Bài 11 trang 104 Toán 10 Tập 2 Cánh diều
Giải Toán 10 Cánh diều Bài tập cuối chương 7
Bài 11 trang 104 Toán lớp 10 Tập 2: Cho tam giác AF1F2, trong đó A(0; 4), F1(– 3; 0), F2(3; 0).
a) Lập phương trình tổng quát của các đường thẳng AF1 và AF2.
b) Lập phương trình đường tròn ngoại tiếp của tam giác AF1F2.
c) Lập phương trình chính tắc của elip (E) có hai tiêu điểm là F1, F2 sao cho (E) đi qua A.
Lời giải:
a) Ta có: là một vectơ chỉ phương của đường thẳng AF1, do đó đường thẳng này có một vectơ pháp tuyến là .
Vậy phương trình tổng quát đường thẳng AF1 là 4(x – 0) – 3(y – 4) = 0 hay 4x – 3y + 12 = 0.
Lại có: là một vectơ chỉ phương của đường thẳng AF2, do đó đường thẳng này có một vectơ pháp tuyến là .
Vậy phương trình tổng quát đường thẳng AF2 là 4(x – 0) + 3(y – 4) = 0 hay 4x + 3y – 12 = 0.
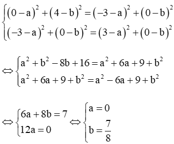
b) Đường tròn ngoại tiếp tam giác AF1F2 là đường tròn đi qua 3 điểm A, F1, F2.
Giả sử tâm của đường tròn là điểm I(a; b).
Ta có IA = IF1 = IF2 ⇔ IA2 = = .
Vì IA2 = , = nên
Đường tròn tâm bán kính R = IA = .
Phương trình đường tròn (C) là .
Vậy phương trình đường tròn (C) là .
c) Phương trình chính tắc của elip (E) có dạng .
Elip (E) đi qua điểm A(0; 4), thay tọa độ điểm A vào phương trình elip ta được .
Elip (E) có hai tiêu điểm là F1(– 3; 0), F2(3; 0), do đó c = 3.
Suy ra a2 – b2 = c2 hay a2 – 42 = 32 ⇔ a2 = 9 + 16 = 25 = 52, suy ra a = 5 (do a > 0).
Khi đó a > b > 0 (do 5 > 4 > 0), vậy a = 5, b = 4 là thỏa mãn.
Vậy phương trình elip (E) cần lập là .
Lời giải Toán 10 Bài tập cuối chương 7 trang 103, 104 hay, chi tiết khác:
Bài 1 trang 103 Toán lớp 10 Tập 2: Trong mặt phẳng tọa độ Oxy, cho A(3; 4); B(2; 5). Tọa độ của ....
Bài 2 trang 103 Toán lớp 10 Tập 2: Vectơ nào sau đây là một vectơ pháp tuyến của đường thẳng ....
Bài 3 trang 103 Toán lớp 10 Tập 2: Tọa độ tâm I của đường tròn (C) ....
Bài 4 trang 103 Toán lớp 10 Tập 2: Khoảng cách từ điểm A(1; 1) đến đường thẳng ....
Bài 5 trang 103 Toán lớp 10 Tập 2: Trong mặt phẳng tọa độ Oxy, cho tam giác MNP có ....
Bài 7 trang 103 Toán lớp 10 Tập 2: Lập phương trình đường tròn (C) trong mỗi trường hợp sau ....
Bài 8 trang 104 Toán lớp 10 Tập 2: : Quan sát Hình 64 và thực hiện các hoạt động sau ....
Các bài học để học tốt Toán 10 Bài tập cuối chương 7:
Xem thêm lời giải bài tập Toán lớp 10 Cánh diều hay, chi tiết khác:
Xem thêm các tài liệu học tốt lớp 10 hay khác:
- Giải sgk Toán 10 Cánh diều
- Giải Chuyên đề học tập Toán 10 Cánh diều
- Giải SBT Toán 10 Cánh diều
- Giải lớp 10 Cánh diều (các môn học)
- Giải lớp 10 Kết nối tri thức (các môn học)
- Giải lớp 10 Chân trời sáng tạo (các môn học)
Tủ sách VIETJACK shopee lớp 10-11 (cả 3 bộ sách):
Đã có app VietJack trên điện thoại, giải bài tập SGK, SBT Soạn văn, Văn mẫu, Thi online, Bài giảng....miễn phí. Tải ngay ứng dụng trên Android và iOS.
Theo dõi chúng tôi miễn phí trên mạng xã hội facebook và youtube:Nếu thấy hay, hãy động viên và chia sẻ nhé! Các bình luận không phù hợp với nội quy bình luận trang web sẽ bị cấm bình luận vĩnh viễn.
- Soạn văn 10 (hay nhất) - Cánh diều
- Soạn văn 10 (ngắn nhất) - Cánh diều
- Soạn văn 10 (siêu ngắn) - Cánh diều
- Giải sgk Toán 10 - Cánh diều
- Giải Tiếng Anh 10 Global Success
- Giải Tiếng Anh 10 Friends Global
- Giải sgk Tiếng Anh 10 iLearn Smart World
- Giải sgk Tiếng Anh 10 Explore New Worlds
- Giải sgk Vật lí 10 - Cánh diều
- Giải sgk Hóa học 10 - Cánh diều
- Giải sgk Sinh học 10 - Cánh diều
- Giải sgk Địa lí 10 - Cánh diều
- Giải sgk Lịch sử 10 - Cánh diều
- Giải sgk Kinh tế và Pháp luật 10 - Cánh diều
- Giải sgk Tin học 10 - Cánh diều
- Giải sgk Công nghệ 10 - Cánh diều
- Giải sgk Hoạt động trải nghiệm 10 - Cánh diều
- Giải sgk Giáo dục quốc phòng 10 - Cánh diều


Giải bài tập SGK & SBT
Tài liệu giáo viên
Sách
Khóa học
Thi online
Hỏi đáp

