Sách Trọng tâm Toán, Anh, Khoa học tự nhiên 8
Nhằm mục đích giúp học sinh lớp 8 có thêm tài liệu tham khảo, Tập thể Giáo viên VietJack biên soạn sách Trọng tâm Toán, Anh, Khoa học tự nhiên 8 bám sát chương trình mới của các bộ sách Kết nối tri thức, Chân trời sáng tạo, Cánh diều. Mời các bạn đón xem:
Sách Trọng tâm Toán, Anh, Khoa học tự nhiên 8
Để mua sách Trọng tâm Toán, Anh, Khoa học tự nhiên 8, mời bạn xem thử:
Giới thiệu sách Trọng tâm Toán, Anh, Khoa học tự nhiên 8
- Tên sách: Trọng tâm Toán, Anh, Khoa học tự nhiên 8
- Tác giả: Nhóm tác giả VietJack
- Đối tượng sử dụng:
Sách dành cho tất cả học sinh lớp 8 muốn ôn luyện tất cả các kiến thức môn Toán, Anh, Khoa học tự nhiên;
Tài liệu ôn thi học sinh giỏi lớp 8;
Tài liệu tham khảo cho các Thầy Cô giáo.
Nội dung sách Trọng tâm Toán, Anh, Khoa học tự nhiên 8
Cuốn sách Trọng tâm Toán, Anh, Khoa học tự nhiên 8 khái quát lại toàn bộ kiến thức trọng tâm môn Toán, Anh, Khoa học tự nhiên 8 với các bài tập & câu hỏi đa dạng của các dạng thức: câu hỏi trắc nghiệm 4 phương án, câu hỏi trắc nghiệm đúng - sai, câu hỏi trả lời ngắn có lời giải chi tiết.
Cuốn sách gồm 3 phần, trong đó:
1/ Môn Toán
- Chủ đề 1. Đa thức
- Chủ đề 2. Những hằng đẳng thức đáng nhớ
- Chủ đề 3. Phân thức đại số
- Chủ đề 4. Phương trình bậc nhất và hàm số bậc nhất
- Chủ đề 5. Dữ liệu và biểu đồ
- Chủ đề 6. Mở đầu về tính xác suất của biến cố
- Chủ đề 7. Tứ giác
- Chủ đề 8. Định lí Thalès
- Chủ đề 9. Tam giác đồng dạng
- Chủ đề 10. Một số hình khối trong thực tiễn
2/ Môn Tiếng Anh
- Phần 1. Ngữ pháp
- Phần 2. Ngữ âm
- Phần 3. Từ vựng
3/ Môn Khoa học tự nhiên
- Chương 1. Phản ứng hoá học
- Chương 2. Một số hợp chất thông dụng
- Chương 3. Khối lượng riêng và áp suất
- Chương 4. Tác dụng làm quay của lực
- Chương 5. Điện
- Chương 6. Nhiệt
- Chương 7. Sinh học cơ thể người
- Chương 8. Sinh vật và môi trường
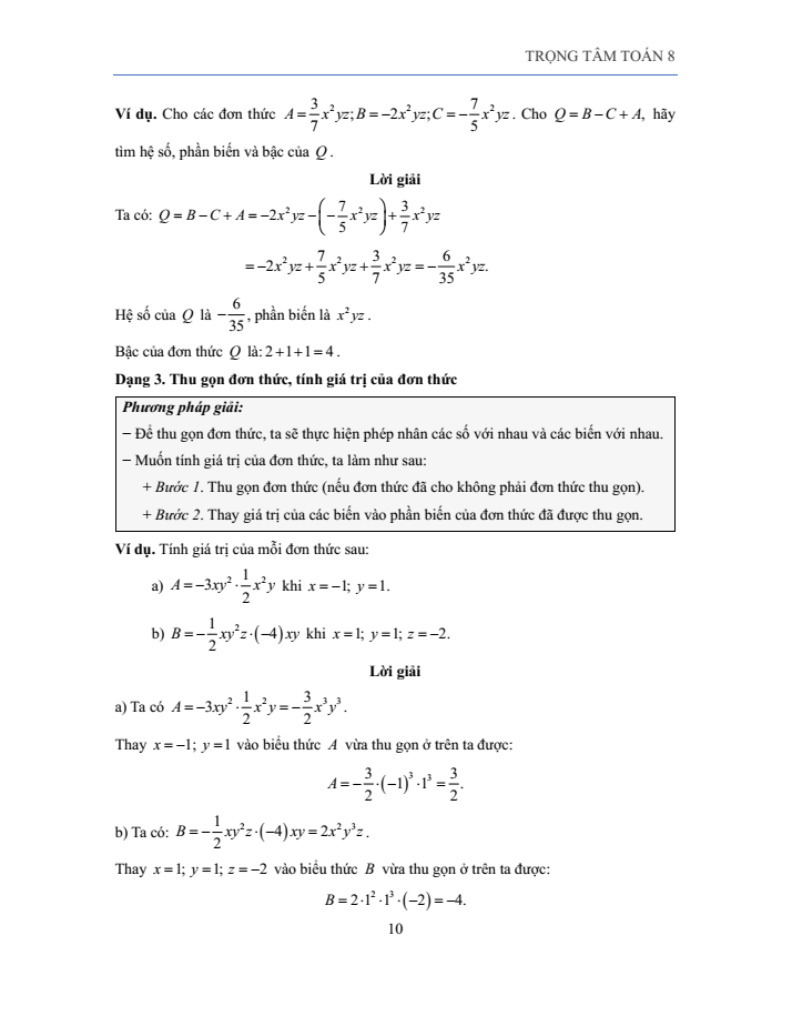
Một số hình ảnh sách Trọng tâm Toán, Anh, Khoa học tự nhiên 8
................................
................................
................................
Bài viết trên giới thiệu sơ lược cuốn sách Trọng tâm Toán, Anh, Khoa học tự nhiên 8. Để có thêm tài liệu tham khảo để học tốt môn Toán, Anh, Khoa học tự nhiên lớp 8, mời bạn mua sách tại:
Xem thêm các bộ sách tham khảo lớp 8 hay khác:
Tủ sách VIETJACK shopee lớp 6-8 (2025):
Đã có app VietJack trên điện thoại, giải bài tập SGK, SBT Soạn văn, Văn mẫu, Thi online, Bài giảng....miễn phí. Tải ngay ứng dụng trên Android và iOS.
Theo dõi chúng tôi miễn phí trên mạng xã hội facebook và youtube:Loạt bài Từ vựng, Ngữ pháp, Bài tập Tiếng Anh lớp 6 có đáp án được biên soạn bám sát nội dung sách giáo khoa Tiếng Anh 6.
Nếu thấy hay, hãy động viên và chia sẻ nhé! Các bình luận không phù hợp với nội quy bình luận trang web sẽ bị cấm bình luận vĩnh viễn.
- Giáo án lớp 1 (các môn học)
- Giáo án lớp 2 (các môn học)
- Giáo án lớp 3 (các môn học)
- Giáo án lớp 4 (các môn học)
- Giáo án lớp 5 (các môn học)
- Giáo án lớp 6 (các môn học)
- Giáo án lớp 7 (các môn học)
- Giáo án lớp 8 (các môn học)
- Giáo án lớp 9 (các môn học)
- Giáo án lớp 10 (các môn học)
- Giáo án lớp 11 (các môn học)
- Giáo án lớp 12 (các môn học)
- Đề thi lớp 1 (các môn học)
- Đề thi lớp 2 (các môn học)
- Đề thi lớp 3 (các môn học)
- Đề thi lớp 4 (các môn học)
- Đề thi lớp 5 (các môn học)
- Đề thi lớp 6 (các môn học)
- Đề thi lớp 7 (các môn học)
- Đề thi lớp 8 (các môn học)
- Đề thi lớp 9 (các môn học)
- Đề thi lớp 10 (các môn học)
- Đề thi lớp 11 (các môn học)
- Đề thi lớp 12 (các môn học)


Giải bài tập SGK & SBT
Tài liệu giáo viên
Sách
Khóa học
Thi online
Hỏi đáp

