Bài tập Phương trình bậc hai với hệ số thực có lời giải (ôn thi Tốt nghiệp)
Bài tập Phương trình bậc hai với hệ số thực có lời giải
Tài liệu Bài tập Phương trình bậc hai với hệ số thực có lời giải có lời giải chi tiết giúp học sinh củng cố kiến thức, ôn luyện để chuẩn bị tốt cho kì thi THPT Quốc gia môn Toán năm 2021.
Câu 1. Trong C, phương trình 2x2 + x + 1 = 0 có nghiệm là:

Hướng dẫn giải:
Ta có:
nên phương trình có hai nghiệm phức là:

Vậy ta chọn đáp án A.
Câu 2. Khai căn bậc hai số phức z = -3 + 4i có kết quả:
A. z1 = 1 + 2i; z2 = -1 -2i
B. z1 = 1 + 2i; z2 = 1 -2i
C. z1 = 1 + 2i; z2 = -1 + 2i
D. z1 = -1 + 2i; z2 = -1 -2i
Hướng dẫn giải:
Giả sử w = x + yi (x, y ∈ R) là một căn bậc hai của số phức z = -3 + 4i.
Ta có:

Do đó z có hai căn bậc hai là:
z1 = 1 + 2i
z2 = -1 -2i
Ta chọn đáp án A.
Câu 3. Trong C, nghiệm của phương trình z3 - 8 = 0 là:

Hướng dẫn giải:
Sử dụng hằng đẳng thức số 7, ta có:

Ta chọn đáp án A.
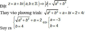
Câu 4. Trong C, phương trình |z| + z = 2 + 4i có nghiệm là:
A. z = -3 + 4iB. z = -2 + 4i
C. z = -4 + 4iD. z = -5 + 4i
Hướng dẫn giải:

Ta chọn đáp án A.
Câu 5. Hai giá trị x1 = a + bi ; x2 = a - bi là hai nghiệm của phương trình:
A. x2 + 2ax + a2 + b2 = 0
B. x2 + 2ax + a2 - b2 = 0
C. x2 - 2ax + a2 + b2 = 0
D. x2 - 2ax + a2 - b2 = 0
Hướng dẫn giải:
Áp dụng định lý đảo Viet:
Do đó x1, x2 là hai nghiệm của phương trình: x2 - Sx + P = 0 ⇔ x2 - 2ax + a2 + b2 = 0
Ta chọn đáp án A.
Câu 6. Trong C, phương trình z2 + 3iz + 4 = 0 có nghiệm là:

Ta chọn đáp án A.
Câu 7. Trong C, phương trình z2 - z + 1 = 0 có nghiệm là:

Ta chọn đáp án A.
ĐÁP ÁN
1 |
2 |
3 |
4 |
5 |
6 |
7 |
8 |
9 |
10 |
11 |
12 |
13 |
14 |
15 |
16 |
17 |
18 |
19 |
20 |
A |
A |
B |
A |
C |
B |
D |
B |
B |
A |
C |
D |
C |
A |
C |
D |
C |
B |
D |
D |
21 |
22 |
23 |
24 |
25 |
26 |
27 |
28 |
29 |
30 |
31 |
32 |
33 |
34 |
35 |
36 |
37 |
38 |
39 |
40 |
C |
D |
C |
B |
D |
A |
D |
A |
A |
D |
B |
C |
B |
D |
B |
A |
A |
B |
C |
C |
41 |
42 |
43 |
44 |
45 |
46 |
47 |
48 |
49 |
50 |
51 |
52 |
53 |
54 |
55 |
56 |
57 |
58 |
||
C |
B |
B |
C |
B |
C |
D |
D |
D |
D |
B |
A |
A |
C |
D |
B |
A |
A |
...................................................
...................................................
Để xem tài liệu đầy đủ, có đáp án chi tiết, bạn có thể tải xuống tài liệu ở đường dẫn bên dưới.
Xem thêm bộ tài liệu Toán lớp 12 ôn thi THPT Quốc gia chọn lọc, hay khác:
- Bộ 198 bài tập Lũy thừa, mũ, logarit cơ bản
- Tài liệu 100 bài tập Số phức tổng hợp
- Tuyển chọn 35 bài tập về Khoảng cách nắm chắc 8 điểm
- Tuyển chọn 71 bài tập Mặt nón, mặt trụ, mặt cầu có lời giải
- Tuyển chọn 90 bài tập Phương trình đường thẳng nắm chắc 8 điểm
Đã có app VietJack trên điện thoại, giải bài tập SGK, SBT Soạn văn, Văn mẫu, Thi online, Bài giảng....miễn phí. Tải ngay ứng dụng trên Android và iOS.
Theo dõi chúng tôi miễn phí trên mạng xã hội facebook và youtube:Nếu thấy hay, hãy động viên và chia sẻ nhé! Các bình luận không phù hợp với nội quy bình luận trang web sẽ bị cấm bình luận vĩnh viễn.
- Đề thi lớp 1 (các môn học)
- Đề thi lớp 2 (các môn học)
- Đề thi lớp 3 (các môn học)
- Đề thi lớp 4 (các môn học)
- Đề thi lớp 5 (các môn học)
- Đề thi lớp 6 (các môn học)
- Đề thi lớp 7 (các môn học)
- Đề thi lớp 8 (các môn học)
- Đề thi lớp 9 (các môn học)
- Đề thi lớp 10 (các môn học)
- Đề thi lớp 11 (các môn học)
- Đề thi lớp 12 (các môn học)
- Giáo án lớp 1 (các môn học)
- Giáo án lớp 2 (các môn học)
- Giáo án lớp 3 (các môn học)
- Giáo án lớp 4 (các môn học)
- Giáo án lớp 5 (các môn học)
- Giáo án lớp 6 (các môn học)
- Giáo án lớp 7 (các môn học)
- Giáo án lớp 8 (các môn học)
- Giáo án lớp 9 (các môn học)
- Giáo án lớp 10 (các môn học)
- Giáo án lớp 11 (các môn học)
- Giáo án lớp 12 (các môn học)


Giải bài tập SGK & SBT
Tài liệu giáo viên
Sách
Khóa học
Thi online
Hỏi đáp

