môn học)
- Đề thi lớp 11 (các môn học)
- Đề thi lớp 12 (các môn học)
- Giáo án lớp 1 (các môn học)
- Giáo án lớp 2 (các môn học)
- Giáo án lớp 3 (các môn học)
- Giáo án lớp 4 (các môn học)
- Giáo án lớp 5 (các môn học)
- Giáo án lớp 6 (các môn học)
- Giáo án lớp 7 (các môn học)
- Giáo án lớp 8 (các môn học)
- Giáo án lớp 9 (các môn học)
- Giáo án lớp 10 (các môn học)
- Giáo án lớp 11 (các môn học)
- Giáo án lớp 12 (các môn học)
Giải bài tập SGK & SBT
Tài liệu giáo viên
Sách
Khóa học
Thi online
Hỏi đáp



