76 bài tập xử gọn ứng dụng tích phân (ôn thi Tốt nghiệp)
76 bài tập xử gọn ứng dụng tích phân
Tài liệu 76 bài tập xử gọn ứng dụng tích phân có lời giải chi tiết giúp học sinh củng cố kiến thức, ôn luyện để chuẩn bị tốt cho kì thi THPT Quốc gia môn Toán năm 2021.
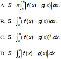
Câu 1. Công thức tính diện tích hình phẳng giới hạn bởi hai đồ thị hàm số y = f (x),y = g (x) liên tục trên [a; b] và hai đường thẳng x = a, x = b (a < b) là:

Câu 2. Diện tích S của hình phẳng giới hạn bởi đồ thị hàm số y = f (x), liên tục trên [a; b] trục hoành và hai đường thẳng x = a, x = b (a < b) cho bởi công thức:

Câu 3. Diện tích hình phẳng giới hạn bởi các đường y = x3 + 11x - 6, y = 6x2, x = 0, x = 2. (Đơn vị diện tích)

Câu 4. Diện tích hình phẳng giới hạn bởi y = x3, y = 4x là:
A. 8 B. 9
C. 12 D. 13
Câu 5. Cho hàm số y = f(x) liên tục và nhận giá trị không âm trên đoạn [a;b]. Diện tích hình thang cong giới hạn bởi đồ thị của y = f(x), trục hoành và hai đường thẳng x = a, x = b được tính theo công thức

Câu 6. Diện tích hình phẳng được giới hạn bởi đồ thị của hàm số y = f(x) liên tục trên đoạn [a;b], trục hoành và hai đường thẳng x = a, x = b được tính theo công thức

Câu 7. Diện tích hình phẳng được giới hạn bởi đồ thị các hàm số y = f(x), y = g(x) liên tục trên đoạn [a;b], trục hoành và hai đường thẳng x = a, x = b được tính theo công thức

Câu 8. Cho đồ thị hàm số y = f(x). Diện tích hình phẳng (phần tô đậm trong hình) là


Câu 9. Diện tích hình phẳng được giới hạn bởi đồ thị hàm số y = x3 , trục hoành và hai đường thẳng x = 1, x = 3 là
A. 19 B. 18
C. 20 D. 21
Câu 10. Diện tích hình phẳng được giới hạn bởi đồ thị hàm số y = √x , trục hoành và hai đường thẳng x = 1, x = 4 là

ĐÁP ÁN
1 |
2 |
3 |
4 |
5 |
6 |
7 |
8 |
9 |
10 |
11 |
12 |
13 |
14 |
15 |
16 |
17 |
18 |
19 |
20 |
D |
A |
B |
A |
A |
A |
C |
D |
C |
D |
B |
A |
D |
B |
B |
C |
C |
D |
B |
C |
21 |
22 |
23 |
24 |
25 |
26 |
27 |
28 |
29 |
30 |
31 |
32 |
33 |
34 |
35 |
36 |
37 |
38 |
39 |
40 |
C |
A |
A |
A |
B |
D |
D |
D |
C |
B |
B |
C |
A |
B |
C |
D |
B |
D |
C |
A |
41 |
42 |
43 |
44 |
45 |
46 |
47 |
48 |
49 |
50 |
51 |
52 |
53 |
54 |
55 |
56 |
57 |
58 |
59 |
60 |
C |
B |
B |
C |
B |
C |
D |
D |
D |
D |
B |
A |
A |
C |
D |
B |
A |
A |
C |
A |
61 |
62 |
63 |
64 |
65 |
66 |
67 |
68 |
69 |
70 |
71 |
72 |
73 |
74 |
75 |
76 |
||||
A |
D |
A |
B |
A |
D |
B |
C |
B |
D |
C |
D |
C |
A |
D |
B |
...................................................
...................................................
Để xem tài liệu đầy đủ, có đáp án chi tiết, bạn có thể tải xuống tài liệu ở đường dẫn bên dưới.
Xem thêm bộ tài liệu Toán lớp 12 ôn thi THPT Quốc gia chọn lọc, hay khác:
- 80 câu trắc nghiệm về Mặt cầu có đáp án
- 88 câu trắc nghiệm Khối đa diện tổng hợp
- 89 bài tập Phương trình mặt cầu có lời giải
- 100 bài tập tổng ôn Nguyên hàm, tích phân có lời giải
- 100 câu trắc nghiệm Nguyên hàm nắm chắc 8 điểm
Đã có app VietJack trên điện thoại, giải bài tập SGK, SBT Soạn văn, Văn mẫu, Thi online, Bài giảng....miễn phí. Tải ngay ứng dụng trên Android và iOS.
Theo dõi chúng tôi miễn phí trên mạng xã hội facebook và youtube:Nếu thấy hay, hãy động viên và chia sẻ nhé! Các bình luận không phù hợp với nội quy bình luận trang web sẽ bị cấm bình luận vĩnh viễn.
- Đề thi lớp 1 (các môn học)
- Đề thi lớp 2 (các môn học)
- Đề thi lớp 3 (các môn học)
- Đề thi lớp 4 (các môn học)
- Đề thi lớp 5 (các môn học)
- Đề thi lớp 6 (các môn học)
- Đề thi lớp 7 (các môn học)
- Đề thi lớp 8 (các môn học)
- Đề thi lớp 9 (các môn học)
- Đề thi lớp 10 (các môn học)
- Đề thi lớp 11 (các môn học)
- Đề thi lớp 12 (các môn học)
- Giáo án lớp 1 (các môn học)
- Giáo án lớp 2 (các môn học)
- Giáo án lớp 3 (các môn học)
- Giáo án lớp 4 (các môn học)
- Giáo án lớp 5 (các môn học)
- Giáo án lớp 6 (các môn học)
- Giáo án lớp 7 (các môn học)
- Giáo án lớp 8 (các môn học)
- Giáo án lớp 9 (các môn học)
- Giáo án lớp 10 (các môn học)
- Giáo án lớp 11 (các môn học)
- Giáo án lớp 12 (các môn học)


Giải bài tập SGK & SBT
Tài liệu giáo viên
Sách
Khóa học
Thi online
Hỏi đáp

