Công thức, cách tính điện trở tương đương mắc song song (hay, chi tiết)
Công thức tính điện trở tương đương mắc song song Vật Lí lớp 9 sẽ giúp học sinh nắm vững công thức, biết Cách tính điện trở tương đương mắc song song từ đó có kế hoạch ôn tập hiệu quả để đạt kết quả cao trong các bài thi Vật Lí 9.
Bài viết Công thức tính điện trở tương đương mắc song song gồm 4 phần: Định nghĩa, Công thức, Kiến thức mở rộng và 3 Bài tập minh họa áp dụng công thức trong bài có lời giải chi tiết giúp học sinh dễ học, dễ nhớ Công thức tính điện trở tương đương mắc song song Vật Lí 9.
Công thức, cách tính điện trở tương đương mắc song song (hay, chi tiết)
1. Định nghĩa đoạn mạch song song
Đoạn mạch song song là đoạn mạch gồm các điện trở được mắc với nhau, giữa chúng có 2 điểm chung.

2. Cách tính điện trở tương đương mắc song song
Cấu trúc mạch:
R1 // R2 // ... // Rn
Khi đó:
Điện trở tương đương của mạch được tính như sau:

Cường độ dòng điện chạy trong mạch chính bằng tổng cường độ dòng điện chạy qua từng điện trở:
I = I1 + I2 + ... + In (A)
Hiệu điện thế của mạch bằng hiệu điện thế của từng điện trở:
U = U1 = U2 = ... = Un (V)

3. Bài tập minh họa tính điện trở tương đương mắc song song
Bài tập 1: Cho điện trở R1 = 6Ω và R2 = 12Ω. Mắc mạch điện như hình, U = 8V. Tìm I.

Hướng dẫn: Đây là bài toán về mạch song song cơ bản, chỉ cần áp dụng đúng công thức là sẽ tìm được yêu cầu của đề bài.
Cấu trúc mạch: R1 // R2

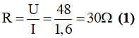
Bài tập 2: Cho sơ đồ mạch điện như hình vẽ. Biết R1 = 2.R2 = 3R3, hiệu điện thế giữa hai đầu AB là 48V. Tính R1, R2, R3 biết ampe kế chỉ 1,6A.

Lời giải:
Vì ampe kế đo cường độ dòng điện mạch chính nên ta có
Điện trở tương đương của toàn mạch là

Mà ba điện trở được mắc song song với nhau nên

Từ (1) và (2) => R3 = 60Ω => R2 = 90Ω, R1 = 180Ω
Xem thêm các Công thức Vật Lí lớp 9 quan trọng hay khác:
Đã có app VietJack trên điện thoại, giải bài tập SGK, SBT Soạn văn, Văn mẫu, Thi online, Bài giảng....miễn phí. Tải ngay ứng dụng trên Android và iOS.
Theo dõi chúng tôi miễn phí trên mạng xã hội facebook và youtube:Nếu thấy hay, hãy động viên và chia sẻ nhé! Các bình luận không phù hợp với nội quy bình luận trang web sẽ bị cấm bình luận vĩnh viễn.
- Đề thi lớp 1 (các môn học)
- Đề thi lớp 2 (các môn học)
- Đề thi lớp 3 (các môn học)
- Đề thi lớp 4 (các môn học)
- Đề thi lớp 5 (các môn học)
- Đề thi lớp 6 (các môn học)
- Đề thi lớp 7 (các môn học)
- Đề thi lớp 8 (các môn học)
- Đề thi lớp 9 (các môn học)
- Đề thi lớp 10 (các môn học)
- Đề thi lớp 11 (các môn học)
- Đề thi lớp 12 (các môn học)
- Giáo án lớp 1 (các môn học)
- Giáo án lớp 2 (các môn học)
- Giáo án lớp 3 (các môn học)
- Giáo án lớp 4 (các môn học)
- Giáo án lớp 5 (các môn học)
- Giáo án lớp 6 (các môn học)
- Giáo án lớp 7 (các môn học)
- Giáo án lớp 8 (các môn học)
- Giáo án lớp 9 (các môn học)
- Giáo án lớp 10 (các môn học)
- Giáo án lớp 11 (các môn học)
- Giáo án lớp 12 (các môn học)


Giải bài tập SGK & SBT
Tài liệu giáo viên
Sách
Khóa học
Thi online
Hỏi đáp

