Phương trình lượng giác cơ bản lớp 11 (Lý thuyết Toán 11 Cánh diều)
Với tóm tắt lý thuyết Toán 11 Bài 4: Phương trình lượng giác cơ bản sách Cánh diều hay nhất, chi tiết sẽ giúp học sinh lớp 11 nắm vững kiến thức trọng tâm, ôn luyện để học tốt môn Toán 11.
Phương trình lượng giác cơ bản lớp 11 (Lý thuyết Toán 11 Cánh diều)
(199k) Xem Khóa học Toán 11 CD
Bài giảng: Bài 4: Phương trình lượng giác cơ bản - Cô Nguyễn Yến (Giáo viên VietJack)
Lý thuyết Phương trình lượng giác cơ bản
1. Phương trình tương đương
– Định nghĩa:
Hai phương trình (cùng ẩn) được gọi là tương đương nếu chúng có cùng tập nghiệm.
Nếu phương trình f1(x) = g1(x) tương đương với phương trình f2(x) = g2(x) thì ta viết f1(x) = g1(x) ⇔ f2(x) = g2(x).
Chú ý: Khi giải phương tình cần lưu ý tới điều kiện xác định của phương trình (hay gọi tắt là điều kiện của phương trình).
– Định lí sau đây nêu lên một số phép biến đổi tương đương thường sử dụng:
Nếu thực hiện các phép biến đổi sau đây trên một phương trình mà không làm thay đổi điều kiện của nó thì ta được một phương trình mới tương đương.
a) Cộng hay trừ hai vế với cùng một số hoặc cùng một biểu thức.
b) Nhân hoặc chia hai vế với cùng một số khác 0 hoặc với cùng một biểu thức luôn có giá trị khác 0.
Ví dụ 1. Giải phương trình (2x – 1)2 = 3x2 – 7x + 11.
Hướng dẫn giải
Ta có (2x – 1)2 = 3x2 – 7x + 11.
⇔ 4x2 – 4x + 1 = 3x2 – 7x + 11.
⇔ x2 + 3x – 10 = 0.
.
Vậy tập nghiệm của phương trình đã cho là S = {–5; 2}.
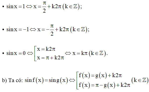
2. Phương trình sinx = m
Trong trường hợp tổng quát, ta có thể giải phương trình sinx = m như sau:
⦁ Với |m| > 1, phương trình sinx = m vô nghiệm.
⦁ Với |m| ≤ 1, gọi α là số thực thuộc đoạn sao cho sinα = m. Khi đó, ta có:
Chú ý:
a) Ta có một số trường hợp đặc biệt sau của phương trình sinx = m:
c) Nếu x là góc lượng giác có đơn vị đo là độ thì ta có thể tìm góc lượng giác x sao cho sinx = sina° như sau:
Ví dụ 2. Giải các phương trình sau:
Hướng dẫn giải
3. Phương trình cosx = m
Trong trường hợp tổng quát, ta có thể giải phương trình cosx = m như sau:
⦁ Với |m| > 1, phương trình cosx = m vô nghiệm.
⦁ Với |m| ≤ 1, gọi α là số thực thuộc đoạn [0; π] sao cho cosα = m. Khi đó, ta có:
.
Chú ý:
a) Ta có một số trường hợp đặc biệt sau của phương trình cosx = m:
⦁ cosx = 1 ⇔ x = k2π (k ∈ ℤ);
⦁ cosx = –1 ⇔ x = π + k2π (k ∈ ℤ);
.
b) Ta có: .
c) Nếu x là góc lượng giác có đơn vị đo là độ thì ta có thể tìm góc lượng giác x sao cho cosx = cosa° như sau: .
Ví dụ 3. Giải các phương trình sau:
a) ;
b) ;
c) cosx = cos142°;
d) cos4x = sinx.
Hướng dẫn giải
a) Do nên .
b) Do nên .
c) cosx = cos(–142°).
⇔ cosx = cos142°.
4. Phương trình tanx = m
Trong trường hợp tổng quát, ta có cách giải phương trình tanx = m như sau:
Gọi α là số thực thuộc khoảng sao cho tanα = m. Khi đó với mọi m ∈ ℝ, ta có:
tanx = m ⇔ tanx = tanα ⇔ x = α + kπ (k ∈ ℤ).
Chú ý: Nếu x là góc lượng giác có đơn vị đo là độ thì ta có thể tìm góc lượng giác x sao cho tanx = tana° như sau:
tanx = tana° ⇔ x = a° + k180° (k ∈ ℤ).
Ví dụ 4. Giải các phương trình sau:
a) ;
b) tanx = tan210°.
Hướng dẫn giải
b) tanx = tan210°.
⇔ tanx = tan(180° + 30°).
⇔ tanx = tan30°.
⇔ x = 30° + k180° (k ∈ ℤ).
Vậy phương trình đã cho có nghiệm là x = 30° + k180° (k ∈ ℤ).
5. Phương trình cotx = m
Trong trường hợp tổng quát, ta có cách giải phương trình cotx = m như sau:
Gọi α là số thực thuộc khoảng (0; π) sao cho cotα = m. Khi đó với mọi m ∈ ℝ, ta có:
cotx = m ⇔ cotx = cotα ⇔ x = α + kπ (k ∈ ℤ).
Chú ý: Nếu x là góc lượng giác có đơn vị đo là độ thì ta có thể tìm góc lượng giác x sao cho cotx = cota° như sau:
cotx = cota° ⇔ x = a° + k180° (k ∈ ℤ).
Ví dụ 5. Giải các phương trình sau:
a) ;
b) cot2x = cot24°.
Hướng dẫn giải
b) cot2x = cot24°.
⇔ 2x = 24° + k180° (k ∈ ℤ).
⇔ x = 12° + k90° (k ∈ ℤ).
Vậy phương trình đã cho có nghiệm là x = 12° + k90° (k ∈ ℤ).
6. Giải phương trình lượng giác cơ bản bằng máy tính cầm tay
Có thể sử dụng máy tính cầm tay (MTCT) để giải các phương trình lượng giác cơ bản.
Chú ý: Để giải phương trình cotx = a (a ≠ 0) bằng MTCT, ta đưa về giải phương trình .
Ví dụ 6. Sử dụng MTCT để giải mỗi phương trình sau với kết quả là radian (làm tròn kết quả đến hàng phần nghìn):
a) ;
b) cos2x = –0,7;
c) tanx = –2;
d) cotx = 5.
Hướng dẫn giải
Chuyển MTCT sang chế độ “radian”.
a) Bấm liên tiếp các phím sau trên MTCT: .
Ta được kết quả gần đúng (làm tròn đến hàng phần nghìn) là: 0,253.
Khi đó, ta có: .
Vậy phương trình đã cho có nghiệm là .
b) Bấm liên tiếp các phím sau trên MTCT: .
Ta được kết quả gần đúng (làm tròn đến hàng phần nghìn) là: 2,346.
Khi đó, ta có: cos2x = –0,7 ⇔ 2x ≈ ±2,346 + k2π (k ∈ ℤ).
⇔ x ≈ ±1,173 + kπ (k ∈ ℤ).
Vậy phương trình đã cho có nghiệm là: x ≈ ±1,173 + kπ (k ∈ ℤ).
c) Bấm liên tiếp các phím sau trên MTCT: .
Ta được kết quả gần đúng (làm tròn đến hàng phần nghìn) là: –1,107.
Khi đó, ta có: tanx = –2 ⇔ x ≈ –1,107 + kπ (k ∈ ℤ).
Vậy phương trình đã cho có nghiệm là: x ≈ –1,107 + kπ (k ∈ ℤ).
d) .
Bấm liên tiếp các phím sau trên MTCT: .
Ta được kết quả gần đúng (làm tròn đến hàng phần nghìn) là: 0,197.
Khi đó, ta có: .
Vậy phương trình đã cho có nghiệm là: x ≈ 0,197 + kπ (k ∈ ℤ).
Bài tập Phương trình lượng giác cơ bản
Bài 1. Giải các phương trình sau:
Hướng dẫn giải
⇔ x = –60° + k360° (k ∈ ℤ).
Vậy phương trình đã cho có nghiệm là x = –60° + k360° (k ∈ ℤ).
Bài 2. Giải các phương trình sau:
a) sinx.cos2x = sin2x.cos3x;
Hướng dẫn giải
a) sinx.cos2x = sin2x.cos3x.
c) .
.
⇔ cos5x + cosx = 0.
⇔ 2cos3x.cos2x = 0.
Vậy phương trình đã cho có nghiệm là .
Bài 3.
a) Cho phương trình , m là tham số. Với giá trị nào của m thì phương trình đã cho vô nghiệm?
b) Cho phương trình , m là tham số. Với giá trị nào của m thì phương trình đã cho có nghiệm?
Hướng dẫn giải
a) TXĐ: D = ℝ.
Phương trình vô nghiệm ⇔ |m2 + 9| > 1.
⇔ m2 + 9 > 1.
⇔ m2 > –8, ∀m ∈ ℝ.
Vậy phương trình vô nghiệm, ∀m ∈ ℝ.
b) TXĐ: D = ℝ.
Phương trình có nghiệm
Bài 4. Giả sử một vật dao động điều hòa xung quanh vị trí cân bằng theo phương trình , với t là thời gian tính bằng giây và x là quãng đường tính bằng cm. Hãy cho biết trong khoảng thời gian từ 0 đến 5 giây, vật đi qua vị trí cân bằng bao nhiêu lần?
Hướng dẫn giải
Yêu cầu bài toán ⇔ Tìm t sao cho x = 0, với 0 ≤ t ≤ 5.
Ta có x = 0.
Ta có 0 ≤ t ≤ 5.
.
.
.
Mà k ∈ ℤ nên k ∈ {–1; 0; 1; 2; 3; 4; 5; 6; 7; 8; 9; 10; 11; 12; 13; 14; 15; 16; 17; 18}.
Có tất cả 20 giá trị k thỏa mãn.
Vậy trong khoảng thời gian từ 0 đến 5 giây, vật đi qua vị trí cân bằng 20 lần.
Học tốt Phương trình lượng giác cơ bản
Các bài học để học tốt Phương trình lượng giác cơ bản Toán lớp 11 hay khác:
(199k) Xem Khóa học Toán 11 CD
Xem thêm tóm tắt lý thuyết Toán lớp 11 Cánh diều hay, chi tiết khác:
Xem thêm các tài liệu học tốt lớp 11 hay khác:
- Giải sgk Toán 11 Cánh diều
- Giải Chuyên đề học tập Toán 11 Cánh diều
- Giải SBT Toán 11 Cánh diều
- Giải lớp 11 Cánh diều (các môn học)
- Giải lớp 11 Kết nối tri thức (các môn học)
- Giải lớp 11 Chân trời sáng tạo (các môn học)
Tủ sách VIETJACK shopee lớp 10-11 (cả 3 bộ sách):
Đã có app VietJack trên điện thoại, giải bài tập SGK, SBT Soạn văn, Văn mẫu, Thi online, Bài giảng....miễn phí. Tải ngay ứng dụng trên Android và iOS.
Theo dõi chúng tôi miễn phí trên mạng xã hội facebook và youtube:Nếu thấy hay, hãy động viên và chia sẻ nhé! Các bình luận không phù hợp với nội quy bình luận trang web sẽ bị cấm bình luận vĩnh viễn.
- Soạn văn 11 Cánh diều (hay nhất)
- Soạn văn 11 Cánh diều (ngắn nhất)
- Giải sgk Toán 11 - Cánh diều
- Giải Tiếng Anh 11 Global Success
- Giải sgk Tiếng Anh 11 Smart World
- Giải sgk Tiếng Anh 11 Friends Global
- Giải sgk Vật Lí 11 - Cánh diều
- Giải sgk Hóa học 11 - Cánh diều
- Giải sgk Sinh học 11 - Cánh diều
- Giải sgk Lịch Sử 11 - Cánh diều
- Giải sgk Địa Lí 11 - Cánh diều
- Giải sgk Giáo dục KTPL 11 - Cánh diều
- Giải sgk Tin học 11 - Cánh diều
- Giải sgk Công nghệ 11 - Cánh diều
- Giải sgk Hoạt động trải nghiệm 11 - Cánh diều
- Giải sgk Giáo dục quốc phòng 11 - Cánh diều
- Giải sgk Âm nhạc 11 - Cánh diều


Giải bài tập SGK & SBT
Tài liệu giáo viên
Sách
Khóa học
Thi online
Hỏi đáp

