Công thức tọa độ đỉnh của parabol, tọa độ giao điểm của parabol với các trục tọa độ (siêu hay)
Công thức tọa độ đỉnh của parabol, tọa độ giao điểm của parabol với các trục tọa độ Toán lớp 10 sẽ giúp học sinh nắm vững công thức, biết cách làm bài tập từ đó có kế hoạch ôn tập hiệu quả để đạt kết quả cao trong các bài thi Toán 10.
- Lí thuyết tổng hợp tọa độ đỉnh của parabol, tọa độ giao điểm của parabol với các trục tọa độ
- Các công thức tọa độ đỉnh của parabol, tọa độ giao điểm của parabol với các trục tọa độ
- Ví dụ minh họa công thức tọa độ đỉnh của parabol, tọa độ giao điểm của parabol với các trục tọa độ
- Bài tập tự luyện công thức tọa độ đỉnh của parabol, tọa độ giao điểm của parabol với các trục tọa độ
Công thức tọa độ đỉnh của parabol, tọa độ giao điểm của parabol với các trục tọa độ (siêu hay)
I. Lí thuyết tổng hợp tọa độ đỉnh của parabol, tọa độ giao điểm của parabol với các trục tọa độ.
- Khái niệm đường parabol: Một đường parabol là một tập hợp các điểm trên mặt phẳng cách đều một điểm cho trước (tiêu điểm) và một đường thẳng cho trước (đường chuẩn).
- Phương trình Parabol có dạng: y = ax2 + bx + c
- Gọi I là đỉnh của Parabol ta có
( trong đó Δ = b2 - 4ac )
- Phương trình hoành độ giao điểm của hai đồ thị hàm số y = f(x) và y = g(x) là: f(x) = g(x).
- Gốc tọa độ có tọa độ là O(0; 0)
- Trục tung có phương trình: x = 0.
- Trục hoành có phương trình: y = 0
II. Các công thức tọa độ đỉnh của parabol, tọa độ giao điểm của parabol với các trục tọa độ:
Cho parabol (P): y = ax2 + bx + c, ta có:
- Tọa độ đỉnh I của Parabol là
(trong đó Δ = b2 - 4ac)
- Tọa độ giao điểm A của Parabol y = ax2 + bx + c với trục tung x = 0:
Thay x = 0 vào phương trình Parabol có: y = c => A (0; c)
- Tọa độ giao điểm B của Parabol y = ax2 + bx + c với trục hoành y = 0:
Hoành độ của B là nghiệm của phương trình ax2 + bx + c (1)
Nếu phương trình (1) vô nghiệm => không tồn tại điểm B
Nếu phương trình (1) có nghiệm kép => Parabol tiếp xúc với trục hoành tại B
Nếu phương trình (1) có hai nghiệm phân biệt => Parabol cắt trục hoành tại hai điểm 


III. Ví dụ minh họa công thức tọa độ đỉnh của parabol, tọa độ giao điểm của parabol với các trục tọa độ.
Bài 1: Cho parabol có phương trình y = x2 - 3x + 2. Xác định tọa độ đỉnh của Parabol.
Lời giải:
Gọi I là đỉnh của Parabol y = x2 - 3x + 2. Ta có:

Vậy đỉnh của parabol là 
Bài 2: Cho Parabol có phương trình y = -2x2 + 4x - 3. Tìm giao điểm của Parabol với trục tung và trục hoành.
Lời giải:
Gọi M là giao điểm của Parabol với trục tung.
Vì M cũng thuộc trung tung nên ta có M(0;yM)
Thay x = 0 vào y = -2x2 + 4x - 3 ta có: y = -2.0 + 4.0 – 3 = -3
=> M (0; -3)
Gọi N là giao điểm của Parabol với trục hoành.
Vì N cũng thuộc trục hoành nên ta có: N(xN;0)
Ta có phương trình hoành độ giao điểm của Parabol với trục hoành:
-2x2 + 4x - 3 = 0 (1)
Δ = 42 - 4(-2)(-3) = -8 < 0
=> Phương trình (1) vô nghiệm. => Parabol và trục hoành không có giao điểm.
Bài 3: Tìm giao điểm của các Parabol sau với trục hoành.
a) y = 2x2 + 3x - 5
b) y = x2 - 2x + 1
Lời giải:
a) y = 2x2 + 3x - 5
Gọi M là giao điểm của Parabol với trục hoành.
Ta có phương trình hoành độ giao điểm của Parabol với trục hoành:
2x2 + 3x - 5 = 0 (1)
Δ = (-3)2 - 4.2.(-5) = 49 > 0
=> Phương trình (1) có hai nghiệm phân biệt.

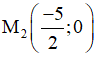
Vậy Parabol giao với trục hoành tại hai điểm M1(1;0) và
.
b) y = x2 - 2x + 1
Gọi B là giao điểm của Parabol với trục hoành.
Ta có phương trình hoành độ giao điểm của Parabol với trục hoành:
x2 - 2x + 1 = 0 (1)
Δ = (-2)2 - 4.1.1 = 0
=> Phương trình (1) có nghiệm kép
=> B(1; 0)
Vậy Parabol tiếp xúc với trục hoành tại điểm B(1; 0).
IV. Bài tập tự luyện công thức tọa độ đỉnh của parabol, tọa độ giao điểm của parabol với các trục tọa độ.
Bài 1: Cho parabol có phương trình y = 2x2 - 5x + 6. Xác định tọa độ đỉnh của Parabol.
Bài 2: Cho parabol có phương trình y = x2 - 3x + 4. Xác định tọa độ giao điểm của Parabol với trục tung và trục hoành.
Xem thêm các Công thức Toán lớp 10 quan trọng hay khác:
Đã có app VietJack trên điện thoại, giải bài tập SGK, SBT Soạn văn, Văn mẫu, Thi online, Bài giảng....miễn phí. Tải ngay ứng dụng trên Android và iOS.
Theo dõi chúng tôi miễn phí trên mạng xã hội facebook và youtube:Nếu thấy hay, hãy động viên và chia sẻ nhé! Các bình luận không phù hợp với nội quy bình luận trang web sẽ bị cấm bình luận vĩnh viễn.
- Đề thi lớp 1 (các môn học)
- Đề thi lớp 2 (các môn học)
- Đề thi lớp 3 (các môn học)
- Đề thi lớp 4 (các môn học)
- Đề thi lớp 5 (các môn học)
- Đề thi lớp 6 (các môn học)
- Đề thi lớp 7 (các môn học)
- Đề thi lớp 8 (các môn học)
- Đề thi lớp 9 (các môn học)
- Đề thi lớp 10 (các môn học)
- Đề thi lớp 11 (các môn học)
- Đề thi lớp 12 (các môn học)
- Giáo án lớp 1 (các môn học)
- Giáo án lớp 2 (các môn học)
- Giáo án lớp 3 (các môn học)
- Giáo án lớp 4 (các môn học)
- Giáo án lớp 5 (các môn học)
- Giáo án lớp 6 (các môn học)
- Giáo án lớp 7 (các môn học)
- Giáo án lớp 8 (các môn học)
- Giáo án lớp 9 (các môn học)
- Giáo án lớp 10 (các môn học)
- Giáo án lớp 11 (các môn học)
- Giáo án lớp 12 (các môn học)


Giải bài tập SGK & SBT
Tài liệu giáo viên
Sách
Khóa học
Thi online
Hỏi đáp

