13 Bài tập Khảo sát và vẽ đồ thị một số hàm số cơ bản (có đáp án) - Chân trời sáng tạo Trắc nghiệm Toán 12
Với 13 bài tập trắc nghiệm Khảo sát và vẽ đồ thị một số hàm số cơ bản Toán lớp 12 có đáp án và lời giải chi tiết đầy đủ các mức độ, có đúng sai, trả lời ngắn sách Chân trời sáng tạo sẽ giúp học sinh ôn luyện trắc nghiệm để biết cách làm các dạng bài tập Toán 12.
13 Bài tập Khảo sát và vẽ đồ thị một số hàm số cơ bản (có đáp án) - Chân trời sáng tạo Trắc nghiệm Toán 12
PHẦN I. TRẮC NGHIỆM NHIỀU LỰA CHỌN
I. Nhận biết
Câu 1. Đường cong trong hình bên là đồ thị của một hàm số trong bốn hàm số được liệt kê ở bốn phương án A, B, C, D dưới đây. Hỏi hàm số đó là hàm số nào?
A. y = x3 – 3x
B. y = −x3 + 3x.
C. y = −x4 + 2x2
D. y = x4 − 2x2.
Câu 2. Đường cong trong hình vẽ bên là đồ thị hàm số nào dưới đây?
A.
B.
C.
D.
Câu 3. Đường cong trong hình vẽ là đồ thị của hàm số nào dưới đây?
A.
B.
C.
D.
Câu 4. Tâm đối xứng của đồ thị hàm số là
A.
B.
C.
D.
Câu 5. Xác định tâm đối xứng của đồ thị hàm số sau
A.
B.
C.
D.
II. Thông hiểu
Câu 6. Cho hàm số y = f(x) = ax3 + bx2 + cx + d có bảng biến thiên sau:
Đồ thị nào trong các phương án A, B, C, D thể hiện hàm số y = f(x)?
Câu 7. Trong bốn hàm số được liệt kê ở bốn phương án A, B, C, D dưới đây. Hàm số nào có bảng biến thiên như sau?
A. y = −x3 + 3x2 + 9x – 2.
B.
C. y = x3 − 3x2 − 9x – 2.
D.
Câu 8. Biết rằng hàm số y = f(x) = ax3 + bx2 + cx + d (a ≠ 0) có đồ thị là một trong các dạng dưới đây:
Mệnh đề nào sau đây là đúng?
A. Đồ thị (I) xảy ra khi a < 0 và f'(x) = 0 có hai nghiệm phân biệt.
B. Đồ thị (II) xảy ra khi a > 0 và f'(x) = 0 có hai nghiệm phân biệt.
C. Đồ thị (III) xảy ra khi a > 0 và f'(x) = 0 vô nghiệm hoặc có nghiệm kép.
D. Đồ thị (IV) xảy ra khi a > 0 và f'(x) = 0 có có nghiệm kép.
Câu 9. Bảng biến thiên trong hình dưới là đồ thị của một hàm số trong bốn hàm số được liệt kê ở bốn phương án A, B, C, D dưới đây. Hỏi hàm số đó là hàm số nào?
A.
B.
C.
D.
III. Vận dụng
Câu 10. Cho hàm số y = ax3 + bx2 + cx + d có đồ thị như hình vẽ bên dưới.
Mệnh đề nào dưới đây đúng?
A. a < 0, b > 0, c > 0, d < 0.
B. a < 0, b < 0, c > 0, d < 0.
C. a > 0, b < 0, c < 0, d > 0.
D. a < 0, b > 0, c < 0, d < 0.
PHẦN II. TRẮC NGHIỆM ĐÚNG – SAI
Câu hỏi. Cho hàm số y = ax3 + bx2 + cx + d có đồ thị như hình
a) Hàm số có hai điểm cực trị.
b) Hàm số đồng biến trên khoảng (−4; 2).
c) Bảng biến thiên của hàm số như hình bên dưới
d) Đồ thị hình bên là của hàm số y = −x3 + 3x2 – 4.
PHẦN III. TRẢ LỜI NGẮN
Câu 1. Cho hàm số bậc ba f(x) = ax3 + bx2 + cx + d có đồ thị như hình vẽ
Tính giá trị của biểu thức a – b + c + d.
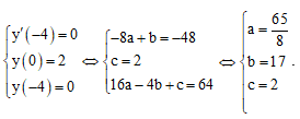
Câu 2. Biết đồ thị hàm số y = x3 + ax2 + bx + c đi qua điểm M(0; 2) và có điểm cực trị N(−4; 0). Tính giá trị của biểu thức 8a + b + c.
Xem thêm bài tập trắc nghiệm Toán lớp 12 Chân trời sáng tạo có đáp án hay khác:
Trắc nghiệm Toán 12 Bài 1: Vectơ và các phép toán trong không gian
Trắc nghiệm Toán 12 Bài 2: Toạ độ của vectơ trong không gian
Trắc nghiệm Toán 12 Bài 3: Biểu thức toạ độ của các phép toán vectơ
Xem thêm các tài liệu học tốt lớp 12 hay khác:
- Giải sgk Toán 12 Chân trời sáng tạo
- Giải Chuyên đề học tập Toán 12 Chân trời sáng tạo
- Giải SBT Toán 12 Chân trời sáng tạo
- Giải lớp 12 Chân trời sáng tạo (các môn học)
- Giải lớp 12 Kết nối tri thức (các môn học)
- Giải lớp 12 Cánh diều (các môn học)
Đã có app VietJack trên điện thoại, giải bài tập SGK, SBT Soạn văn, Văn mẫu, Thi online, Bài giảng....miễn phí. Tải ngay ứng dụng trên Android và iOS.
Theo dõi chúng tôi miễn phí trên mạng xã hội facebook và youtube:Nếu thấy hay, hãy động viên và chia sẻ nhé! Các bình luận không phù hợp với nội quy bình luận trang web sẽ bị cấm bình luận vĩnh viễn.
- Soạn văn 12 (hay nhất) - CTST
- Soạn văn 12 (ngắn nhất) - CTST
- Giải sgk Toán 12 - CTST
- Giải Tiếng Anh 12 Global Success
- Giải sgk Tiếng Anh 12 Smart World
- Giải sgk Tiếng Anh 12 Friends Global
- Giải sgk Vật Lí 12 - CTST
- Giải sgk Hóa học 12 - CTST
- Giải sgk Sinh học 12 - CTST
- Giải sgk Lịch Sử 12 - CTST
- Giải sgk Địa Lí 12 - CTST
- Giải sgk Giáo dục KTPL 12 - CTST
- Giải sgk Tin học 12 - CTST
- Giải sgk Hoạt động trải nghiệm 12 - CTST
- Giải sgk Âm nhạc 12 - CTST


Giải bài tập SGK & SBT
Tài liệu giáo viên
Sách
Khóa học
Thi online
Hỏi đáp

