Giải SBT Hóa học 10 trang 38 Kết nối tri thức
Với Giải SBT Hóa học 10 trang 38 trong Bài 14: Ôn tập chương 3 Sách bài tập Hóa 10 Kết nối tri thức hay nhất, chi tiết sẽ giúp học sinh dễ dàng trả lời các câu hỏi & làm bài tập Hóa học 10 trang 38.
Giải SBT Hóa học 10 trang 38 Kết nối tri thức
Bài 14.13 trang 38 SBT Hóa học 10: Tính số liên kết σ và liên kết π trong các phân tử sau:
a) C2H4;
b) C2H2;
c) HCN;
d) HCOOH.
Lời giải:
a) C2H4 có 5 liên kết σ và 1 liên kết π.
b) C2H2 có 3 liên kết σ và 2 liên kết π.
c) HCN có 2 liên kết σ và 2 liên kết π.
d) HCOOH có 4 liên kết σ và 1 liên kết π.
Bài 14.14 trang 38 SBT Hóa học 10: Dựa vào giá trị của độ âm điện ở Bảng 6.2 trong sách giáo khoa Hóa học 10, hãy nêu bản chất liên kết trong các phân tử và ion sau: HClO, KHS, HCO3-, K2SO4.
Lời giải:
Bản chất các liên kết phụ thuộc vào hiệu độ âm điện giữa hai nguyên tử của hai nguyên tố tạo liên kết. Viết công thức cấu tạo các phân tử và tính hiệu độ âm điện để suy ra bản chất liên kết.
H-Cl=O có hiệu độ âm điện H-Cl là 0,96 ⇒ Liên kết cộng hóa trị phân cực;
Cl-O là 0,28 ⇒ Liên kết cộng hóa trị không phân cực.
K+ và [S-H]- có hiệu độ âm điện K và S là 1,76 ⇒ liên kết ion;
S-H là 0,38 ⇒ liên kết cộng hóa trị phân cực.
có hiệu độ âm điện H và O là 1,24 ⇒ liên kết cộng hóa trị phân cực;
C-O có hiệu độ âm điện là 0,89 ⇒ liên kết cộng hóa trị phân cực.
* K+ và có hiệu độ âm điện K-O là 2,62 ⇒ liên kết ion;
S-O là 1,54 ⇒ liên kết cộng hóa trị phân cực.
Bài 14.15 trang 38 SBT Hóa học 10: Cho dãy các chất kèm theo nhiệt độ sôi (oC) sau:
HF (19,5); HCl (-85); HBr (-66); HI (-35).
a) Nêu xu hướng biến đổi nhiệt độ sôi trong dãy chất trên.
b) Đề xuất lí do nhiệt độ sôi của HF không theo xu hướng này.
Lời giải:
a) Nhiệt độ sôi của HF cao hơn hẳn so với HCl, HBr, HI.
Sự tăng nhiệt độ sôi từ HCl đến HI do khối lượng phân tử tăng.
b) HF có liên kết hydrogen làm cho các phân tử liên kết với nhau chặt chẽ hơn nên nhiệt độ sôi cao hơn hẳn so với HCl, HBr, HI.
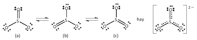
Bài 14.16 trang 38 SBT Hóa học 10: Cho biết tổng số electron trong anion là 42
Trong các hạt nhân A cũng như B có số proton bằng số neutron.
a) Tính số khối của A, B
b) Đề xuất cấu tạo Lewis cho anion AB32- sao cho phù hợp với quy tắc octet.
Lời giải:
a) Coi x và y là số proton (số electron) ở nguyên tử A và B tương ứng.
Ta có: x + 3y = 42 - 2 = 40 ⇒ y < = 13,33.
B thuộc chu kì 2 và là một phi kim (tạo anion) nên B chỉ có thể là F, O hoặc N.
- Nếu B là F thì y = 9, trong AF32- có A với số oxi hóa bằng +1
⇒ x = 40 – (3.9) = 13 ~ Al (không hợp lí vì Al không có số oxi hóa bằng +1)
- Khi B là O thì = = 8, trong AO32- có A với số oxi hóa bằng +4
⇒ x = 40 – (3.8) = 16 ~ S (lưu huỳnh) ⇒ Anion là SO32-
- Khi B là N thì y = 7, trong AN32- có A với số oxi hóa bằng +7
⇒ x = 40 – (3.7) = 19 ~ K (không hợp lí vì K không có số oxi hóa bằng +7).
b) Cấu tạo Lewis:
Bài 14.17 trang 38 SBT Hóa học 10: Hợp chất X được sử dụng làm thuốc pháo, ngòi nổ, thuốc đầu diêm, thuốc giúp nhãn ra hoa, … X có khối lượng mol bằng 122,5 g/mol, chứa ba nguyên tố, trong đó nguyên tố s có 7 electron s, nguyên tố p có 11 electron p và nguyên tố p có 4 electron p. Thành phần phần trăm khối lượng nguyên tố có 4 electron p trong X bằng 39,19%.
a) Xác định công thức phân tử của X.
b) Viết công thức cấu tạo Lewis, chỉ rõ loại liên kết có trong X.
Lời giải:
a) Nguyên tố s có 7 electron s là K (1s22s22p63s23p64s1);
Nguyên tố p có 11 electron p là Cl (1s22s22p63s23p5);
Nguyên tố p có 4 electron p là O (1s22s22p4);
Khối lượng O trong X là: 122,5.0,3919 ≈ 48 (amu) ứng với 3 nguyên tử O.
Công thức X có dạng KxClyO3.
Theo bài ra ta có: 39x + 35,5y = 122,5 – 48 = 74,5
⇒ x = y = 1 ⇒ Công thức X: KClO3.
b) Cấu tạo X:
Gồm liên kết K+ và ClO3- là liên kết ion; liên kết đơn Cl-O và liên kết kép Cl=O là các liên kết công hóa trị phân cực
Lời giải SBT Hóa 10 Bài 14: Ôn tập chương 3 hay khác:
Xem thêm lời giải Sách bài tập Hóa học lớp 10 Kết nối tri thức hay, chi tiết khác:
- SBT Hóa 10 Bài 15: Phản ứng oxi hóa - khử
- SBT Hóa 10 Bài 16: Ôn tập chương 4
- SBT Hóa 10 Bài 17: Biến thiên enthalpy trong các phản ứng hóa học
- SBT Hóa 10 Bài 18: Ôn tập chương 5
- SBT Hóa 10 Bài 19: Tốc độ phản ứng
Xem thêm các tài liệu học tốt lớp 10 hay khác:
- Giải sgk Hóa học 10 Kết nối tri thức
- Giải Chuyên đề Hóa học 10 Kết nối tri thức
- Giải SBT Hóa học 10 Kết nối tri thức
- Giải lớp 10 Kết nối tri thức (các môn học)
- Giải lớp 10 Chân trời sáng tạo (các môn học)
- Giải lớp 10 Cánh diều (các môn học)
Tủ sách VIETJACK shopee lớp 10-11 (cả 3 bộ sách):
Đã có app VietJack trên điện thoại, giải bài tập SGK, SBT Soạn văn, Văn mẫu, Thi online, Bài giảng....miễn phí. Tải ngay ứng dụng trên Android và iOS.
Theo dõi chúng tôi miễn phí trên mạng xã hội facebook và youtube:Nếu thấy hay, hãy động viên và chia sẻ nhé! Các bình luận không phù hợp với nội quy bình luận trang web sẽ bị cấm bình luận vĩnh viễn.
- Soạn văn 10 (hay nhất) - KNTT
- Soạn văn 10 (ngắn nhất) - KNTT
- Soạn văn 10 (siêu ngắn) - KNTT
- Giải sgk Toán 10 - KNTT
- Giải Tiếng Anh 10 Global Success
- Giải Tiếng Anh 10 Friends Global
- Giải sgk Tiếng Anh 10 iLearn Smart World
- Giải sgk Tiếng Anh 10 Explore New Worlds
- Giải sgk Vật lí 10 - KNTT
- Giải sgk Hóa học 10 - KNTT
- Giải sgk Sinh học 10 - KNTT
- Giải sgk Địa lí 10 - KNTT
- Giải sgk Lịch sử 10 - KNTT
- Giải sgk Kinh tế và Pháp luật 10 - KNTT
- Giải sgk Tin học 10 - KNTT
- Giải sgk Công nghệ 10 - KNTT
- Giải sgk Hoạt động trải nghiệm 10 - KNTT
- Giải sgk Giáo dục quốc phòng 10 - KNTT


Giải bài tập SGK & SBT
Tài liệu giáo viên
Sách
Khóa học
Thi online
Hỏi đáp

