Tính giá trị của các biểu thức trang 25 SBT Toán 11 Tập 2
Giải sách bài tập Toán 11 Bài tập cuối chương 6 - Chân trời sáng tạo
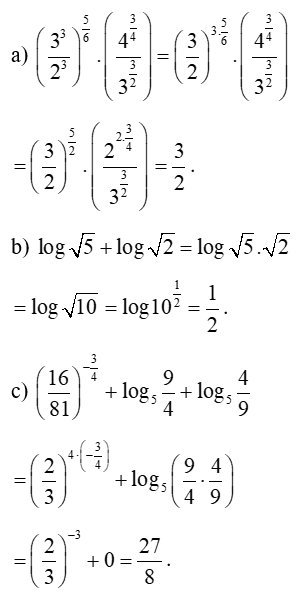
Bài 1 trang 25 SBT Toán 11 Tập 2: Tính giá trị của các biểu thức
a) ;
b) ;
c) ;
d) .
Lời giải:
d)
=
= = 4
Lời giải SBT Toán 11 Bài tập cuối chương 6 hay khác:
Câu 1 trang 24 SBT Toán 11 Tập 2: Biết rằng 2a = 9. Tính giá trị của các biểu thức ....
Câu 2 trang 24 SBT Toán 11 Tập 2: Giá trị của biểu thức 2 log5 10 + log5 0,25 bằng ....
Câu 3 trang 24 SBT Toán 11 Tập 2: Cho x, y là số dương. Khẳng định nào sau đây là đúng? ....
Câu 4 trang 24 SBT Toán 11 Tập 2: Biết rằng x = log3 6 + log9 4. Giá trị của biểu thức 3x bằng ....
Câu 5 trang 24 SBT Toán 11 Tập 2: Giá trị của biểu thức (log2 25)(log5 8) bằng ....
Câu 6 trang 24 SBT Toán 11 Tập 2: Đặt log 3 = a, log 5 = b. Khi đó log15 50 bằng ....
Câu 8 trang 24 SBT Toán 11 Tập 2: Cho ba số . Khẳng định nào sau đây đúng? ....
Câu 9 trang 24 SBT Toán 11 Tập 2: Cho 0 < a < 1, x = , y = , z = . Khẳng định nào sau đây đúng? ....
Câu 10 trang 25 SBT Toán 11 Tập 2: Cho ba số . Khẳng định nào sau đây đúng? ....
Câu 12 trang 25 SBT Toán 11 Tập 2: Tập nghiệm của bất phương trình 0,33x – 1 > 0,09 là ....
Câu 14 trang 25 SBT Toán 11 Tập 2: Giải phương trình log5 (4x + 5) = 2 + log5 (x - 4) ....
Bài 2 trang 25 SBT Toán 11 Tập 2: Biết rằng x log5 4 = 1. Tìm giá trị của biểu thức 4x + 4–x ....
Bài 4 trang 25 SBT Toán 11 Tập 2: Giải các phương trình sau: a) ; ....
Bài 5 trang 25 SBT Toán 11 Tập 2: Giải các bất phương trình sau: a) 322x ≥ 64x – 2 ; ....
Bài 6 trang 25 SBT Toán 11 Tập 2: Tính giá trị của biểu thức: A = ....
Xem thêm lời giải Sách bài tập Toán 11 Chân trời sáng tạo hay, chi tiết khác:
Xem thêm các tài liệu học tốt lớp 11 hay khác:
- Giải sgk Toán 11 Chân trời sáng tạo
- Giải Chuyên đề học tập Toán 11 Chân trời sáng tạo
- Giải SBT Toán 11 Chân trời sáng tạo
- Giải lớp 11 Chân trời sáng tạo (các môn học)
- Giải lớp 11 Kết nối tri thức (các môn học)
- Giải lớp 11 Cánh diều (các môn học)
Tủ sách VIETJACK shopee lớp 10-11 (cả 3 bộ sách):
Đã có app VietJack trên điện thoại, giải bài tập SGK, SBT Soạn văn, Văn mẫu, Thi online, Bài giảng....miễn phí. Tải ngay ứng dụng trên Android và iOS.
Theo dõi chúng tôi miễn phí trên mạng xã hội facebook và youtube:Nếu thấy hay, hãy động viên và chia sẻ nhé! Các bình luận không phù hợp với nội quy bình luận trang web sẽ bị cấm bình luận vĩnh viễn.
- Soạn văn 11 (hay nhất) - CTST
- Soạn văn 11 (ngắn nhất) - CTST
- Giải sgk Toán 11 - CTST
- Giải Tiếng Anh 11 Global Success
- Giải sgk Tiếng Anh 11 Smart World
- Giải sgk Tiếng Anh 11 Friends Global
- Giải sgk Vật Lí 11 - CTST
- Giải sgk Hóa học 11 - CTST
- Giải sgk Sinh học 11 - CTST
- Giải sgk Lịch Sử 11 - CTST
- Giải sgk Địa Lí 11 - CTST
- Giải sgk Giáo dục KTPL 11 - CTST
- Giải sgk Hoạt động trải nghiệm 11 - CTST
- Giải sgk Âm nhạc 11 - CTST


Giải bài tập SGK & SBT
Tài liệu giáo viên
Sách
Khóa học
Thi online
Hỏi đáp

