Nhân, chia phân thức lớp 8 (Lý thuyết Toán 8 Chân trời sáng tạo)
Với tóm tắt lý thuyết Toán 8 Bài 7: Nhân, chia phân thức sách Chân trời sáng tạo hay nhất, chi tiết sẽ giúp học sinh lớp 8 nắm vững kiến thức trọng tâm, ôn luyện để học tốt môn Toán 8.
Nhân, chia phân thức lớp 8 (Lý thuyết Toán 8 Chân trời sáng tạo)
(199k) Xem Khóa học Toán 8 CTST
Bài giảng: Bài 7: Nhân, chia phân thức - Cô Vương Hạnh (Giáo viên VietJack)
Lý thuyết Nhân, chia phân thức
1. Nhân hai phân thức
Muốn nhân hai phân thức, ta nhân các tử thức với nhau, các mẫu thức với nhau.
Cũng tương tự phép nhân phân số, phép nhân các phân thức có các tính chất sau:
+ Tính chất giao hoán:
+ Tính chất kết hợp:
+ Tính chất phân phối đối với phép cộng:
Ví dụ 1. Thực hiện các phép nhân phân thức sau:
a) ;
b) .
Hướng dẫn giải.
a) ;
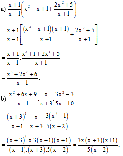
Ví dụ 2. Tính:
Hướng dẫn giải.
2. Chia hai phân thức
Muốn chia phân thức cho phân thức (C khác đa thức không), ta nhân phân thức với phân thức .
Nhận xét: Phân thức được gọi là phân thức nghịch đảo của phân thức .
Ví dụ 3. Thực hiện các phép chia phân thức sau:
a) ;
b) ;
c) .
Hướng dẫn giải.
Bài tập Nhân, chia phân thức
Bài 1.Thực hiện các phép nhân phân thức sau:
Hướng dẫn giải
Bài 2.Thực hiện các phép chia phân thức sau:
a) ;
b)
Hướng dẫn giải
Bài 3.Tính:
Hướng dẫn giải
Bài 4.An chèo thuyền từ điểm A đến điểm B cách nhau 5km với vận tốc x (km/h). Lượt đi từ B về A thuận chiều gió nên vận tốc nhanh hơn 2km/h (coi vận tốc của dòng nước bằng 0).
a) Viết biểu thức biểu thị tổng thời gian T hai lượt đi và lượt về.
b) Viết biểu thức biểu thị hiệu thời gian t lượt đi đối với lượt về.
c) Tính giá trị của T và t khi x = 7 km/h.
Hướng dẫn giải
a) Thời gian An chèo thuyền từ A đến B là (giờ)
Vận tốc của An khi chèo thuyền từ B về A là: x + 2 (km/h)
Thời gian An đi từ B về A là (giờ)
Tổng thời gian T hai lượt đi và lượt về là:
b) Hiệu thời gian t lượt đi đối với lượt về là:
c) Khi x = 7 (km/h) ta có:
Học tốt Nhân, chia phân thức
Các bài học để học tốt Nhân, chia phân thức Toán lớp 8 hay khác:
(199k) Xem Khóa học Toán 8 CTST
Xem thêm tóm tắt lý thuyết Toán lớp 8 Chân trời sáng tạo hay khác:
Xem thêm các tài liệu học tốt lớp 8 hay khác:
- Giải sgk Toán 8 Chân trời sáng tạo
- Giải SBT Toán 8 Chân trời sáng tạo
- Giải lớp 8 Chân trời sáng tạo (các môn học)
- Giải lớp 8 Kết nối tri thức (các môn học)
- Giải lớp 8 Cánh diều (các môn học)
Tủ sách VIETJACK shopee lớp 6-8 (2025):
Đã có app VietJack trên điện thoại, giải bài tập SGK, SBT Soạn văn, Văn mẫu, Thi online, Bài giảng....miễn phí. Tải ngay ứng dụng trên Android và iOS.
Theo dõi chúng tôi miễn phí trên mạng xã hội facebook và youtube:Loạt bài Giải bài tập Toán 8 hay nhất, chi tiết của chúng tôi được biên soạn bám sát sgk Toán 8 Chân trời sáng tạo (Tập 1 & Tập 2) (NXB Giáo dục).
Nếu thấy hay, hãy động viên và chia sẻ nhé! Các bình luận không phù hợp với nội quy bình luận trang web sẽ bị cấm bình luận vĩnh viễn.
- Soạn văn 8 (hay nhất) - CTST
- Soạn văn 8 (ngắn nhất) - CTST
- Giải sgk Toán 8 - CTST
- Giải Tiếng Anh 8 Global Success
- Giải sgk Tiếng Anh 8 Smart World
- Giải sgk Tiếng Anh 8 Friends plus
- Giải sgk Khoa học tự nhiên 8 - CTST
- Giải sgk Lịch Sử 8 - CTST
- Giải sgk Địa Lí 8 - CTST
- Giải sgk Giáo dục công dân 8 - CTST
- Giải sgk Tin học 8 - CTST
- Giải sgk Công nghệ 8 - CTST
- Giải sgk Hoạt động trải nghiệm 8 - CTST
- Giải sgk Âm nhạc 8 - CTST


Giải bài tập SGK & SBT
Tài liệu giáo viên
Sách
Khóa học
Thi online
Hỏi đáp

