Biến đổi đơn giản biểu thức chứa căn thức bậc hai lớp 9 (Lý thuyết Toán 9 Chân trời sáng tạo)
Với tóm tắt lý thuyết Toán 9 Bài 4: Biến đổi đơn giản biểu thức chứa căn thức bậc hai sách Chân trời sáng tạo hay nhất, chi tiết sẽ giúp học sinh lớp 9 nắm vững kiến thức trọng tâm, ôn luyện để học tốt môn Toán 9.
Biến đổi đơn giản biểu thức chứa căn thức bậc hai lớp 9 (Lý thuyết Toán 9 Chân trời sáng tạo)
(199k) Xem Khóa học Toán 9 CTST
Bài giảng: Bài 4: Biến đổi đơn giản biểu thức chứa căn thức bậc hai - Cô Denni Trần (Giáo viên VietJack)
Lý thuyết Biến đổi đơn giản biểu thức chứa căn thức bậc hai
1. Trục căn thức ở mẫu
• Đối với những biểu thức chứa căn thức ở mẫu, ta thường biến đổi để khử căn thức ở mẫu đó. Phép biến đổi như vậy gọi là trục căn thức ở mẫu.
• Với biểu thức (a ≥ 0, b > 0), ta biến đổi:
Chú ý:
• Với số thực a không âm và số thực b dương, ta thường biến đổi
hoặc
để khử mẫu của biểu thức dưới dấu căn.
• Tổng quát hơn, với hai biểu thức A và B thỏa mãn AB ≥ 0, B ≠ 0, ta có:
Ví dụ: Trục căn thức ở mẫu các biểu thức sau:
a)
b)
Hướng dẫn giải
a) Ta có:
b) Ta có:
Chú ý:
• Trong câu a của ví dụ trên, để trục căn thức ở mẫu, ta nhân cả tử và mẫu với biểu thức Ta gọi biểu thức và biểu thức là hai biểu thức liên hợp với nhau.
• Với hai biểu thức A, B mà B > 0, ta có
• Với các biểu thức A, B, C mà A ≥ 0 và A ≠ B2, ta có
• Với các biểu thức A, B, C mà A ≥ 0, B ≥ 0 và A ≠ B, ta có
Ví dụ: Trục căn thức ở mẫu các biểu thức sau:
a)
b)
Hướng dẫn giải
a) Ta có:
b) Ta có:
2. Rút gọn biểu thức chứa căn thức bậc hai
• Để rút gọn biểu thức chứa căn thức bậc hai, ta thường vận dụng thích hợp các tính chất (giao hoán, kết hợp, phân phối) của các phép tính, quy tắc về thứ tự thực hiện phép tính và các phép biến đổi đã biết.
Ví dụ: Rút gọn các biểu thức sau:
a)
b)
Hướng dẫn giải
a) Ta có:
b) Ta có:
Bài tập Biến đổi đơn giản biểu thức chứa căn thức bậc hai
Bài 1. Khử mẫu của biểu thức lấy căn:
Hướng dẫn giải
a) Ta có:
b) Ta có:
c) Ta có: với a > 0.
d) Ta có:
Vì a < 0 nên Suy ra
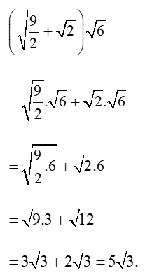
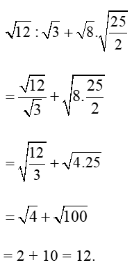
Bài 2. Tính:
Hướng dẫn giải
a) Ta có:
b) Ta có:
c) Ta có:
Bài 3. Trục căn thức ở mẫu các biểu thức sau:
Hướng dẫn giải
a) Ta có:
b) Ta có:
c) Ta có:
Học tốt Biến đổi đơn giản biểu thức chứa căn thức bậc hai
Các bài học để học tốt Bài 4: Biến đổi đơn giản biểu thức chứa căn thức bậc hai Toán lớp 9 hay khác:
(199k) Xem Khóa học Toán 9 CTST
Xem thêm tóm tắt lý thuyết Toán lớp 9 Chân trời sáng tạo hay khác:
Xem thêm các tài liệu học tốt lớp 9 hay khác:
- Giải sgk Toán 9 Chân trời sáng tạo
- Giải SBT Toán 9 Chân trời sáng tạo
- Giải lớp 9 Chân trời sáng tạo (các môn học)
- Giải lớp 9 Kết nối tri thức (các môn học)
- Giải lớp 9 Cánh diều (các môn học)
Tủ sách VIETJACK luyện thi vào 10 cho 2k11 (2026):
Đã có app VietJack trên điện thoại, giải bài tập SGK, SBT Soạn văn, Văn mẫu, Thi online, Bài giảng....miễn phí. Tải ngay ứng dụng trên Android và iOS.
Theo dõi chúng tôi miễn phí trên mạng xã hội facebook và youtube:Loạt bài Giải sgk Toán 9 Tập 1 & Tập 2 của chúng tôi được biên soạn bám sát nội dung sgk Toán 9 Chân trời sáng tạo (NXB Giáo dục).
Nếu thấy hay, hãy động viên và chia sẻ nhé! Các bình luận không phù hợp với nội quy bình luận trang web sẽ bị cấm bình luận vĩnh viễn.
- Soạn văn 9 (hay nhất) - CTST
- Soạn văn 9 (ngắn nhất) - CTST
- Giải sgk Toán 9 - CTST
- Giải Tiếng Anh 9 Global Success
- Giải sgk Tiếng Anh 9 Smart World
- Giải sgk Tiếng Anh 9 Friends plus
- Giải sgk Khoa học tự nhiên 9 - CTST
- Giải sgk Lịch Sử 9 - CTST
- Giải sgk Địa Lí 9 - CTST
- Giải sgk Giáo dục công dân 9 - CTST
- Giải sgk Tin học 9 - CTST
- Giải sgk Công nghệ 9 - CTST
- Giải sgk Hoạt động trải nghiệm 9 - CTST
- Giải sgk Âm nhạc 9 - CTST
- Giải sgk Mĩ thuật 9 - CTST


Giải bài tập SGK & SBT
Tài liệu giáo viên
Sách
Khóa học
Thi online
Hỏi đáp

