Trong cấu trúc phân tử của chất cho ở hình bên, liên kết peptide là
Sách bài tập Hóa học 12 Cánh diều Bài 7: Peptide, protein và enzyme
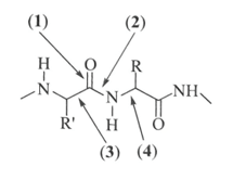
Bài 7.2 trang 23 Sách bài tập Hóa học 12: Trong cấu trúc phân tử của chất cho ở hình bên, liên kết peptide là
A. liên kết (1).
B. liên kết (3).
C. liên kết (2).
D. liên kết (4).
Lời giải:
Đáp án đúng là: C
Liên kết peptide là liên kết giữa nhóm C=O của α-amino acid này với nguyên tử N thuộc nhóm amino của α-amino acid khác.
Lời giải SBT Hóa 12 Bài 7: Peptide, protein và enzyme hay khác:
Bài 7.1 trang 23 Sách bài tập Hóa học 12: Cho các chất có công thức cấu tạo sau: ....
Bài 7.4 trang 24 Sách bài tập Hóa học 12: Cho peptide X có công thức cấu tạo sau: ....
Bài 7.9 trang 25 Sách bài tập Hóa học 12: Mỗi phát biểu về các protein sau đây là đúng hay sai? ....
Xem thêm các bài giải sách bài tập Hóa học lớp 12 Cánh diều hay, chi tiết khác:
Xem thêm các tài liệu học tốt lớp 12 hay khác:
- Giải sgk Hóa học 12 Cánh diều
- Giải Chuyên đề học tập Hóa 12 Cánh diều
- Giải SBT Hóa học 12 Cánh diều
- Giải lớp 12 Cánh diều (các môn học)
- Giải lớp 12 Kết nối tri thức (các môn học)
- Giải lớp 12 Chân trời sáng tạo (các môn học)
Đã có app VietJack trên điện thoại, giải bài tập SGK, SBT Soạn văn, Văn mẫu, Thi online, Bài giảng....miễn phí. Tải ngay ứng dụng trên Android và iOS.
Theo dõi chúng tôi miễn phí trên mạng xã hội facebook và youtube:Nếu thấy hay, hãy động viên và chia sẻ nhé! Các bình luận không phù hợp với nội quy bình luận trang web sẽ bị cấm bình luận vĩnh viễn.
- Soạn văn 12 Cánh diều (hay nhất)
- Soạn văn 12 Cánh diều (ngắn nhất)
- Giải sgk Toán 12 Cánh diều
- Giải Tiếng Anh 12 Global Success
- Giải sgk Tiếng Anh 12 Smart World
- Giải sgk Tiếng Anh 12 Friends Global
- Giải sgk Vật Lí 12 - Cánh diều
- Giải sgk Hóa học 12 - Cánh diều
- Giải sgk Sinh học 12 - Cánh diều
- Giải sgk Lịch Sử 12 - Cánh diều
- Giải sgk Địa Lí 12 - Cánh diều
- Giải sgk Giáo dục KTPL 12 - Cánh diều
- Giải sgk Tin học 12 - Cánh diều
- Giải sgk Công nghệ 12 - Cánh diều
- Giải sgk Hoạt động trải nghiệm 12 - Cánh diều
- Giải sgk Giáo dục quốc phòng 12 - Cánh diều
- Giải sgk Âm nhạc 12 - Cánh diều


Giải bài tập SGK & SBT
Tài liệu giáo viên
Sách
Khóa học
Thi online
Hỏi đáp

