15 Bài tập Nhị thức Newton (có đáp án) - Cánh diều Trắc nghiệm Toán 10
Với 18 bài tập trắc nghiệm Nhị thức Newton Toán lớp 10 có đáp án và lời giải chi tiết đầy đủ các mức độ, có đúng sai, trả lời ngắn sách Cánh diều sẽ giúp học sinh ôn luyện trắc nghiệm để biết cách làm các dạng bài tập Toán 10.
15 Bài tập Nhị thức Newton (có đáp án) - Cánh diều Trắc nghiệm Toán 10
Dạng 1. Trắc nghiệm nhiều phương án lựa chọn
Câu 1. Trong khai triển nhị thức (a + 2)n - 5 (n ℕ). Có tất cả 6 số hạng. Vậy n bằng
A. 17;
B. 21;
C. 25;
D. 11.
Câu 2. Khai triển các biểu thức sau: (a + 2)4 là:
A. a4 + 24;
B. a4 + 2a2b2 + 24;
C. a4 + 8a3 + 24a2 + 32a + 16;
D. a4 + 32a3 + 24a2 + 8a + 16.
Câu 3. Trong các phát biểu sau, phát biểu nào sai?
A. ;
B. ;
C. ;
D. .
Câu 4. Số hạng chứa x4 trong khai triển biểu thức (2x + 3)5 là:
A. 32x4;
B.240x4;
C. 720;
D. 240.
Câu 5.Hệ số của x5 trong khai triển của (5 – 2x)5 là
A. 400;
B. – 32;
C. 3 125;
D. – 6 250.
Câu 6.Tổng hệ số của x3 và x2 trong khai triển (1 + 2x)4 là :
A. 24;
B. 44;
C. 20;
D. 54.
Câu 7.Trong khai triển nhị thức (2a + 1)5 ba số hạng đầu là:
A. 32a5 + 40a4 + 10a3;
B. 80a5 + 80a4 + 40a3;
C. 32a5 + 80a4 + 40a3;
D. 32a5 + 80a4 + 80a3.
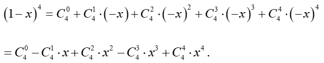
Câu 8. Khai triển nhị thức (x + y)4 ta được kết quả là:
A. x4 – 4x3y + 6x2y2 – 6xy3 + y4;
B. x4 + 4x3y + 6x2y2 + 6xy3 + y4;
C. x4 + 4x3y + 8x2y2 + 8xy3 + y4.
D. x4 – 4x3y + 8x2y2 - 8xy3 + y4.
Câu 9.Trong khai triển (x + 2y)5 số hạng chứa x2y3 là:
A. 80x2y3;
B. 40x2y3;
C. 80;
D. 10.
Câu 10.Hệ số của x2 trong khai triển (2 – 3x)3 là k. Nhận xét nào sau đây đúng về k ?
A. k là một số tự nhiên;
B. k là một số nguyên âm;
C. k là một số nguyên dương;
D. k = 0.
Câu 11.Cho số tự nhiên n thỏa mãn . Hệ số của số hạng chứa x3 trong khai triển của biểu thức (3x – 4)n bằng
A. – 4320;
B. – 1440;
C. 4320;
D. 1080.
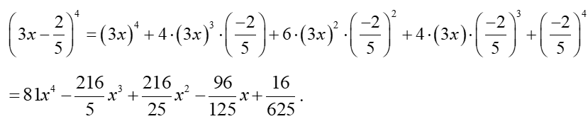
Câu 12. Khai triển nhị thức (2x + 3)4 ta được kết quả là
A.x4 + 216x3 + 216x2 + 96x + 81;
B.16x4 + 216x3 + 216x2 + 96x + 81;
C.16x4 + 96x3 + 216x2 + 216x + 81;
D.x4 + 96x3 + 216x2 + 216x + 81.
Câu 13.Với n là số nguyên dương thỏa mãn , hệ số của x5 trong khai triển của biểu thức bằng
A. 0;
B. 8;
C. 20;
D. 32.
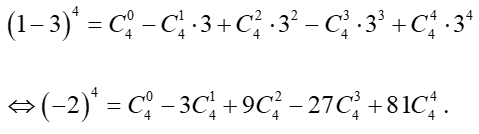
Câu 14. Tính giá trị biểu thức
A. ;
B.;
C.;
D..
Câu 15. Với n là số nguyên dương thỏa mãn . Trong khai triển biểu thức (x3 + 2y2)n, gọi Tk là số hạng mà tổng số mũ của x và y của số hạng đó bằng 11. Hệ số của Tk là
A. 1;
B. 8;
C. 20;
D. 16.
Dạng 2. Trắc nghiệm đúng sai
Câu hỏi. Cho
a) Hệ số của x2 là
b) Tổng các hệ số bằng
c) Hệ số của x3 là
d) Tổng của các hệ số chứa lũy thừa lẻ của x bằng
Dạng 3. Trắc nghiệm trả lời ngắn
Câu 1. Tính tổng
Câu 2. Số dân của tỉnh A vào năm 2022 vào khoảng 2 triệu người, tỉ lệ tăng dân số hàng năm của tỉnh đó là r = 1,5%, đến năm 2027 số dân của tỉnh đó vào khoảng bao nhiêu triệu người? (kết quả làm tròn đến hàng phần chục).
................................
................................
................................
Xem thêm bài tập trắc nghiệm Toán lớp 10 Cánh diều có đáp án hay khác:
Trắc nghiệm Toán 10 Bài 2: Các số đặc trưng đo xu thế trung tâm cho mẫu số liệu không ghép nhóm
Trắc nghiệm Toán 10 Bài 3: Các số liệu đặc trưng đo mức độ phân tán cho mẫu số liệu không ghép nhóm
Trắc nghiệm Toán 10 Bài 4: Xác suất của biến cố trong một số trò chơi đơn giản
Xem thêm các tài liệu học tốt lớp 10 hay khác:
- Giải sgk Toán 10 Cánh diều
- Giải Chuyên đề học tập Toán 10 Cánh diều
- Giải SBT Toán 10 Cánh diều
- Giải lớp 10 Cánh diều (các môn học)
- Giải lớp 10 Kết nối tri thức (các môn học)
- Giải lớp 10 Chân trời sáng tạo (các môn học)
Tủ sách VIETJACK shopee lớp 10-11 (cả 3 bộ sách):
Đã có app VietJack trên điện thoại, giải bài tập SGK, SBT Soạn văn, Văn mẫu, Thi online, Bài giảng....miễn phí. Tải ngay ứng dụng trên Android và iOS.
Theo dõi chúng tôi miễn phí trên mạng xã hội facebook và youtube:Nếu thấy hay, hãy động viên và chia sẻ nhé! Các bình luận không phù hợp với nội quy bình luận trang web sẽ bị cấm bình luận vĩnh viễn.
- Soạn văn 10 (hay nhất) - Cánh diều
- Soạn văn 10 (ngắn nhất) - Cánh diều
- Soạn văn 10 (siêu ngắn) - Cánh diều
- Giải sgk Toán 10 - Cánh diều
- Giải Tiếng Anh 10 Global Success
- Giải Tiếng Anh 10 Friends Global
- Giải sgk Tiếng Anh 10 iLearn Smart World
- Giải sgk Tiếng Anh 10 Explore New Worlds
- Giải sgk Vật lí 10 - Cánh diều
- Giải sgk Hóa học 10 - Cánh diều
- Giải sgk Sinh học 10 - Cánh diều
- Giải sgk Địa lí 10 - Cánh diều
- Giải sgk Lịch sử 10 - Cánh diều
- Giải sgk Kinh tế và Pháp luật 10 - Cánh diều
- Giải sgk Tin học 10 - Cánh diều
- Giải sgk Công nghệ 10 - Cánh diều
- Giải sgk Hoạt động trải nghiệm 10 - Cánh diều
- Giải sgk Giáo dục quốc phòng 10 - Cánh diều


Giải bài tập SGK & SBT
Tài liệu giáo viên
Sách
Khóa học
Thi online
Hỏi đáp

