Công thức tính tốc độ góc (hay, chi tiết)
Công thức tính tốc độ góc Vật Lí lớp 10 sẽ giúp học sinh nắm vững công thức, từ đó có kế hoạch ôn tập hiệu quả để đạt kết quả cao trong các bài thi Vật Lí 10.
Bài viết Công thức tính tốc độ góc hay nhất gồm 4 phần: Định nghĩa, Công thức, Kiến thức mở rộng và Bài tập minh họa áp dụng công thức trong bài có lời giải chi tiết giúp học sinh dễ học, dễ nhớ Công thức tính tốc độ góc Vật Lí 10.
Công thức tính tốc độ góc (hay, chi tiết)
1. Khái niệm tốc độ góc của chuyển động tròn
Tốc độ góc của chuyển động tròn là đại lượng đo bằng góc mà bán kính OM quét được trong một đơn vị thời gian. Tốc độ góc của chuyển động tròn đều là đại lượng không đổi.

2. Công thức tính tốc độ góc

Trong đó:
+ ω là tốc độ góc (rad/s)
+ Δα là góc mà bán kính quét được trong thời gian
3. Kiến thức mở rộng tính tốc độ góc
- Khi chất điểm quét được một vòng tròn thì thời gian để vật đi được một vòng gọi là chu kì chuyển động tròn đều, kí hiệu là T, đơn vị là giây (s).
- Số vòng mà vật đi được trong một giây gọi là tần số của chuyển động tròn đều, kí hiệu là f, đơn vị là vòng/s hoặc héc (Hz).
=> Ta có công thức liên hệ:
Trong đó:
+ v là tốc độ dài (m/s)
+ r là bán kính của vòng tròn vật chuyển động (m)
+ T là chu kì (s)
+ f là tần số (Hz)
+ aht là gia tốc hướng tâm (m/s2)


4. Bài tập minh họa tính tốc độ góc
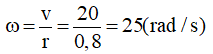
Câu 1: Một xe tải đang chuyển động thẳng đều có v = 72km/h có bánh xe có đường kính 80cm. Tính chu kì, tần số, tốc độ góc của đầu van xe?
Lời giải:
Vận tốc xe tải bằng tốc độ dài của đầu van: v = 72km/h = 20 m/s
Tốc độ góc:

Câu 2: Một đĩa đồng chất có dạng hình tròn có R = 30 cm đang quay tròn đều quanh trục của nó. Biết thời gian quay hết 1 vòng là 2s. Tính tốc độ góc của 2 điểm A, B nằm trên cùng 1 đường kính của đĩa. Biết điểm A nằm trên vành đĩa, điểm B nằm trên trung điểm giữa tâm O của vòng tròn và vành đĩa.
Lời giải:
Ta có: RA = 30 cm ⇒ RB = 15 cm
Tốc độ góc:
Xem thêm các Công thức Vật Lí lớp 10 quan trọng hay khác:
Đã có app VietJack trên điện thoại, giải bài tập SGK, SBT Soạn văn, Văn mẫu, Thi online, Bài giảng....miễn phí. Tải ngay ứng dụng trên Android và iOS.
Theo dõi chúng tôi miễn phí trên mạng xã hội facebook và youtube:Nếu thấy hay, hãy động viên và chia sẻ nhé! Các bình luận không phù hợp với nội quy bình luận trang web sẽ bị cấm bình luận vĩnh viễn.
- Đề thi lớp 1 (các môn học)
- Đề thi lớp 2 (các môn học)
- Đề thi lớp 3 (các môn học)
- Đề thi lớp 4 (các môn học)
- Đề thi lớp 5 (các môn học)
- Đề thi lớp 6 (các môn học)
- Đề thi lớp 7 (các môn học)
- Đề thi lớp 8 (các môn học)
- Đề thi lớp 9 (các môn học)
- Đề thi lớp 10 (các môn học)
- Đề thi lớp 11 (các môn học)
- Đề thi lớp 12 (các môn học)
- Giáo án lớp 1 (các môn học)
- Giáo án lớp 2 (các môn học)
- Giáo án lớp 3 (các môn học)
- Giáo án lớp 4 (các môn học)
- Giáo án lớp 5 (các môn học)
- Giáo án lớp 6 (các môn học)
- Giáo án lớp 7 (các môn học)
- Giáo án lớp 8 (các môn học)
- Giáo án lớp 9 (các môn học)
- Giáo án lớp 10 (các môn học)
- Giáo án lớp 11 (các môn học)
- Giáo án lớp 12 (các môn học)


Giải bài tập SGK & SBT
Tài liệu giáo viên
Sách
Khóa học
Thi online
Hỏi đáp

