Đề kiểm tra Toán 11 Chân trời sáng tạo Chương 7 (có lời giải)
Đề kiểm tra Toán 11 Chân trời sáng tạo Chương 7: Đạo hàm có đáp án chi tiết theo cấu trúc mới với bài tập đa dạng đầy đủ các mức độ sẽ giúp học sinh lớp 11 ôn luyện Toán 11.
Đề kiểm tra Toán 11 Chân trời sáng tạo Chương 7 (có lời giải)
Chỉ từ 250k mua trọn bộ Bài tập ôn tập + Đề kiểm tra Toán 11 Chân trời sáng tạo theo Chương theo cấu trúc mới bản word có lời giải chi tiết, trình bày đẹp mắt, dễ dàng chỉnh sửa:
- B1: gửi phí vào tk:
1133836868- CT TNHH DAU TU VA DV GD VIETJACK - Ngân hàng MB (QR) - B2: Nhắn tin tới Zalo VietJack Official - nhấn vào đây để thông báo và nhận đề thi
Phần 1. Trắc nghiệm nhiều phương án lựa chọn
Mỗi câu hỏi thí sinh chỉ chọn một phương án.
Câu 1. Khẳng định nào sau đây là đúng?
A. .
B. .
C. .
D. .
Câu 2. Hàm số có đạo hàm là
A. .
B. .
C. .
D. .
Câu 3. Cho hàm số y = -2x3 + 6x - 5 có đồ thị (C). Phương trình tiếp tuyến của (C) tại điểm M có hoành độ bằng 3 là
A. y = 18x + 49.
B. y = 18x - 49.
C. y = -18x + 49.
D. y = -18x - 49.
Câu 4. Cho hàm số y = e-2x . cosx. Mệnh đề nào dưới đây đúng?
A. y'' - 4y' + 5y = 0.
B. y'' + 4y' + 5y = 0.
C. y' + 4y'' + 5y = 0.
D. y' - 4y'' + 5y = 0.
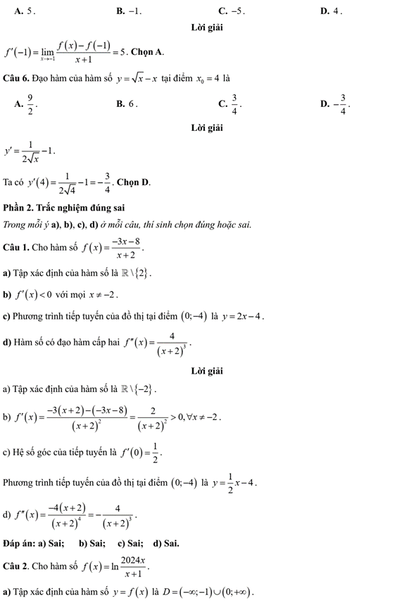
Câu 5. Cho hàm số y = f(x) có . Khi đó f'(-1) bằng
A. 5.
B. -1.
C. -5.
D. 4.
Câu 6. Đạo hàm của hàm số tại điểm x0 = 4 là
A. .
B. 6.
C. .
D. .
Phần 2. Trắc nghiệm đúng sai
Trong mỗi ý a), b), c), d) ở mỗi câu, thí sinh chọn đúng hoặc sai.
Câu 1. Cho hàm số .
a) Tập xác định của hàm số là R \ {2}.
b) f'(x) < 0 với mọi .
c) Phương trình tiếp tuyến của đồ thị tại điểm (0; -4) là y = 2x - 4.
d) Hàm số có đạo hàm cấp hai .
Câu 2. Cho hàm số .
a) Tập xác định của hàm số y = f(x) là .
b) Đạo hàm của hàm số y = f(x) là .
c) .
d) .
Phần 3. Trắc nghiệm trả lời ngắn
Câu 1. Một viên đạn được bắn lên cao theo phương thẳng đứng có phương trình chuyển động h(t) = 3 + 196t - 4,9t2, trong đó t > 0, t là thời gian chuyển động và được tính bằng giây; h là độ cao so với mặt đất và được tính bằng mét. Tại thời điểm viên đạn đạt vận tốc tức thời bằng 98 m/s thì viên đạn ở độ cao so với mặt đất bằng bao nhiêu mét?
Câu 2. Cho hàm số f(x) = log2(x2 - 1). Phương trình y' = 0 có bao nhiêu nghiệm?
Câu 3. Một chất điểm có phương trình chuyển động , trong đó t > 0, t tính bằng giây, s(t) tính bằng mét. Tính gia tốc tức thời của chất điểm tại thời điểm giây theo đơn vị m/s2.
................................
................................
................................
Xem thêm đề kiểm tra Toán lớp 11 Chân trời sáng tạo có đáp án hay khác:
Đề kiểm tra Toán 11 Chân trời sáng tạo Chương 1 (có lời giải)
Đề kiểm tra Toán 11 Chân trời sáng tạo Chương 2 (có lời giải)
Đề kiểm tra Toán 11 Chân trời sáng tạo Chương 3 (có lời giải)
Đề kiểm tra Toán 11 Chân trời sáng tạo Chương 4 (có lời giải)
Đề kiểm tra Toán 11 Chân trời sáng tạo Chương 5 (có lời giải)
Đề kiểm tra Toán 11 Chân trời sáng tạo Chương 6 (có lời giải)
Đề kiểm tra Toán 11 Chân trời sáng tạo Chương 8 (có lời giải)
Đề kiểm tra Toán 11 Chân trời sáng tạo Chương 9 (có lời giải)
Xem thêm các tài liệu học tốt lớp 11 hay khác:
- Giải sgk Toán 11 Chân trời sáng tạo
- Giải Chuyên đề học tập Toán 11 Chân trời sáng tạo
- Giải SBT Toán 11 Chân trời sáng tạo
- Giải lớp 11 Chân trời sáng tạo (các môn học)
- Giải lớp 11 Kết nối tri thức (các môn học)
- Giải lớp 11 Cánh diều (các môn học)
Tủ sách VIETJACK shopee lớp 10-11 (cả 3 bộ sách):
Đã có app VietJack trên điện thoại, giải bài tập SGK, SBT Soạn văn, Văn mẫu, Thi online, Bài giảng....miễn phí. Tải ngay ứng dụng trên Android và iOS.
Theo dõi chúng tôi miễn phí trên mạng xã hội facebook và youtube:Nếu thấy hay, hãy động viên và chia sẻ nhé! Các bình luận không phù hợp với nội quy bình luận trang web sẽ bị cấm bình luận vĩnh viễn.
- Soạn văn 11 (hay nhất) - CTST
- Soạn văn 11 (ngắn nhất) - CTST
- Giải sgk Toán 11 - CTST
- Giải Tiếng Anh 11 Global Success
- Giải sgk Tiếng Anh 11 Smart World
- Giải sgk Tiếng Anh 11 Friends Global
- Giải sgk Vật Lí 11 - CTST
- Giải sgk Hóa học 11 - CTST
- Giải sgk Sinh học 11 - CTST
- Giải sgk Lịch Sử 11 - CTST
- Giải sgk Địa Lí 11 - CTST
- Giải sgk Giáo dục KTPL 11 - CTST
- Giải sgk Hoạt động trải nghiệm 11 - CTST
- Giải sgk Âm nhạc 11 - CTST


Giải bài tập SGK & SBT
Tài liệu giáo viên
Sách
Khóa học
Thi online
Hỏi đáp

