Giải Toán 10 trang 92 Tập 2 Cánh diều
Với Giải Toán 10 trang 92 Tập 2 trong Bài 5: Phương trình đường tròn Toán 10 Cánh diều hay nhất, chi tiết sẽ giúp học sinh lớp 10 dễ dàng làm bài tập Toán 10 trang 92.
Giải Toán 10 trang 92 Tập 2 Cánh diều
Bài 4 trang 92 Toán lớp 10 Tập 2: Lập phương trình tiếp tuyến tại điểm có hoành độ bằng 3 thuộc đường tròn
(x + 2)2 + (y + 7)2 = 169.
Lời giải:
Ta có: (x + 2)2 + (y + 7)2 = 169 ⇔ (x – (–2))2 + (y – (–7))2 = 132.
Do đó, đường tròn đã cho có tâm I(– 2; – 7) và bán kính R = 13.
Hoành độ của tiếp điểm là 3 hay x = 3, thay vào phương trình đường tròn ta được:
(3 + 2)2 + (y + 7)2 = 169 ⇔ (y + 7)2 = 144 ⇔ (y + 7)2 = 122
Suy ra y + 7 = 12 hoặc y + 7 = – 12
Suy ra y = 5 hoặc y = – 19.
Do đó ta tìm được các điểm thuộc đường tròn có hoành độ bằng 3 là A(3; 5) và B(3; – 19).
Phương trình tiếp tuyến của đường tròn tâm I(– 2; – 7) tại điểm A(3; 5) là
(3 + 2)(x – 3) + (5 + 7)(y – 5) = 0
⇔ 5x – 15 + 12y – 60 = 0
⇔ 5x + 12y – 75 = 0.
Phương trình tiếp tuyến của đường tròn tại B(3; – 19) là
(3 + 2)(x – 3) + (– 19 + 7)(y – (– 19)) = 0
⇔ 5x – 15 – 12y – 228 = 0
⇔ 5x – 12y – 243 = 0.
Vậy các phương trình tiếp tuyến thỏa mãn là 5x + 12y – 75 = 0; 5x – 12y – 243 = 0.
Bài 5 trang 92 Toán lớp 10 Tập 2: Tìm m sao cho đường thẳng 3x + 4y + m = 0 tiếp xúc với đường tròn
(x + 1)2 + (y – 2)2 = 4.
Lời giải:
Ta có: (x + 1)2 + (y – 2)2 = 4 ⇔ (x – (– 1))2 + (y – 2)2 = 22.
Đường tròn đã cho có tâm I(– 1; 2) và bán kính R = 2.
Gọi đường thẳng d có phương trình 3x + 4y + m = 0, đường thẳng này tiếp xúc với đường tròn đã cho khi và chỉ khi khoảng cách từ tâm I của đường tròn đến đường thẳng bằng bán kính của đường tròn hay d(I, d) = R
Suy ra m + 5 = 10 hoặc m + 5 = – 10
Suy ra m = 5 hoặc m = – 15.
Vậy m = 5, m = – 15 thì thỏa mãn yêu cầu bài toán.
Bài 6 trang 92 Toán lớp 10 Tập 2: Hình 46 mô phỏng một trạm thu phát sóng điện thoại di động đặt ở vị trí I có toạ độ (– 2; 1) trong mặt phẳng toạ độ (đơn vị trên hai trục là ki-lô-mét).
a) Lập phương trình đường tròn mô tả ranh giới bên ngoài của vùng phủ sóng, biết rằng trạm thu phát sóng đó được thiết kế với bán kính phủ sóng 3 km.
b) Nếu người dùng điện thoại ở vị trí có toạ độ (– 1; 3) thì có thể sử dụng dịch vụ của trạm này không? Giải thích.
c) Tính theo đường chim bay, xác định khoảng cách ngắn nhất để một người ở vị trí có toạ độ (– 3; 4) di chuyển được tới vùng phủ sóng theo đơn vị ki-lô-mét (làm tròn kết quả đến hàng phần mười).
Lời giải:
a) Đường tròn mô tả ranh giới bên ngoài của vùng phủ sóng có tâm I(– 2; 1) và bán kính R = 3.
Do đó, phương trình đường tròn cần lập là (x + 2)2 + (y – 1)2 = 9.
b) Khoảng cách từ tâm I của đường tròn ranh giới tới vị trí có tọa độ (– 1; 3) là
d = .
Vì nên d < R.
Do đó, vị trí có tọa độ (– 1; 3) nằm bên trong đường tròn mô tả ranh giới bên ngoài của vùng phủ sóng.
Vậy người dùng điện thoại ở vị trí có tọa độ (– 1; 3) có thể sử dụng dịch vụ của trạm này.
c) Gọi vị trí người đó đang đứng là B(– 3; 4).
Ta có: , .
BI > R nên B nằm ngoài đường tròn ranh giới, giả sử đường thẳng BI cắt đường tròn tại điểm A, khi đó AB là khoảng cách ngắn nhất từ B đến vùng phủ sóng.
Ta cần tìm tọa độ điểm A.
Đường thẳng BI có một vectơ chỉ phương là vectơ nên nó có một vectơ pháp tuyến là . Do đó, phương trình đường thẳng BI là 3(x + 3) + 1(y – 4) = 0 hay 3x + y + 5 = 0.
+ Với
Ta có:
+ Với
Ta có:
Do 0,2 < 6,2 nên ta chọn kết quả 0,2.
Vậy tính theo đường chim bay, khoảng cách ngắn nhất để một người ở vị trí có toạ độ (– 3; 4) di chuyển được tới vùng phủ sóng là 0,2 km.
Bài 7 trang 92 Toán lớp 10 Tập 2: Ném đĩa là một môn thể thao thi đấu trong Thế vận hội Olympic mùa hè. Khi thực hiện cú ném, vận động viên thường quay lưng lại với hướng ném, sau đó xoay ngược chiều kim đồng hồ một vòng rưỡi của đường tròn để lấy đà rồi thả tay ra khỏi đĩa. Giả sử đĩa chuyển động trên một đường tròn tâm bán kính 0,8 trong mặt phẳng tọa độ Oxy (đơn vị trên hai trục là mét). Đến điểm , đĩa được ném đi (Hình 47). Trong những giây đầu tiên ngay sau khi được ném đi, quỹ đạo chuyển động của chiếc đĩa có phương trình như thế nào?
Lời giải:
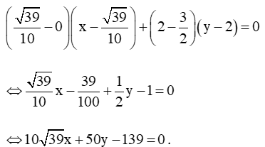
Đĩa chuyển động trên một đường tròn tâm bán kính 0,8; đến điểm , đĩa được ném đi, do đó trong những giây đầu tiên sau khi ném đi, đĩa chuyển động trên một đường thẳng là tiếp tuyến của đường tròn tâm I, bán kính 0,8 tại tiếp điểm M.
Phương trình tiếp tuyến của đường tròn tâm I tại tiếp điểm M là
Vậy trong những giây đầu tiên ngay sau khi được ném đi, quỹ đạo chuyển động của chiếc đĩa có phương trình là .
Lời giải bài tập Toán 10 Bài 5: Phương trình đường tròn hay khác:
- Giải Toán 10 trang 87 Tập 2
- Giải Toán 10 trang 88 Tập 2
- Giải Toán 10 trang 89 Tập 2
- Giải Toán 10 trang 90 Tập 2
- Giải Toán 10 trang 91 Tập 2
Xem thêm lời giải bài tập Toán lớp 10 Cánh diều hay, chi tiết khác:
Xem thêm các tài liệu học tốt lớp 10 hay khác:
- Giải sgk Toán 10 Cánh diều
- Giải Chuyên đề học tập Toán 10 Cánh diều
- Giải SBT Toán 10 Cánh diều
- Giải lớp 10 Cánh diều (các môn học)
- Giải lớp 10 Kết nối tri thức (các môn học)
- Giải lớp 10 Chân trời sáng tạo (các môn học)
Tủ sách VIETJACK shopee lớp 10-11 (cả 3 bộ sách):
Đã có app VietJack trên điện thoại, giải bài tập SGK, SBT Soạn văn, Văn mẫu, Thi online, Bài giảng....miễn phí. Tải ngay ứng dụng trên Android và iOS.
Theo dõi chúng tôi miễn phí trên mạng xã hội facebook và youtube:Nếu thấy hay, hãy động viên và chia sẻ nhé! Các bình luận không phù hợp với nội quy bình luận trang web sẽ bị cấm bình luận vĩnh viễn.
- Soạn văn 10 (hay nhất) - Cánh diều
- Soạn văn 10 (ngắn nhất) - Cánh diều
- Soạn văn 10 (siêu ngắn) - Cánh diều
- Giải sgk Toán 10 - Cánh diều
- Giải Tiếng Anh 10 Global Success
- Giải Tiếng Anh 10 Friends Global
- Giải sgk Tiếng Anh 10 iLearn Smart World
- Giải sgk Tiếng Anh 10 Explore New Worlds
- Giải sgk Vật lí 10 - Cánh diều
- Giải sgk Hóa học 10 - Cánh diều
- Giải sgk Sinh học 10 - Cánh diều
- Giải sgk Địa lí 10 - Cánh diều
- Giải sgk Lịch sử 10 - Cánh diều
- Giải sgk Kinh tế và Pháp luật 10 - Cánh diều
- Giải sgk Tin học 10 - Cánh diều
- Giải sgk Công nghệ 10 - Cánh diều
- Giải sgk Hoạt động trải nghiệm 10 - Cánh diều
- Giải sgk Giáo dục quốc phòng 10 - Cánh diều


Giải bài tập SGK & SBT
Tài liệu giáo viên
Sách
Khóa học
Thi online
Hỏi đáp

