15 Bài tập trắc nghiệm Toán 10 Chương 6 Cánh diều (có lời giải)
Với 18 bài tập trắc nghiệm Toán 10 Chương 6: Một số yếu tố thống kê và xác suất có đáp án và lời giải chi tiết đầy đủ các mức độ, có đúng sai, trả lời ngắn sách Cánh diều sẽ giúp học sinh ôn luyện trắc nghiệm để biết cách làm các dạng bài tập Toán 10.
15 Bài tập trắc nghiệm Toán 10 Chương 6 Cánh diều (có lời giải)
Dạng 1. Trắc nghiệm nhiều phương án lựa chọn
Câu 1.Cho tam giác ABC có độ dài ba cạnh:
a = 13cm ± 0,2cm; b = 11, 2cm ± 0,2cm; c = 7cm ± 0,1cm. Tính chu vi P của tam giác đã cho.
A. P = 31, 2cm ± 0, 2cm;
B. P = 31, 2cm ± 1cm;
C. P = 31, 2cm ± 0, 5cm;
D. P = 31, 2cm ± 2cm.
Câu 2. Số áo bán được trong một quý ở cửa hàng bán áo sơ mi được thống kê như sau:
Cỡ áo |
36 |
37 |
38 |
39 |
40 |
41 |
42 |
|
Tần số (số áo bán được) |
13 |
45 |
126 |
125 |
110 |
40 |
12 |
Giá trị mốt của bảng phân bố tần số trên bằng
A. 38;
B. 126;
C. 39;
D. 12.
Câu 3. Tiền lương hàng tháng của 7 nhân viên trong một công ty du lịch lần lượt là 6,5; 8,4; 6,9; 7,2; 2,5; 6,7; 3,0 (đơn vị: triệu đồng). Trung vị của mẫu số liệu trên là
A. 6,8 triệu đồng;
B. 7,2 triệu đồng;
C. 6,7 triệu đồng;
D. 6,9 triệu đồng.
Câu 4. Kết quả kiểm tra 15 phút môn toán của 100 học sinh được trình bày ở bảng sau:
Điểm |
3 |
4 |
5 |
6 |
7 |
8 |
9 |
10 |
Số học sinh |
3 |
5 |
11 |
17 |
30 |
19 |
10 |
5 |
Điểm trung bình môn Toán của các học sinh nói trên là:
A. 6,88;
B. 7,12;
C. 6,5;
D. 7,22.
Câu 5. Cho dãy số liệu thống kê:1; 2; 3; 4; 5; 6; 7. Phương sai của mẫu số liệu trên là
A. 1;
B. 2;
C. 3;
D. 4.
Câu 6. Nếu đơn vị đo của số liệu là kg thì đơn vị của độ lệch chuẩn là
A. ;
B. Không có đơn vị;
C. kg2;
D. kg.
Câu 7. Theo kết quả thống kê điểm thi giữa kì 2 môn toán khối 10 của một trường THPT , người ta tính được phương sai của mẫu số liệu đó là s2 = 0,64. Độ lệch chuẩn của mẫu số liệu đó bằng:
A. 0,4096;
B. 0,77;
C. 0,8;
D. 0,64.
Câu 8. Biểu đồ sau thể hiện tổng nợ nước ngoài của nhóm nước đang phát triẻn trong giai đoạn 1990 đến 2004. Hãy tìm khoảng biến thiên của mẫu số liệu đó.
A. 2724;
B. 1414;
C. 1310;
D. 4034.
Câu 9. Gieo 1 con xúc xắc . Số phần tử của không gian mẫu là:
A. 5;
B. 6;
C. 8;
D. 0.
Câu 10. Cho A và là hai biến cố đối nhau. Chọn câu đúng.
A. P(A) = 1 + P();
B. P(A) = P();
C. P(A) = 1 − P();
D. P(A) + P() = 0.
Câu 11. Một hộp có 5 viên bi đỏ và 9 viên bi xanh. Chọn ngẫu nhiên 2 viên bị.Xác suất để chọn được hai viên bi khác màu là:
A. ;
B. ;
C. ;
D. .
Câu 12. Trong một kì thi vấn đáp thí sinh đứng trước ban giám khảo chọn 3 phiếu câu hỏi từ một thùng phiếu gồm 50 câu hỏi, trong đó có 4 cặp phiếu câu hỏi mà mỗi cặp phiếu có nội dung khác nhau từng đôi một và trong mỗi một cặp phiếu có nội dung giống nhau. Tính xác suất để thí sinh chọn được 3 phiếu câu hỏi có nội dung khác nhau.
A. ;
B. ;
C. ;
D. .
Câu 13. Một hộp có 5 viên bi đỏ, 3 viên bi vàng và 4 viên bi xanh. Chọn ngẫu nhiên từ hộp 4 viên bi, tính xác suất để 4 viên bi được chọn có số bi đỏ lớn hơn số bi vàng và nhất thiết phải có mặt bi xanh.
A. ;
B. ;
C. ;
D. .
Câu 14. Cho tập hợp A = {2; 3; 4; 5; 6; 7; 8}. Gọi S là tập hợp các số tự nhiên có 4 chữ số đôi một khác nhau được lập thành từ cách chữ số của tập A. Chọn ngẫu nhiên một số từ S, tính xác suất để số được chọn mà trong mỗi số luôn có mặt hai chữ số chẵn và hai chữ số lẻ.
A. ;
B. ;
C. ;
D. .
Câu 15. Một Chi Đoàn có 3 Đoàn viên nữ và một số Đoàn viên nam.Cần lập một đội thanh niên tình nguyện (TNTN) gồm 4 người. Gọi A là biến cố :” 4 người được chọn có 3 nữ” và B là biến cố :” 4 người được chọn toàn nam” . Biết rằng P(A) = P(B). Hỏi Chi Đoàn có bao nhiêu Đoàn viên?
A. 9;
B. 10;
C. 11;
D. 12.
Dạng 2. Trắc nghiệm đúng sai
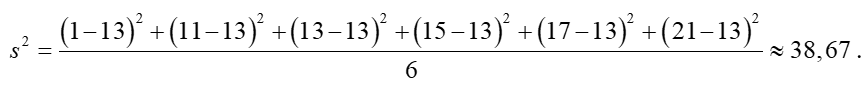
Câu hỏi. Cho mẫu số liệu: 1 11 13 15 17 21
a) Khoảng biến thiên của mẫu số liệu trên là 20.
b) Khoảng tứ phân vị của mẫu số liệu là 5.
c) Phương sai của mẫu số liệu là 38,67 (làm tròn kết quả đến hàng phần trăm).
d) 21 là giá trị bất thường của mẫu số liệu.
Dạng 3. Trắc nghiệm trả lời ngắn
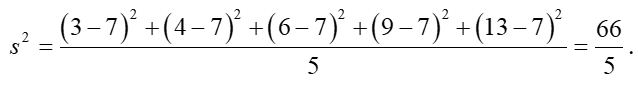
Câu 1. Cho mẫu số liệu: 3 4 6 9 13. Tìm độ lệch chuẩn của mẫu số liệu (kết quả làm tròn đến hàng phần trăm).
Câu 2. Một hộp chứa 7 quả cầu màu xanh và 5 quả cầu màu đỏ. Chọn ngẫu nhiên từ hộp 4 quả cầu. Xác suất để chọn được không quá 2 quả cầu màu đỏ là ( là phân số tối giản). Tính a+b
................................
................................
................................
Xem thêm bài tập trắc nghiệm Toán lớp 10 Cánh diều có đáp án hay khác:
Xem thêm các tài liệu học tốt lớp 10 hay khác:
- Giải sgk Toán 10 Cánh diều
- Giải Chuyên đề học tập Toán 10 Cánh diều
- Giải SBT Toán 10 Cánh diều
- Giải lớp 10 Cánh diều (các môn học)
- Giải lớp 10 Kết nối tri thức (các môn học)
- Giải lớp 10 Chân trời sáng tạo (các môn học)
Tủ sách VIETJACK shopee lớp 10-11 (cả 3 bộ sách):
Đã có app VietJack trên điện thoại, giải bài tập SGK, SBT Soạn văn, Văn mẫu, Thi online, Bài giảng....miễn phí. Tải ngay ứng dụng trên Android và iOS.
Theo dõi chúng tôi miễn phí trên mạng xã hội facebook và youtube:Nếu thấy hay, hãy động viên và chia sẻ nhé! Các bình luận không phù hợp với nội quy bình luận trang web sẽ bị cấm bình luận vĩnh viễn.
- Soạn văn 10 (hay nhất) - Cánh diều
- Soạn văn 10 (ngắn nhất) - Cánh diều
- Soạn văn 10 (siêu ngắn) - Cánh diều
- Giải sgk Toán 10 - Cánh diều
- Giải Tiếng Anh 10 Global Success
- Giải Tiếng Anh 10 Friends Global
- Giải sgk Tiếng Anh 10 iLearn Smart World
- Giải sgk Tiếng Anh 10 Explore New Worlds
- Giải sgk Vật lí 10 - Cánh diều
- Giải sgk Hóa học 10 - Cánh diều
- Giải sgk Sinh học 10 - Cánh diều
- Giải sgk Địa lí 10 - Cánh diều
- Giải sgk Lịch sử 10 - Cánh diều
- Giải sgk Kinh tế và Pháp luật 10 - Cánh diều
- Giải sgk Tin học 10 - Cánh diều
- Giải sgk Công nghệ 10 - Cánh diều
- Giải sgk Hoạt động trải nghiệm 10 - Cánh diều
- Giải sgk Giáo dục quốc phòng 10 - Cánh diều


Giải bài tập SGK & SBT
Tài liệu giáo viên
Sách
Khóa học
Thi online
Hỏi đáp

