15 Bài tập Phương trình đường tròn (có đáp án) - Cánh diều Trắc nghiệm Toán 10
Với 18 bài tập trắc nghiệm Phương trình đường tròn Toán lớp 10 có đáp án và lời giải chi tiết đầy đủ các mức độ, có đúng sai, trả lời ngắn sách Cánh diều sẽ giúp học sinh ôn luyện trắc nghiệm để biết cách làm các dạng bài tập Toán 10.
15 Bài tập Phương trình đường tròn (có đáp án) - Cánh diều Trắc nghiệm Toán 10
Dạng 1. Trắc nghiệm nhiều phương án lựa chọn
Câu 1. Tọa độ tâm I và bán kính R của đường tròn là:
A. I (– 1; 3), R = 4;
B. I (1; – 3), R = 5;
C. I (1; – 3), R = 16;
D. I (– 1; 3), R = 16.
Câu 2.Cho đường tròn có tọa độ tâm I(a; b) và bán kính R = c. Nhận xét nào sau đây đúng về a, b và c:
A. a + b = c;
B. a + b = – 2c;
C. a – 2b = c;
D.a – 2b = – 2c.
Câu 3.Cho phương trình x2 + y2 – 2ax – 2by + c = 0. Điều kiện của a, b, c để phương trình đã cho là phương trình đường tròn:
A. a2 + b2 > c2;
B. c2 > a2 + b2;
C. a2 + b2 > c;
D. c > a2 + b2.
Câu 4. Tọa độ tâm I và bán kính R của đường tròn (C): x2 + y2 = 16 là:
A. I (0; 0), R = 9;
B. I (0; 0), R = 81;
C. I (1; 1), R = 3;
D. I (0; 0), R = 4;
Câu 5. Đường tròn (C): x2 + y2 – 8x + 2y + 6 = 0 có tâm I, bán kính R lần lượt là:
A. I (3; – 1), R = 4;
B. I (– 3; 1), R = 4;
C. I (4; – 1), R = ;
D. I (– 3; 1), R = 2.
Câu 6. Đường tròn có tâm trùng với gốc tọa độ, bán kính R = 1 có phương trình là:
A.
B.
C.
D.
Câu 7. Đường tròn có tâm I (1; 2), bán kính R = 2 có phương trình là:
A. x2 + y2 – 2x – 4y + 1 = 0;
B. x2 + y2 + 2x – 4y – 4 = 0;
C. x2 + y2 – 2x + 4y – 4 = 0;
D. x2 + y2 – 2x – 4y – 4 = 0
Câu 8. Đường tròn (C)đi qua ba điểm A (– 1; – 2), B(0; 1) và C(1; 2) có phương trình là:
A. (x – 4)2 + (y – 2)2 = 52;
B. (x – 4)2 + (y + 2)2 = 52;
C. (x + 4)2 + (y + 2)2 = 52;
D. (x + 4)2 + (y – 2)2 = 52.
Câu 9. Đường tròn (C) có tâm I (– 2; 3) và đi qua M (2; – 3) có phương trình là:
A.
B.
C.
D.
Câu 10. Đường tròn đường kính AB với A (3; – 1), B (1; – 5) có phương trình là:
A. (x + 2)2 + (y – 3)2 = 5;
B. (x + 1)2 + (y + 2)2 = 17;
C. (x – 2)2 + (y + 3)2 = ;
D. (x – 2)2 + (y + 3)2 = 5;
Câu 11. Phương trình tiếp tuyến d của đường tròn (C): (x + 2)2 + (y + 2)2 = 9 tại điểm M (2; 1) là:
A. d: – y + 1 = 0;
B. d: 4x + 3y + 14 = 0;
C. d: 3x – 4y – 2 = 0;
D. d: 4x + 3y – 11 = 0.
Câu 12. Cho đường tròn (C): (x – 1)2 + (y + 2)2 = 2. Viết phương trình tiếp tuyến d của (C) biết đường d song song với đường thẳng d’: x + y + 3 = 0.
A. d: x + y + 1 = 0;
B. d: x –y –1 = 0;
C. d: x + y – 1 = 0;
D. d: x + y + 3 = 0.
Câu 13. Phương trình tiếp tuyến d của đường tròn (C): x2 + y2 – 3x – y = 0 tại điểm N(1; – 1) là:
A. d: x + 3y – 2 = 0;
B. d: x – 3y + 4 = 0;
C. d: x – 3y – 4 = 0;
D. d: x + 3y + 2 = 0.
Câu 14. Viết phương trình tiếp tuyến của đường tròn (C): (x – 3)2 + (y + 1)2 = 5, biết tiếp tuyến song song với đường thẳng d: 2x + y + 7 = 0.
A. 2x + y + 1 = 0 hoặc 2x + y – 1 = 0;
B. 2x + y = 0 hoặc 2x + y – 10 = 0;
C. 2x + y + 10 = 0 hoặc 2x + y – 10 = 0;
D. 2x + y = 0 hoặc 2x + y + 10 = 0.
Câu 15. Viết phương trình tiếp tuyến của đường tròn ,
biết tiếp tuyến vuông góc đường thẳng d: 3x – 4y – 2018 = 0.
A. 3x – 4y + 39 = 0 hoặc 3x – 4y – 11 = 0;
B. 4x + 3y + 39 = 0 hoặc 3x – 4y – 11 = 0;
C. 3x – 4y + 39 = 0 hoặc 4x + 3y – 11 = 0;
D. 4x + 3y + 39 = 0 hoặc 4x + 3y – 11 = 0.
Dạng 2. Trắc nghiệm đúng sai
Câu hỏi. Đường tròn
a) Đường tròn (C) có tâm I(2;1) và có bán kính R=3
b) Đường tròn (C) đi qua điểm (5;3)
c) Phương trình tiếp tuyến của (C) tại điểm M(5;-3) là
d) Đường thẳng tiếp xúc với đường tròn (C)
Dạng 3. Trắc nghiệm trả lời ngắn
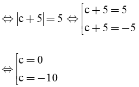
Câu 1. Tìm bán kính của đường tròn (C) có tâm nằm trên đường thẳng và tiếp xúc với hai đường thẳng có phương trình và . Biết tâm đường tròn nằm trên trục Ox
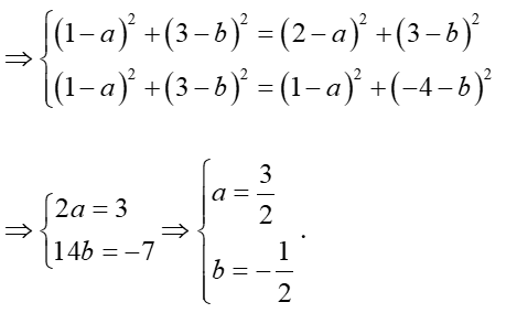
Câu 2. Trong mặt phẳng Oxy, phương trình đường tròn đi qua ba đi có dạng . Tính .
................................
................................
................................
Xem thêm bài tập trắc nghiệm Toán lớp 10 Cánh diều có đáp án hay khác:
Xem thêm các tài liệu học tốt lớp 10 hay khác:
- Giải sgk Toán 10 Cánh diều
- Giải Chuyên đề học tập Toán 10 Cánh diều
- Giải SBT Toán 10 Cánh diều
- Giải lớp 10 Cánh diều (các môn học)
- Giải lớp 10 Kết nối tri thức (các môn học)
- Giải lớp 10 Chân trời sáng tạo (các môn học)
Tủ sách VIETJACK shopee lớp 10-11 (cả 3 bộ sách):
Đã có app VietJack trên điện thoại, giải bài tập SGK, SBT Soạn văn, Văn mẫu, Thi online, Bài giảng....miễn phí. Tải ngay ứng dụng trên Android và iOS.
Theo dõi chúng tôi miễn phí trên mạng xã hội facebook và youtube:Nếu thấy hay, hãy động viên và chia sẻ nhé! Các bình luận không phù hợp với nội quy bình luận trang web sẽ bị cấm bình luận vĩnh viễn.
- Soạn văn 10 (hay nhất) - Cánh diều
- Soạn văn 10 (ngắn nhất) - Cánh diều
- Soạn văn 10 (siêu ngắn) - Cánh diều
- Giải sgk Toán 10 - Cánh diều
- Giải Tiếng Anh 10 Global Success
- Giải Tiếng Anh 10 Friends Global
- Giải sgk Tiếng Anh 10 iLearn Smart World
- Giải sgk Tiếng Anh 10 Explore New Worlds
- Giải sgk Vật lí 10 - Cánh diều
- Giải sgk Hóa học 10 - Cánh diều
- Giải sgk Sinh học 10 - Cánh diều
- Giải sgk Địa lí 10 - Cánh diều
- Giải sgk Lịch sử 10 - Cánh diều
- Giải sgk Kinh tế và Pháp luật 10 - Cánh diều
- Giải sgk Tin học 10 - Cánh diều
- Giải sgk Công nghệ 10 - Cánh diều
- Giải sgk Hoạt động trải nghiệm 10 - Cánh diều
- Giải sgk Giáo dục quốc phòng 10 - Cánh diều


Giải bài tập SGK & SBT
Tài liệu giáo viên
Sách
Khóa học
Thi online
Hỏi đáp

