Bài 10 trang 109 Toán lớp 6 Tập 2 - Kết nối tri thức
Giải Toán 6 Bài tập ôn tập cuối năm
Bài 10 trang 109 Toán lớp 6 Tập 2: Một người bán một tấm vải. Ngày thứ nhất, người đó bán được 25% tấm vải và 15 m; ngày thứ hai bán được 1/3 số vải còn lại sau ngày thứ nhất và còn lại 28 m. Hỏi tấm vải đó dài bao nhiêu mét?
Lời giải:

Gọi chiều dài tấm vải là x (mét, x > 0)
Ngày thứ nhất người đó bán được:

Số mét vải còn lại sau ngày thứ nhất là:

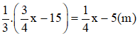
Ngày thứ nhất người đó bán được:

Số mét vải còn lại sau cả hai ngày bán là:

Theo giả thiết sau hai ngày bán còn 28m nên ta có:

Vậy tấm vải đó dài 76m.
Lời giải bài tập Toán 6 Bài tập ôn tập cuối năm hay, chi tiết khác:
Bài 6 trang 108 Toán lớp 6 Tập 2: Tính giá trị của các biểu thức sau (tính hợp lí, nếu có thể) ....
Bài 7 trang 108 Toán lớp 6 Tập 2: Tính giá trị của các biểu thức sau (tính hợp lí, nếu có thể): ....
Xem thêm các bài giải bài tập Toán lớp 6 Kết nối tri thức hay, chi tiết khác:
Xem thêm các tài liệu học tốt lớp 6 hay khác:
- Giải sgk Toán 6 Kết nối tri thức
- Giải SBT Toán 6 Kết nối tri thức
- Giải lớp 6 Kết nối tri thức (các môn học)
- Giải lớp 6 Chân trời sáng tạo (các môn học)
- Giải lớp 6 Cánh diều (các môn học)
Tủ sách VIETJACK shopee lớp 6-8 (2025):
Đã có app VietJack trên điện thoại, giải bài tập SGK, SBT Soạn văn, Văn mẫu, Thi online, Bài giảng....miễn phí. Tải ngay ứng dụng trên Android và iOS.
Theo dõi chúng tôi miễn phí trên mạng xã hội facebook và youtube:Loạt bài dựa trên đề bài và hình ảnh của sách giáo khoa Toán lớp 6 - bộ sách Kết nối tri thức với cuộc sống (NXB Giáo dục). Bản quyền lời giải bài tập Toán lớp 6 Tập 1 & Tập 2 thuộc VietJack, nghiêm cấm mọi hành vi sao chép mà chưa được xin phép.
Nếu thấy hay, hãy động viên và chia sẻ nhé! Các bình luận không phù hợp với nội quy bình luận trang web sẽ bị cấm bình luận vĩnh viễn.
- Soạn Văn 6 (hay nhất) - KNTT
- Soạn Văn 6 (ngắn nhất) - KNTT
- Giải sgk Toán 6 - KNTT
- Giải sgk Tiếng Anh 6 Global Success
- Giải sgk Tiếng Anh 6 Friends plus
- Giải sgk Tiếng Anh 6 Smart World
- Giải sgk Tiếng Anh 6 Explore English
- Giải sgk Khoa học tự nhiên 6 - KNTT
- Giải sgk Lịch Sử 6 - KNTT
- Giải sgk Địa Lí 6 - KNTT
- Giải sgk Giáo dục công dân 6 - KNTT
- Giải sgk Hoạt động trải nghiệm 6 - KNTT
- Giải sgk Tin học 6 - KNTT
- Giải sgk Công nghệ 6 - KNTT
- Giải sgk Âm nhạc 6 - KNTT


Giải bài tập SGK & SBT
Tài liệu giáo viên
Sách
Khóa học
Thi online
Hỏi đáp

