30 Bài tập trắc nghiệm Toán 10 Chương 7 Cánh diều (có lời giải)
Với 33 bài tập trắc nghiệm Toán 10 Chương 7: Phương pháp tọa độ trong mặt phẳng có đáp án và lời giải chi tiết đầy đủ các mức độ, có đúng sai, trả lời ngắn sách Cánh diều sẽ giúp học sinh ôn luyện trắc nghiệm để biết cách làm các dạng bài tập Toán 10.
30 Bài tập trắc nghiệm Toán 10 Chương 7 Cánh diều (có lời giải)
Dạng 1. Trắc nghiệm nhiều phương án lựa chọn
Câu 1. Cho = (–2m; 2), = (2; –7n). Tìm giá trị của m và n để tọa độ của vectơ = (6; –5).
A. m = 4 và n = – 1;
B. m = – 4 và n = – 1;
C. m = 4 và n = 1;
D. m = – 4 và n = 1.
Câu 2. Cho A (2; –4), B (–5; 3). Tìm tọa độ của .
A. (7; –7);
B. (–7; 7);
C. (9; –5);
D. (1; –5).
Câu 3. Trong hệ tọa độ Oxy cho tam giác ABC có B (9 ; 7), C (11 ; –1). Gọi M, N lần lượt là trung điểm của AB, AC. Tìm tọa độ vectơ ?
A. (2 ; – 8) ;
B. (1 ; – 4) ;
C. (10 ; 6) ;
D. (5 ; 3).
Câu 4. Trong hệ tọa độ Oxy cho = (5 ; 2), = (10 ; 8). Tìm tọa độ của vectơ .
A. (15; – 10);
B. (2; 4);
C. (– 5; – 10);
D. (50; 16).
Câu 5. Vectơ nào dưới đây là một vectơ chỉ phương của đường thẳng đi qua hai điểm A(– 3; 2) và B(1; 4).
A. (1; 3);
B. (2; 1);
C. (1; 3);
D. (3; 1).
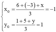
Câu 6. Trong hệ tọa độ Oxy cho tam giác ABC có A (6 ; 1), B (–3 ; 5) và trọng tâm G (–1 ;1). Tìm tọa độ đỉnh C?
A. C (6 ; – 3) ;
B. C (– 6 ; 3) ;
C. C (– 6 ; – 3) ;
D. C (– 3 ; 6).
Câu 7. Khoảng cách từ giao điểm của đường thẳng x – 3y + 4 = 0 và 2x + 3y – 1 = 0 đến đường thẳng : 3x + y + 3 = 0 bằng:
A. ;
B.;
C. ;
D. 2.
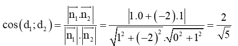
Câu 8.Góc tạo bởi hai đường thẳng nào dưới đây bằng 90°
A. : 6x – 5y + 4 = 0 và
B.
C. d1: x – 2y + 4 = 0 và d2: y + 1 = 0;
D. và d2: 3x + 2y – 4 = 0.
Câu 9. Trong hệ tọa độ Oxy cho ba điểm A(3; 5), B(1; 2), C(5; 2) và D(m ; n) . Tính m + n để ACDB là hình bình hành.
A. m + n = 3;
B. m + n = – 1;
C. m + n = 2;
D. m + n = 4.
Câu 10. Trong hệ tọa độ Oxy cho tam giác ABC có A (– 2 + x ; 2), B (3 ; 5 + 2y), C(x ; 3 – y). Tìm tổng 2x + y với x, y để O (0 ; 0) là trọng tâm tam giác ABC?
A. – 7;
B. – 2 ;
C. – 11;
D. .
Câu 11. Trong hệ tọa độ Oxy cho ba điểm A (1; 3) ; B (– 1; 2) ; C (– 2 ; 1) . Tìm tọa độ của vectơ .
A. (– 5; – 3);
B. (1; 1);
C. (– 1; 2);
D. (– 1; 1).
Câu 12. Vectơ nào dưới đây là một vectơ pháp tuyến của đường thẳng đi qua hai điểm A(a; 0) và B(0; b)?
A. (a; – b);
B. (a; b);
C. (– b; a);
D. (b; a).
Câu 13. Trong mặt phẳng với hệ tọa độ Oxy, cho tam giác ABC có A(3; -4);B(1; 5) và C(3; 1). Tính diện tích tam giác ABC.
A. 10;
B. 5;
C.
D.
Câu 14. Tọa độ tâm I và bán kính R của đường tròn (C): x2 + y2 = 16 là:
A. I (0; 0), R = 9;
B. I (0; 0), R = 81;
C. I (1; 1), R = 3;
D. I (0; 0), R = 4;
Câu 15.Cho đường thẳng Đường thẳng nào sau đây trùng với đường thẳng d.
Câu 16. Trong hệ tọa độ Oxy cho ba điểm A (–1 ; 1), B (1 ; 3), C (–1; 4) , D(1; 0). Khẳng định nào sau đây đúng?
A.
B.
C.
D.
Câu 17.Phương trình đường thẳng cắt hai trục tọa độ tại A(– 2 ; 0) và B(0 ; 4) là:
A. 2x – 3y + 2 = 0;
B. 4x – 2y + 8 = 0;
C. 3x – 3y – 6 = 0;
D. 2x – 3y – 5 = 0.
Câu 18. Khoảng cách từ điểm M( –1; 1) đến đường thẳng : 3x – 4y – 3 = 0 bằng:
A.
B. 2;
C.
D.
Câu 19. Cho hai vectơ và . Tìm các số thực a và b sao cho cặp vectơ đã cho bằng nhau:
A. a = 2, b = – 1;
B. a = – 1, b = 2;
C. a = – 1, b = – 2;
D. a = 2, b = 1.
Câu 20. Vectơ nào dưới đây là một vectơ chỉ phương của đường thẳng đi qua gốc tọa độ O(0; 0) và điểm M(a; b)?
A. (– a; – b);
B. (a; b);
C. (1; a);
D.(1; b).
Câu 21. Một đường thẳng có bao nhiêu vectơ chỉ phương?
A. 2;
B. 5;
C. 7;
D. Vô số.
Câu 22. Viết phương trình tham số của đường thẳng d đi qua điểm M(6; –10)và vuông góc với trục Oy?
Câu 23. Xét vị trí tương đối của hai đường thẳng:
: 3x – 2y – 3 = 0 và : 6x – 2y – 8 = 0
A. Trùng nhau;
B. Song song;
C. Vuông góc với nhau;
D. Cắt nhau nhưng không vuông góc nhau.
Câu 24. Đường tròn (C): x2 + y2 – 8x + 2y + 6 = 0 có tâm I, bán kính R lần lượt là:
A. I (3; – 1), R = 4;
B. I (– 3; 1), R = 4;
C. I (4; – 1), R = ;
D. I (– 3; 1), R = 2.
Câu 25. Đường tròn (C)đi qua ba điểm A (– 1; – 2), B(0; 1) và C(1; 2) có phương trình là:
A. (x – 4)2 + (y – 2)2 = 52;
B. (x – 4)2 + (y + 2)2 = 52;
C. (x + 4)2 + (y + 2)2 = 52;
D. (x + 4)2 + (y – 2)2 = 52.
Câu 26. Phương trình tiếp tuyến d của đường tròn (C): x2 + y2 – 3x – y = 0 tại điểm N(1; – 1) là:
A. d: x + 3y – 2 = 0;
B. d: x – 3y + 4 = 0;
C. d: x – 3y – 4 = 0;
D. d: x + 3y + 2 = 0.
Câu 27. Viết phương trình tiếp tuyến của đường tròn ,
biết tiếp tuyến vuông góc đường thẳng d: 3x – 4y – 2018 = 0.
A. 3x – 4y + 39 = 0 hoặc 3x – 4y – 11 = 0;
B. 4x + 3y + 39 = 0 hoặc 3x – 4y – 11 = 0;
C. 3x – 4y + 39 = 0 hoặc 4x + 3y – 11 = 0;
D. 4x + 3y + 39 = 0 hoặc 4x + 3y – 11 = 0.
Câu 28. Elip có độ dài trục bé bằng:
A. 2;
B. 4;
C. 1;
D.
Câu 29.Đường thẳng nào là đường chuẩn của parabol
A.
B.
C.
D. .
Câu 30. Elip có tiêu cự bằng:
A.
B. 5,
C. 10,
D. 2.
Dạng 2. Trắc nghiệm đúng sai
Câu hỏi. Cho ba điểm
a) Điểm N thuộc trục Oy sao cho NN cách đều B, C có tung độ bằng
b) A, B, C là ba đỉnh của một tam giác.
c) ABC là tam giác vuông.
d) Tứ giác ABCD là hình bình hành khi D(2;-3)
Dạng 3. Trắc nghiệm trả lời ngắn
Câu 1. Cho hình elip như hình vẽ bên. Đường thẳng d song song với trục hoành và cách trục hoành một khoảng bằng 2, d tạo với elip một dây cung có độ dài bằng bao nhiêu?
Câu 2. Cho parabol y2=2px với p > 0 như hình vẽ, trong đó đường thẳng d là đường chuẩn. Tìm hoành độ điểm M nếu
................................
................................
................................
Xem thêm bài tập trắc nghiệm Toán lớp 10 Cánh diều có đáp án hay khác:
Xem thêm các tài liệu học tốt lớp 10 hay khác:
- Giải sgk Toán 10 Cánh diều
- Giải Chuyên đề học tập Toán 10 Cánh diều
- Giải SBT Toán 10 Cánh diều
- Giải lớp 10 Cánh diều (các môn học)
- Giải lớp 10 Kết nối tri thức (các môn học)
- Giải lớp 10 Chân trời sáng tạo (các môn học)
Tủ sách VIETJACK shopee lớp 10-11 (cả 3 bộ sách):
Đã có app VietJack trên điện thoại, giải bài tập SGK, SBT Soạn văn, Văn mẫu, Thi online, Bài giảng....miễn phí. Tải ngay ứng dụng trên Android và iOS.
Theo dõi chúng tôi miễn phí trên mạng xã hội facebook và youtube:Nếu thấy hay, hãy động viên và chia sẻ nhé! Các bình luận không phù hợp với nội quy bình luận trang web sẽ bị cấm bình luận vĩnh viễn.
- Soạn văn 10 (hay nhất) - Cánh diều
- Soạn văn 10 (ngắn nhất) - Cánh diều
- Soạn văn 10 (siêu ngắn) - Cánh diều
- Giải sgk Toán 10 - Cánh diều
- Giải Tiếng Anh 10 Global Success
- Giải Tiếng Anh 10 Friends Global
- Giải sgk Tiếng Anh 10 iLearn Smart World
- Giải sgk Tiếng Anh 10 Explore New Worlds
- Giải sgk Vật lí 10 - Cánh diều
- Giải sgk Hóa học 10 - Cánh diều
- Giải sgk Sinh học 10 - Cánh diều
- Giải sgk Địa lí 10 - Cánh diều
- Giải sgk Lịch sử 10 - Cánh diều
- Giải sgk Kinh tế và Pháp luật 10 - Cánh diều
- Giải sgk Tin học 10 - Cánh diều
- Giải sgk Công nghệ 10 - Cánh diều
- Giải sgk Hoạt động trải nghiệm 10 - Cánh diều
- Giải sgk Giáo dục quốc phòng 10 - Cánh diều


Giải bài tập SGK & SBT
Tài liệu giáo viên
Sách
Khóa học
Thi online
Hỏi đáp

