Toán lớp 4 Chân trời sáng tạo Bài 41: Phép trừ các số tự nhiên (trang 9, 10 Tập 2)
Với lời giải bài tập Toán lớp 4 Bài 41: Phép trừ các số tự nhiên trang 9, 10 sách Chân trời sáng tạo hay nhất, chi tiết sẽ giúp học sinh dễ dàng làm bài tập Toán lớp 4 Tập 2.
Giải Toán lớp 4 Chân trời sáng tạo Bài 41: Phép trừ các số tự nhiên (trang 9, 10 Tập 2)
Video Giải Toán lớp 4 Bài 41: Phép trừ các số tự nhiên - Cô Thanh Nga (Giáo viên VietJack)
Toán lớp 4 trang 9 Thực hành
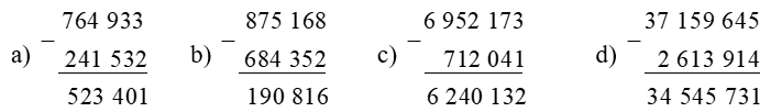
Giải Toán lớp 4 Tập 2 trang 9 Bài 1: Đặt tính rồi tính.
Lời giải:
a)
b)
c)
d)
Giải Toán lớp 4 Tập 2 trang 9 Bài 2: Tính nhẩm.
c) 970 000 – (60 000 + 10 000)
d) 400 000 + (90 000 – 60 000 – 30 000)
Lời giải:
a) 50 000 – 20 000 + 400 000
= 30 000 + 400 000
= 430 000
b) 730 000 – 30 000 – 400 000
= 700 000 – 400 000
= 300 000
c) 970 000 – (60 000 + 10 000)
= 970 000 – 70 000
= 900 000
d) 400 000 + (90 000 – 60 000 – 30 000)
= 400 000 + 0
= 400 000
Toán lớp 4 trang 10 Luyện tập
Giải Toán lớp 4 trang 10 Tập 2
Giải Toán lớp 4 Tập 2 trang 10 Bài 1: Số?
Lời giải:
Em cần nhớ:
- Muốn tìm số bị trừ ta lấy hiệu cộng với số trừ.
- Muốn tìm số trừ ta lấy số bị trừ trừ đi hiệu.
Em điền:
Lời giải:
Số tiền bố còn lại là:
500 000 – 420 000 = 80 000 (đồng)
Số tiền mẹ còn lại là:
500 000 – 390 000 = 110 000 (đồng)
Vậy, mẹ còn lại nhiều tiền hơn bố.
Lời giải:
Số lượt khách quốc tế đến tham quan, nghỉ dưỡng tại Đà Lạt năm 2021 là:
1 953 000 – 1 936 000 = 17 000 (lượt khách)
Số lượt khách đến tham quan, nghỉ dưỡng tại Đà Lạt năm 2021 là:
1 953 000 + 17 000 = 1 970 000 (lượt khách)
Đáp số: 1 970 000 lượt khách
Toán lớp 4 trang 10 Thử thách
Giải Toán lớp 4 Tập 2 trang 10 Thử thách: Chữ số?
Lời giải:
Các bài học để học tốt Toán lớp 4 Bài 41: Phép trừ các số tự nhiên:
Bài giảng: Bài 41: Phép trừ các số tự nhiên - Cô Thanh Nga (Giáo viên VietJack)
Xem thêm lời giải bài tập Toán lớp 4 Chân trời sáng tạo hay, chi tiết khác:
Toán lớp 4 Bài 42: Tìm hai số khi biết tổng và hiệu của hai số đó
Toán lớp 4 Bài 45: Nhân với 10, 100, 1 000, ... Chia cho 10, 100, 1 000, ...
Xem thêm các tài liệu học tốt lớp 4 hay khác:
- Giải sgk Toán lớp 4 Chân trời sáng tạo
- Giải Vở bài tập Toán lớp 4 Chân trời sáng tạo
- Giải lớp 4 Chân trời sáng tạo (các môn học)
- Giải lớp 4 Kết nối tri thức (các môn học)
- Giải lớp 4 Cánh diều (các môn học)
Tủ sách VIETJACK shopee lớp 1-5 (2025):
Đã có app VietJack trên điện thoại, giải bài tập SGK, SBT Soạn văn, Văn mẫu, Thi online, Bài giảng....miễn phí. Tải ngay ứng dụng trên Android và iOS.
Theo dõi chúng tôi miễn phí trên mạng xã hội facebook và youtube:Loạt bài Giải bài tập Toán lớp 4 Chân trời sáng tạo của chúng tôi được biên soạn bám sát sách giáo khoa Toán lớp 4 Tập 1 & Tập 2 Chân trời sáng tạo (NXB Giáo dục).
Nếu thấy hay, hãy động viên và chia sẻ nhé! Các bình luận không phù hợp với nội quy bình luận trang web sẽ bị cấm bình luận vĩnh viễn.
- Giáo án lớp 4 (các môn học)
- Bài tập cuối tuần lớp 4 Toán, Tiếng Việt (có đáp án)
- Đề thi lớp 4 (các môn học)
- Giải sgk Tiếng Việt lớp 4 - CTST
- Giải Vở bài tập Tiếng Việt lớp 4 - CTST
- Giải sgk Toán lớp 4 - CTST
- Giải Vở bài tập Toán lớp 4 - CTST
- Giải Tiếng Anh lớp 4 Global Success
- Giải sgk Tiếng Anh lớp 4 Smart Start
- Giải sgk Tiếng Anh lớp 4 Family and Friends
- Giải sgk Tiếng Anh lớp 4 Wonderful World
- Giải sgk Tiếng Anh lớp 4 Explore Our World
- Giải sgk Đạo đức lớp 4 - CTST
- Giải sgk Khoa học lớp 4 - CTST
- Giải sgk Lịch Sử và Địa Lí lớp 4 - CTST
- Giải sgk Hoạt động trải nghiệm lớp 4 - CTST
- Giải sgk Tin học lớp 4 - CTST
- Giải sgk Công nghệ lớp 4 - CTST


Giải bài tập SGK & SBT
Tài liệu giáo viên
Sách
Khóa học
Thi online
Hỏi đáp

