Giải Toán 10 trang 88 Tập 1 Kết nối tri thức
Với Giải Toán 10 trang 88 Tập 1 trong Bài 14: Các số đặc trưng đo độ phân tán Toán 10 Kết nối tri thức hay nhất, chi tiết sẽ giúp học sinh lớp 10 dễ dàng làm bài tập Toán 10 trang 88.
Giải Toán 10 trang 88 Tập 1 Kết nối tri thức
Bài 5.11 trang 88 Toán 10 Tập 1: Mỗi khẳng định sau đúng hay sai?
(1) Nếu các giá trị của mẫu số liệu càng tập trung quanh giá trị trung bình thì độ lệch chuẩn càng lớn.
(2) Khoảng biến thiên chỉ sử dụng thông tin của giá trị lớn nhất và bé nhất , bỏ qua thông tin của các giá trị còn lại.
(3) Khoảng tứ phân vị có sử dụng thông tin của giá trị lớn nhất, giá trị bé nhất.
(4) Khoảng tứ phân vị chính là khoảng biến thiên của nửa dưới mẫu số liệu đã sắp xếp.
(5) Các số đo độ phân tán đều không âm.
Lời giải:
Nếu các giá trị của mẫu số liệu càng tập trung quanh giá trị trung bình thì độ phân tán nhỏ nên độ lệch chuẩn càng nhỏ. Do đó (1) sai.
Khoảng biến thiên chỉ sử dụng thông tin của giá trị lớn nhất và bé nhất , bỏ qua thông tin của các giá trị còn lại. Do đó (2) đúng.
Khoảng tứ phân vị là hiệu số giữa tứ phân vị thứ ba và tứ phân vị thứ nhất. Do đó (3) sai.
Về bản chất, khoảng tứ phân vị là khoảng biến thiên của 50% số liệu chính giữa của mẫu số liệu đã sắp xếp. Do đó (4) sai.
Các số đo độ phân tán gồm:
Khoảng biến thiên là hiệu của giá trị lớn nhất và giá trị nhỏ nhất nên không âm.
Khoảng tứ phân vị là hiệu của tứ phân vị thứ ba và tứ phân vị thứ nhất mà dãy số liệu được sắp xếp theo thứ tự không giảm nên không âm.
Phương sai và độ lệch chuẩn đều không âm.
Do đó (5) đúng.
Bài 5.12 trang 88 Toán 10 Tập 1: Cho hai biểu đồ chấm điểm biểu diễn hai mẫu số liệu A, B như sau:
Không tính toán, hãy cho biết:
a) Hai mẫu số liệu này có cùng khoảng biến thiên và số trung bình không?
b) Mẫu số liệu nào có phương sai lớn hơn?
Lời giải:
a)
Mẫu số liệu thứ nhất và mẫu số liệu thứ hai đều có giá trị lớn nhất là 9 và giá trị nhỏ nhất là 3. Do đó hai mẫu số liệu này có cùng khoảng biến thiên.
Hai mẫu số liệu đều đối xứng nhau qua giá trị 6 nên có số trung bình bằng 6.
Do đó hai mẫu số liệu có cùng giá trị trung bình.
b)
Các giá trị của dãy số liệu B tập trung nhiều hơn quanh giá trị trung bình nên mẫu số liệu B có độ phân tán nhỏ hơn, do đó mẫu số liệu B có phương sai nhỏ hơn.
Vậy mẫu số liệu A có phương sai lớn hơn.
Bài 5.13 trang 88 Toán 10 Tập 1: Cho mẫu số liệu gồm 10 số dương không hoàn toàn giống nhau. Các số đo độ phân tán (khoảng biến thiên, khoảng tứ phân vị, độ lệch chuẩn) sẽ thay đổi như thế nào nếu:
a) Nhân mỗi giá trị của mẫu số liệu với 2.
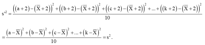
b) Cộng mỗi giá trị của mẫu số liệu với 2.
Lời giải:
a) Giả sử các giá trị dương của mẫu số liệu ban đầu được sắp xếp theo thứ tự từ không giảm là: a; b; c; d; e; f; g; h; i; k.
Số trung bình cộng của mẫu số liệu là:
Phương sai:
Độ lệch chuẩn:
Giá trị lớn nhất là k, giá trị nhỏ nhất là a. Khi đó khoảng biến thiên: R = k – a.
Vì n = 10 nên trung vị là trung bình cộng hai giá trị chính giữa:
Nửa mẫu số liệu bên trái có tứ phân vị thứ nhất là
Nửa mẫu số liệu bên phải có tứ phân vị thứ ba là .
Khi đó khoảng tứ phân vị là:
+) Nhân mỗi giá trị của mẫu số liệu trên với 2 ta được dãy số liệu mới được sắp xếp theo thứ tự từ không giảm là: 2a; 2b; 2c; 2d; 2e; 2f; 2g; 2h; 2i; 2k.
Số trung bình cộng của mẫu số liệu là:
Phương sai:
Độ lệch chuẩn:
Giá trị lớn nhất là 2k, giá trị nhỏ nhất là 2a. Khi đó khoảng biến thiên:
R’ = 2k – 2a = 2(k – a) = 2R.
Ta có: tứ phân vị thứ nhất là và tứ phân vị thứ ba là . Khi đó khoảng tứ phân vị là:
Vậy các khoảng biến thiên, độ lệch chuẩn, khoảng tứ phân vị của dãy số liệu mới bằng hai lần các khoảng biến thiên, độ lệch chuẩn, khoảng tứ phân vị ban đầu.
b)
Các giá trị dương của mẫu số liệu khi cộng thêm mẫu số liệu với 2 và sắp xếp theo thứ tự không giảm ta được: a + 2; b + 2; c + 2; d + 2; e + 2; f + 2; g + 2; h + 2; i + 2; k + 2.
Số trung bình cộng của mẫu số liệu là:
Phương sai:
Độ lệch chuẩn:
Giá trị lớn nhất là k + 2, giá trị nhỏ nhất là a + 2. Khi đó khoảng biến thiên:
R’ = (k + 2) – (a + 2) = k – a = R.
Ta có: tứ phân vị thứ nhất là
và tứ phân vị thứ ba là
.
Khi đó khoảng tứ phân vị là:
Vậy các khoảng biến thiên, độ lệch chuẩn, khoảng tứ phân vị của dãy số liệu mới bằng các khoảng biến thiên, độ lệch chuẩn, khoảng tứ phân vị ban đầu.
Bài 5.14 trang 88 Toán 10 Tập 1: Từ mẫu số liệu về thuế thuốc lá của 51 thành phố tại một quốc gia, người ta tính được:
Giá trị nhỏ nhất bằng 2,5; Q1 = 36; Q2 = 60; Q3 = 100; giá trị lớn nhất bằng 205.
a) Tỉ lệ thành phố có thuế thuốc lá lớn hơn 36 là bao nhiêu?
b) Chỉ ra hai giá trị sao cho có 50% giá trị của mẫu số liệu nằm giữa hai giá trị này?
c) Tìm khoảng tứ phân vị của mẫu số liệu.
Lời giải:
a) Vì số các giá trị của số liệu n = 51 là số lẻ nên trung vị của số liệu là giá trị thứ 26.
Nửa bên trái số trung vị gồm 25 số liệu là số lẻ nên tứ phân vị thứ nhất là giá trị thứ 13 có giá trị là 36.
Do đó có 38 thành phố có thuế thuốc lá lớn hơn 36.
Suy ra tỉ lệ các thành phố có thuế thuốc lá lớn hơn 36 là:
Vậy tỉ lệ các thành phố có thuế thuốc là lớn hơn 36 khoảng 75%.
b)
Tứ phân vị thứ nhất là giá trị thứ 13, tứ phân vị thứ ba là giá trị thứ 39.
Giữa hai giá trị là các giá trị thứ 13 đến giá trị thứ 39. Do đó có tất cả (39 – 13):1 + 1 = 27 giá trị.
Mà
Vậy giữa hai giá trị Q1 = 36 và Q3 = 100 có khoảng 50% giá trị của mẫu số liệu nằm giữa hai giá trị này.
Ngoài ra, còn có nhiều phương án khác cho ý này, chẳng hạn từ giá trị nhỏ nhất đến Q2 có 50% giá trị của mẫu số liệu nằm giữa hai giá trị này (đó là 2,5 và 60).
c) Khoảng tứ phân vị của mẫu số liệu này là: ∆Q = Q3 – Q1 = 100 – 36 = 64.
Bài 5.15 trang 88 Toán 10 Tập 1: Mẫu số liệu sau đây cho biết cân nặng của 10 trẻ sơ sinh (đơn vị kg):
2,977 3,155 3,920 3,412 4,236
2,593 3,270 3,813 4,042 3,387.
Hãy tìm khoảng biến thiên, khoảng tứ phân vị và độ lệch chuẩn cho mẫu số liệu này.
Lời giải:
Sắp xếp các giá trị của số liệu trên theo thứ tự từ bé đến lớn là:
2,593; 2,977; 3,155; 3,270; 3,387; 3,412; 3,813; 3,920; 4,042; 4,236. .
Ta có giá trị lớn nhất là 4,236 kg và giá trị nhỏ nhất là 2,593 kg.
Khi đó khoảng biến thiên là: R = 4,236 – 2,593 = 1,643.
Vì n = 10 là số chẵn nên trung vị là trung bình cộng của hai giá trị chính giữa: Q2 = (3,387 + 3,412):2 = 3,3995.
Nửa số liệu bên trái gồm 5 số liệu là một số lẻ nên tứ phân vị thứ nhất là: Q1 = 3,155.
Nửa số liệu bên phải gồm 5 số liệu là một số lẻ nên tứ phân vị thứ ba là: Q3 = 3,920.
Khoảng tứ phân vị là:
∆Q = Q3 – Q1 = 3,920 – 3,155 = 0,765.
Số trung bình cộng của mẫu số liệu là:
Vậy khoảng biến thiên R = 1,643, khoảng tứ phân vị ∆Q = 0,765; độ lệch chuẩn s ≈ 0,49.
Bài 5.16 trang 88 Toán 10 Tập 1: Tỉ lệ thất nghiệp ở một quốc gia vào năm 2007 (đơn vị %) được cho như sau:
7,8 3,2 7,7 8,7 8,6 8,4 7,2 3,6
5,0 4,4 6,7 7,0 4,5 6,0 5,4.
Hãy tìm các giá trị bất thường (nếu có) của mẫu số liệu trên.
Lời giải:
Sắp xếp dãy số liệu theo thứ tự không giảm, ta được:
3,2; 3,6; 4,4; 4,5; 5,0; 5,4; 6,0; 6,7; 7,0; 7,2; 7,7; 7,8; 8,4; 8,6; 8,7.
Vì n = 15 là số lẻ nên số trung vị là giá trị chính giữa Q2 = 6,7.
Nửa số liệu bên trái có 7 số liệu nên có tứ phân vị thứ nhất là Q1 = 4,5.
Nửa số liệu bên phải có 7 số liệu nên có tứ phân vị thứ ba là Q3 = 7,8.
Khoảng tứ phân vị là: ∆Q = Q3 – Q1 = 7,8 – 4,5 = 3,3.
Ta có: Q1 – 1,5ΔQ = 4,5 – 4,95 = -0,45 và Q3 + 1,5ΔQ = 7,8 + 4,95 = 12,75 nên trong mẫu số liệu đã cho không có giá trị nào bất thường.
Vậy mẫu số liệu đã cho không có giá trị nào bất thường.
Lời giải bài tập Toán 10 Bài 14: Các số đặc trưng đo độ phân tán hay khác:
Xem thêm lời giải bài tập Toán lớp 10 Kết nối tri thức hay, chi tiết khác:
Xem thêm các tài liệu học tốt lớp 10 hay khác:
- Giải sgk Toán 10 Kết nối tri thức
- Giải Chuyên đề học tập Toán 10 Kết nối tri thức
- Giải SBT Toán 10 Kết nối tri thức
- Giải lớp 10 Kết nối tri thức (các môn học)
- Giải lớp 10 Chân trời sáng tạo (các môn học)
- Giải lớp 10 Cánh diều (các môn học)
Tủ sách VIETJACK shopee lớp 10-11 (cả 3 bộ sách):
Đã có app VietJack trên điện thoại, giải bài tập SGK, SBT Soạn văn, Văn mẫu, Thi online, Bài giảng....miễn phí. Tải ngay ứng dụng trên Android và iOS.
Theo dõi chúng tôi miễn phí trên mạng xã hội facebook và youtube:Nếu thấy hay, hãy động viên và chia sẻ nhé! Các bình luận không phù hợp với nội quy bình luận trang web sẽ bị cấm bình luận vĩnh viễn.
- Soạn văn 10 (hay nhất) - KNTT
- Soạn văn 10 (ngắn nhất) - KNTT
- Soạn văn 10 (siêu ngắn) - KNTT
- Giải sgk Toán 10 - KNTT
- Giải Tiếng Anh 10 Global Success
- Giải Tiếng Anh 10 Friends Global
- Giải sgk Tiếng Anh 10 iLearn Smart World
- Giải sgk Tiếng Anh 10 Explore New Worlds
- Giải sgk Vật lí 10 - KNTT
- Giải sgk Hóa học 10 - KNTT
- Giải sgk Sinh học 10 - KNTT
- Giải sgk Địa lí 10 - KNTT
- Giải sgk Lịch sử 10 - KNTT
- Giải sgk Kinh tế và Pháp luật 10 - KNTT
- Giải sgk Tin học 10 - KNTT
- Giải sgk Công nghệ 10 - KNTT
- Giải sgk Hoạt động trải nghiệm 10 - KNTT
- Giải sgk Giáo dục quốc phòng 10 - KNTT


Giải bài tập SGK & SBT
Tài liệu giáo viên
Sách
Khóa học
Thi online
Hỏi đáp

