Cách nhận biết phenol nhanh nhất
Cách nhận biết phenol
Phenol là những hợp chất hữu cơ trong phân tử có nhóm -OH liên kết trực tiếp với nguyên tử cacbon của vòng benzene. Để nhận biết phenol ta cần sử dụng thuốc thử gì? Phương trình hóa học viết như thế nào? Hiện tượng ra sao? Bài viết dưới đây sẽ giúp bạn trả lời các câu hỏi này.
I. Cách nhận biết phenol
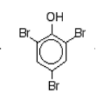
- Để nhận biết phenol ta dùng dung dịch brom.
- Hiện tượng: Dung dịch brom mất màu, xuất hiện kết tủa trắng.

- Phương trình phản ứng:

Kết tủa trắng là: 2,4,6 – tribromphenol
II. Mở rộng
- Ngoài phản ứng thế H của vòng benzene, phenol có phản ứng thế H của nhóm - OH, như:
+ Tác dụng với kim loại kiềm, giải phóng H2:
2C6H5OH + 2Na
2C6H5ONa + H2 ↑
+ Tác dụng với dung dịch kiềm thu được muối và nước:
C6H5OH + NaOH → C6H5ONa + H2O
- Phenol có tính axit, tuy nhiên tính axit của phenol rất yếu. Dung dịch phenol không làm đổi màu quỳ tím.
III. Bài tập nhận biết phenol
Bài 1:Có 3 chất lỏng benzene, phenol, styrene đựng trong 3 lọ mất nhãn riêng biệt. Thuốc thử để phân biệt 3 chất lỏng trên là
A. Nước brom
B. Dung dịch NaOH
C. Giấy quỳ tím
D. Dung dịch phenolptalein.
Đáp án A
Trích mẫu thử của 3 dung dịch lần lượt ra 3 ống nghiệm có đánh số.
Nhỏ dung dịch nước brom lần lượt vào 3 mẫu thử.
- Mẫu thử làm mất màu dung dịch nước brom là styrene.
C6H5-CH=CH2 + Br2 → C6H5-CHBr-CH2Br
- Mẫu thử làm mất màu dung dịch nước brom và xuất hiện kết tủa trắng là phenol.
C6H5OH + 3Br2 →
+ 3HBr
- Mẫu thử không có hiện tượng gì là benzene.
Bài 2: Có 3 chất lỏng riêng biệt: ethyl alcohol, glycerol và phenol. Thuốc thử để nhận biết 3 chất lỏng đó là:
A. Na và dung dịch Brom
B. Dung dịch NaOH và Cu(OH)2/OH-
C. Na và Cu(OH)2/OH-
D. Dung dịch Brom và Cu(OH)2/OH-
Hướng dẫn giải
Đáp án D
Trích mẫu thử của ba chất lỏng ra ba ống nghiệm có đánh số.
Nhỏ dung dịch brom lần lượt vào từng mẫu thử.
+ Mẫu thử tạo kết tủa trắng là phenol.
C6H5OH + 3Br2 →
+ 3HBr
+ Không có hiện tượng gì là ethyl alcohol và glycerol.
- Lấy một lượng nhỏ Cu(OH)2/OH- cho ra hai ống nghiệm có đánh số. Nhỏ lần lượt hai dung dịch còn lại vào từng ống nghiệm. Ống nghiệm thấy kết tủa tan và tạo phức màu xanh lam đặc trưng thì mẫu thử là glycerol.
2C3H5(OH)3 + Cu(OH)2 → [C3H5(OH)2O]2Cu(xanh lam) + 2H2O
Không có hiện tượng gì là ethyl alcohol.
Xem thêm cách nhận biết các chất hóa học nhanh, chi tiết khác:
Sách VietJack thi THPT quốc gia 2025 cho học sinh 2k7:
- Đề thi lớp 1 (các môn học)
- Đề thi lớp 2 (các môn học)
- Đề thi lớp 3 (các môn học)
- Đề thi lớp 4 (các môn học)
- Đề thi lớp 5 (các môn học)
- Đề thi lớp 6 (các môn học)
- Đề thi lớp 7 (các môn học)
- Đề thi lớp 8 (các môn học)
- Đề thi lớp 9 (các môn học)
- Đề thi lớp 10 (các môn học)
- Đề thi lớp 11 (các môn học)
- Đề thi lớp 12 (các môn học)
- Giáo án lớp 1 (các môn học)
- Giáo án lớp 2 (các môn học)
- Giáo án lớp 3 (các môn học)
- Giáo án lớp 4 (các môn học)
- Giáo án lớp 5 (các môn học)
- Giáo án lớp 6 (các môn học)
- Giáo án lớp 7 (các môn học)
- Giáo án lớp 8 (các môn học)
- Giáo án lớp 9 (các môn học)
- Giáo án lớp 10 (các môn học)
- Giáo án lớp 11 (các môn học)
- Giáo án lớp 12 (các môn học)
Giải bài tập SGK & SBT
Tài liệu giáo viên
Sách
Khóa học
Thi online
Hỏi đáp



