Giải Toán 10 trang 84 Tập 2 Cánh diều
Với Giải Toán 10 trang 84 Tập 2 trong Bài 4: Vị trí tương đối và góc giữa hai đường thẳng. Khoảng cách từ một điểm đến một đường thẳng Toán 10 Cánh diều hay nhất, chi tiết sẽ giúp học sinh lớp 10 dễ dàng làm bài tập Toán 10 trang 84.
Giải Toán 10 trang 84 Tập 2 Cánh diều
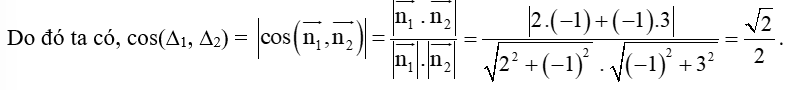
Hoạt động 5 trang 84 Toán lớp 10 Tập 2: Trong mặt phẳng tọa độ, cho hai đường thẳng ∆1 và ∆2 có vectơ chỉ phương lần lượt là . Tính cos(∆1, ∆2).
Lời giải:
Luyện tập 3 trang 84 Toán lớp 10 Tập 2: Tính số đo góc giữa hai đường thẳng ∆1 và ∆2 trong mỗi trường hợp sau:
Lời giải:
a) Đường thẳng ∆1 có vectơ chỉ phương là .
Đường thẳng ∆2 có vectơ pháp tuyến là , do đó nó có một vectơ chỉ phương là .
Vậy (∆1, ∆2) = 30°.
b) Đường thẳng ∆1 có vectơ pháp tuyến là .
Đường thẳng ∆2 có vectơ pháp tuyến là .
Vậy (∆1, ∆2) = 45°.
Lời giải bài tập Toán 10 Bài 4: Vị trí tương đối và góc giữa hai đường thẳng. Khoảng cách từ một điểm đến một đường thẳng hay khác:
- Giải Toán 10 trang 81 Tập 2
- Giải Toán 10 trang 82 Tập 2
- Giải Toán 10 trang 83 Tập 2
- Giải Toán 10 trang 85 Tập 2
- Giải Toán 10 trang 86 Tập 2
Xem thêm lời giải bài tập Toán lớp 10 Cánh diều hay, chi tiết khác:
Xem thêm các tài liệu học tốt lớp 10 hay khác:
- Giải sgk Toán 10 Cánh diều
- Giải Chuyên đề học tập Toán 10 Cánh diều
- Giải SBT Toán 10 Cánh diều
- Giải lớp 10 Cánh diều (các môn học)
- Giải lớp 10 Kết nối tri thức (các môn học)
- Giải lớp 10 Chân trời sáng tạo (các môn học)
Tủ sách VIETJACK shopee lớp 10-11 (cả 3 bộ sách):
Đã có app VietJack trên điện thoại, giải bài tập SGK, SBT Soạn văn, Văn mẫu, Thi online, Bài giảng....miễn phí. Tải ngay ứng dụng trên Android và iOS.
Theo dõi chúng tôi miễn phí trên mạng xã hội facebook và youtube:Nếu thấy hay, hãy động viên và chia sẻ nhé! Các bình luận không phù hợp với nội quy bình luận trang web sẽ bị cấm bình luận vĩnh viễn.
- Soạn văn 10 (hay nhất) - Cánh diều
- Soạn văn 10 (ngắn nhất) - Cánh diều
- Soạn văn 10 (siêu ngắn) - Cánh diều
- Giải sgk Toán 10 - Cánh diều
- Giải Tiếng Anh 10 Global Success
- Giải Tiếng Anh 10 Friends Global
- Giải sgk Tiếng Anh 10 iLearn Smart World
- Giải sgk Tiếng Anh 10 Explore New Worlds
- Giải sgk Vật lí 10 - Cánh diều
- Giải sgk Hóa học 10 - Cánh diều
- Giải sgk Sinh học 10 - Cánh diều
- Giải sgk Địa lí 10 - Cánh diều
- Giải sgk Lịch sử 10 - Cánh diều
- Giải sgk Kinh tế và Pháp luật 10 - Cánh diều
- Giải sgk Tin học 10 - Cánh diều
- Giải sgk Công nghệ 10 - Cánh diều
- Giải sgk Hoạt động trải nghiệm 10 - Cánh diều
- Giải sgk Giáo dục quốc phòng 10 - Cánh diều


Giải bài tập SGK & SBT
Tài liệu giáo viên
Sách
Khóa học
Thi online
Hỏi đáp

