Đề kiểm tra Toán 11 Chân trời sáng tạo Chương 2 (có lời giải)
Đề kiểm tra Toán 11 Chân trời sáng tạo Chương 2: Dãy số. Cấp số cộng. Cấp số nhân có đáp án chi tiết theo cấu trúc mới với bài tập đa dạng đầy đủ các mức độ sẽ giúp học sinh lớp 11 ôn luyện Toán 11.
Đề kiểm tra Toán 11 Chân trời sáng tạo Chương 2 (có lời giải)
Chỉ từ 250k mua trọn bộ Bài tập ôn tập + Đề kiểm tra Toán 11 Chân trời sáng tạo theo Chương theo cấu trúc mới bản word có lời giải chi tiết, trình bày đẹp mắt, dễ dàng chỉnh sửa:
- B1: gửi phí vào tk:
1133836868- CT TNHH DAU TU VA DV GD VIETJACK - Ngân hàng MB (QR) - B2: Nhắn tin tới Zalo VietJack Official - nhấn vào đây để thông báo và nhận đề thi
Phần 1. Trắc nghiệm nhiều phương án lựa chọn
Mỗi câu hỏi thí sinh chỉ chọn một phương án.
Câu 1. Trong các dãy số sau, dãy số nào là dãy số hữu hạn
A. 8; 15; 22; 29; 36.
B.
C. 2; 0; 4; 6; 8;...
D. 5; 10; 15; 20; 25;...
Câu 2. Cho các dãy số sau. Dãy số nào là dãy số tăng?
A. 1; 3; 5; 7; 9;...
B.
C. 2; 2; 2; 2; 2;...
D. .
Câu 3. Trong các dãy số sau, dãy số nào là một cấp số nhân?
A. 2; 4; 6; 8; 16; 32;...
B. 1; 2; 3; 4; 5; 6;...
C. −2; −3; −4; −5; −6; −7;...
D. 1; 2; 4; 8; 16; 32; ...
Câu 4. Cho cấp số cộng biết với . Công sai d bằng
A. 3.
B. −3.
C. 1.
D. −1.
Câu 5. Cho cấp số nhân có số hạng đầu và công bội . Gọi là tổng của số hạng đầu của cấp số nhân. Khẳng định nào sau đây đúng?
A. .
B. .
C. .
D. .
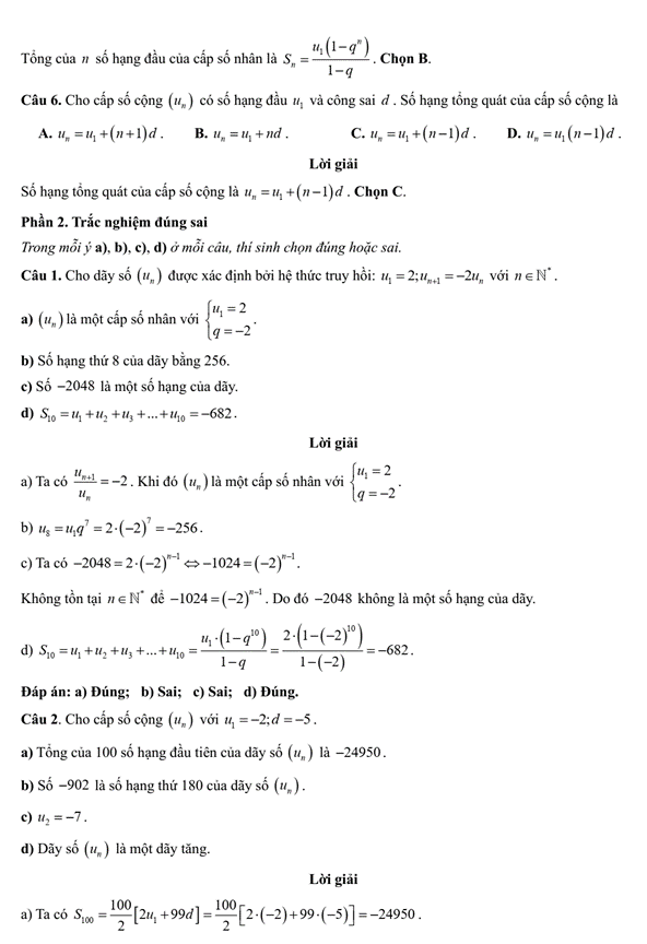
Câu 6. Cho cấp số cộng có số hạng đầu và công sai d. Số hạng tổng quát của cấp số cộng là
A. .
B. .
C. .
D. .
Phần 2. Trắc nghiệm đúng sai
Trong mỗi ý a), b), c), d) ở mỗi câu, thí sinh chọn đúng hoặc sai.
Câu 1. Cho dãy số được xác định bởi hệ thức truy hồi: với .
a) là một cấp số nhân với .
b) Số hạng thứ 8 của dãy bằng 256.
c) Số -2048 là một số hạng của dãy.
d) .
Câu 2. Cho cấp số cộng với .
a) Tổng của 100 số hạng đầu tiên của dãy số là .
b) Số -902 là số hạng thứ 180 của dãy số .
c) .
d) Dãy số là một dãy tăng.
Phần 3. Trắc nghiệm trả lời ngắn
Câu 1. Người ta trồng 465 cây trong một khu vườn hình tam giác theo cách sau: Hàng thứ nhất có 1 cây, hàng thứ hai có 2 cây và cứ như thế mỗi hàng sau sẽ có nhiều hơn hàng ngay trước đó 1 cây. Hỏi tổng số hàng cây trong khu vườn bằng bao nhiêu?
Câu 2. Cho cấp số cộng có số hạng đầu tiên và công sai d thỏa mãn . Giá trị của biểu thức bằng bao nhiêu?
Câu 3. Cô Ngọc mua một chiếc ô tô giá 600 triệu đồng. Trung bình sau mỗi năm sử dụng, giá trị của ô tô giảm đi 8% (so với năm trước đó). Giả sử sau bốn năm, cô bán xe bằng giá trị còn lại của xe và thêm tiền để mua xe mới giá 800 triệu thì cô phải bù thêm bao nhiêu triệu đồng? (các phép toán làm tròn đến hàng triệu).
................................
................................
................................
Xem thêm đề kiểm tra Toán lớp 11 Chân trời sáng tạo có đáp án hay khác:
Đề kiểm tra Toán 11 Chân trời sáng tạo Chương 1 (có lời giải)
Đề kiểm tra Toán 11 Chân trời sáng tạo Chương 3 (có lời giải)
Đề kiểm tra Toán 11 Chân trời sáng tạo Chương 4 (có lời giải)
Đề kiểm tra Toán 11 Chân trời sáng tạo Chương 5 (có lời giải)
Đề kiểm tra Toán 11 Chân trời sáng tạo Chương 6 (có lời giải)
Đề kiểm tra Toán 11 Chân trời sáng tạo Chương 7 (có lời giải)
Đề kiểm tra Toán 11 Chân trời sáng tạo Chương 8 (có lời giải)
Đề kiểm tra Toán 11 Chân trời sáng tạo Chương 9 (có lời giải)
Xem thêm các tài liệu học tốt lớp 11 hay khác:
- Giải sgk Toán 11 Chân trời sáng tạo
- Giải Chuyên đề học tập Toán 11 Chân trời sáng tạo
- Giải SBT Toán 11 Chân trời sáng tạo
- Giải lớp 11 Chân trời sáng tạo (các môn học)
- Giải lớp 11 Kết nối tri thức (các môn học)
- Giải lớp 11 Cánh diều (các môn học)
Tủ sách VIETJACK shopee lớp 10-11 (cả 3 bộ sách):
Đã có app VietJack trên điện thoại, giải bài tập SGK, SBT Soạn văn, Văn mẫu, Thi online, Bài giảng....miễn phí. Tải ngay ứng dụng trên Android và iOS.
Theo dõi chúng tôi miễn phí trên mạng xã hội facebook và youtube:Nếu thấy hay, hãy động viên và chia sẻ nhé! Các bình luận không phù hợp với nội quy bình luận trang web sẽ bị cấm bình luận vĩnh viễn.
- Soạn văn 11 (hay nhất) - CTST
- Soạn văn 11 (ngắn nhất) - CTST
- Giải sgk Toán 11 - CTST
- Giải Tiếng Anh 11 Global Success
- Giải sgk Tiếng Anh 11 Smart World
- Giải sgk Tiếng Anh 11 Friends Global
- Giải sgk Vật Lí 11 - CTST
- Giải sgk Hóa học 11 - CTST
- Giải sgk Sinh học 11 - CTST
- Giải sgk Lịch Sử 11 - CTST
- Giải sgk Địa Lí 11 - CTST
- Giải sgk Giáo dục KTPL 11 - CTST
- Giải sgk Hoạt động trải nghiệm 11 - CTST
- Giải sgk Âm nhạc 11 - CTST


Giải bài tập SGK & SBT
Tài liệu giáo viên
Sách
Khóa học
Thi online
Hỏi đáp

