18 Bài tập Hai dạng phương trình quy về phương trình bậc hai (có đáp án) - Cánh diều Trắc nghiệm Toán 10
Với 18 bài tập trắc nghiệm Hai dạng phương trình quy về phương trình bậc hai Toán lớp 10 có đáp án và lời giải chi tiết đầy đủ các mức độ, có đúng sai, trả lời ngắn sách Cánh diều sẽ giúp học sinh ôn luyện trắc nghiệm để biết cách làm các dạng bài tập Toán 10.
18 Bài tập Hai dạng phương trình quy về phương trình bậc hai (có đáp án) - Cánh diều Trắc nghiệm Toán 10
Phần I. Trắc nghiệm nhiều phương án lựa chọn
Câu 1. Tập nghiệm S của phương trình là:
A.
B.
C.
D.
Câu 2. Tập nghiệm S của phương trình là:
A.
B.
C.
D.
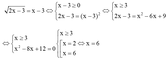
Câu 3. Tổng các nghiệm của phương trình bằng:
A. 0;
B. 1;
C. 2;
D. 3.
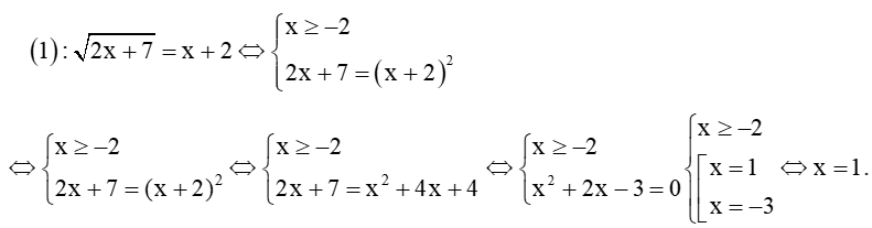
Câu 4. Phương trình có tất cả bao nhiêu nghiệm?
A. 1;
B. 2;
C. 3;
D. 5.
Câu 5. Phương trình có tất cả bao nhiêu nghiệm?
A. 0;
B. 1;
C. 2;
D. 3.
Câu 6. Tập nghiệm S của phương trình là:
Câu 7. Tập nghiệm của phương trình là:
A.
B.
C.
D.
Câu 8.Nghiệm của phương trình là đáp án nào trong số các đáp án sau đây?
A. x = 1
B. x = 2
C. x = 3
D. x =
Câu 9.Nghiệm của phương trình là:
A. 0;
B. 1;
C. 2;
D. 4;
Câu 10.Tập nghiệm của phương trình là?
A. S = (-1; 1)
B. S = (1; +∞)
C. S = {-1}
D. S = (-1; 0)
Câu 11. Tập nghiệm S của phương trình là:
A. S = {1};
B.
C.
D. S = {-3}
Câu 12. Tập nghiệm S của phương trình là:
A.
B. S = {1};
C. S = {3};
D.
Câu 13.Nghiệm của phương trình là:
A. x = -12;
B. x = -6;
C. x = 1;
D. x = 2
Câu 14. Phương trình có nghiệm là?
A. x = 0;
B. x = 1;
C. x = 2;
D. x = 4.
Câu 15. Tập nghiệm S của phương trình là:
A.
B.
C.
D. S = {10}.
Phần II. Trắc nghiệm đúng, sai
Câu hỏi. Cho phương trình (*).
a) đúng .
b) Bình phương hai vế của phương trình (*) ta được .
c) Phương trình (*) có 2 nghiệm.
d) Tổng các nghiệm của phương trình (*) bằng 0.
Phần III. Trắc nghiệm trả lời ngắn
Câu 1. Một chú thỏ ngày nào cũng ra bờ suối ở vị trí , cách cửa hang của mình tại vị trí là để uống nước, sau đó chú thỏ sẽ đến vị trí cách vị trí một khoảng để ăn cỏ rồi trở về hang. Tuy nhiên, hôm nay sau khi uống nước ở bờ suối, chú thỏ không đến vị trí như mọi ngày mà chạy đến vị trí để tìm cà rốt rồi mới trở về hang (xem hình bên dưới). Biết rằng, tổng thời gian chú thỏ chạy từ vị trí đến vị trí rồi về hang là 30 giây (không kể thời gian tìm cà rốt), trên đoạn chú thỏ chạy với vận tốc là , trên đoạn chú thỏ chạy với vận tốc là . Tính khoảng cách giữa hai vị trí và (đơn vị: mét).
Câu 2. Người ta làm ra một cái thang bắc lên tầng hai của một ngôi nhà (hình vẽ), muốn vậy họ cần làm một thanh đỡ có chiều dài bằng , đồng thời muốn đảm bảo kỹ thuật thì tỉ số độ dài . Hỏi vị trí cách vị trí bao nhiêu mét?
Xem thêm bài tập trắc nghiệm Toán lớp 10 Cánh diều có đáp án hay khác:
Xem thêm các tài liệu học tốt lớp 10 hay khác:
- Giải sgk Toán 10 Cánh diều
- Giải Chuyên đề học tập Toán 10 Cánh diều
- Giải SBT Toán 10 Cánh diều
- Giải lớp 10 Cánh diều (các môn học)
- Giải lớp 10 Kết nối tri thức (các môn học)
- Giải lớp 10 Chân trời sáng tạo (các môn học)
Tủ sách VIETJACK shopee lớp 10-11 (cả 3 bộ sách):
Đã có app VietJack trên điện thoại, giải bài tập SGK, SBT Soạn văn, Văn mẫu, Thi online, Bài giảng....miễn phí. Tải ngay ứng dụng trên Android và iOS.
Theo dõi chúng tôi miễn phí trên mạng xã hội facebook và youtube:Nếu thấy hay, hãy động viên và chia sẻ nhé! Các bình luận không phù hợp với nội quy bình luận trang web sẽ bị cấm bình luận vĩnh viễn.
- Soạn văn 10 (hay nhất) - Cánh diều
- Soạn văn 10 (ngắn nhất) - Cánh diều
- Soạn văn 10 (siêu ngắn) - Cánh diều
- Giải sgk Toán 10 - Cánh diều
- Giải Tiếng Anh 10 Global Success
- Giải Tiếng Anh 10 Friends Global
- Giải sgk Tiếng Anh 10 iLearn Smart World
- Giải sgk Tiếng Anh 10 Explore New Worlds
- Giải sgk Vật lí 10 - Cánh diều
- Giải sgk Hóa học 10 - Cánh diều
- Giải sgk Sinh học 10 - Cánh diều
- Giải sgk Địa lí 10 - Cánh diều
- Giải sgk Lịch sử 10 - Cánh diều
- Giải sgk Kinh tế và Pháp luật 10 - Cánh diều
- Giải sgk Tin học 10 - Cánh diều
- Giải sgk Công nghệ 10 - Cánh diều
- Giải sgk Hoạt động trải nghiệm 10 - Cánh diều
- Giải sgk Giáo dục quốc phòng 10 - Cánh diều


Giải bài tập SGK & SBT
Tài liệu giáo viên
Sách
Khóa học
Thi online
Hỏi đáp

