Cách giải bài tập về đồ thị hàm số lớp 10 (hay, chi tiết)
Bài viết Cách giải bài tập về đồ thị hàm số lớp 10 với phương pháp giải chi tiết giúp học sinh ôn tập, biết cách làm bài tập Cách giải bài tập về đồ thị hàm số lớp 10.
Cách giải bài tập về đồ thị hàm số lớp 10 hay, chi tiết
(199k) Xem Khóa học Toán 10 KNTTXem Khóa học Toán 10 CDXem Khóa học Toán 10 CTST
1. Phương pháp giải.
Cho hàm số y = f(x) xác định trên D. Đồ thị hàm số f là tập hợp tất cả các điểm M(x;f(x)) nằm trong mặt phẳng tọa độ với x ∈ D.
Chú ý: Điểm M(x0; y0 ) ∈ (C) đồ thị hàm số y = f(x) ⇔ y0 = f(x0 ).
Sử dụng định lý về tịnh tiến đồ thị một hàm số
2. Các ví dụ minh họa.
Ví dụ 1: Cho hai hàm số f(x) = 2x2 + 3x + 1 và
a) Tính các giá trị sau f(-1); g(-3); g(2); g(3)
b) Tìm x khi f(x) = 1.
c) Tìm x khi g(x) = 1.
Hướng dẫn:
a) Ta có:
f(-1) = 2.(-1)2 + 3(-1) + 1 = 0
g(-3) = 6 - 5.(-3) = 21
g(2) = 2.2 - 1 = 3
g(3) = 32 + 1 = 10
b) Ta có f(x) = 1 ⇔ 2x2 + 3x + 1 = 1
c) Với x > 2 ta có g(x) = 1
Với -2 ≤ x ≤ 2 ta có g(x) = 1
Với x < -2 ta có g(x) = 1
Vậy g(x) = 1 ⇔ x = 1.
Ví dụ 2: Cho hàm số y = mx3 - 2(m2 + 1)x2 + 2m2 - m.
a) Tìm m để điểm M(-1;2) thuộc đồ thị hàm số đã cho
b) Tìm các điểm cố định mà đồ thị hàm số đã cho luôn đi qua với mọi m.
Hướng dẫn:
a) Điểm M(-1; 2) thuộc đồ thị hàm số đã cho khi và chỉ khi
2 = -m - 2(m2 + 1) + 2m2 - m ⇔ m = -2
Vậy m = -2 là giá trị cần tìm.
b) Để N(x;y) là điểm cố định mà đồ thị hàm số đã cho luôn đi qua, điều kiện cần và đủ là
y = mx3 - 2(m2 + 1)x2 + 2m2 - m, ∀m.
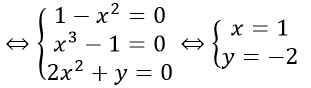
⇔ 2m2(1 - x2 ) + m(x3 - 1) - 2x2 - y = 0, ∀m.
Vậy đồ thị hàm số đã cho luôn đi qua điểm N (1; -2).
Chú ý: Đa thức anxn + an - 1xn - 1 + ... + a1 x + a0 = 0 với mọi x ∈ K khi và chỉ khi an = an - 1 = ... = a1 = a0 = 0.
Ví dụ 3: Tìm trên đồ thị hàm số y = -x3 + x2 + 3x - 4 hai điểm đối xứng nhau qua gốc tọa độ.
Hướng dẫn:
Gọi M, N đối xứng nhau qua gốc tọa độ O. M(x0; y0 ) ⇒ N(-x0; -y0 )
Vì M, N thuộc đồ thị hàm số nên
Vậy hai điểm cần tìm có tọa độ là (2; -2) và (-2; 2).
Để học tốt lớp 10 các môn học sách mới:
- Giải bài tập Lớp 10 Kết nối tri thức
- Giải bài tập Lớp 10 Chân trời sáng tạo
- Giải bài tập Lớp 10 Cánh diều
Tủ sách VIETJACK shopee lớp 10-11 (cả 3 bộ sách):
Đã có app VietJack trên điện thoại, giải bài tập SGK, SBT Soạn văn, Văn mẫu, Thi online, Bài giảng....miễn phí. Tải ngay ứng dụng trên Android và iOS.
Theo dõi chúng tôi miễn phí trên mạng xã hội facebook và youtube:Nếu thấy hay, hãy động viên và chia sẻ nhé! Các bình luận không phù hợp với nội quy bình luận trang web sẽ bị cấm bình luận vĩnh viễn.
- Giải Tiếng Anh 10 Global Success
- Giải Tiếng Anh 10 Friends Global
- Giải sgk Tiếng Anh 10 iLearn Smart World
- Giải sgk Tiếng Anh 10 Explore New Worlds
- Lớp 10 - Kết nối tri thức
- Soạn văn 10 (hay nhất) - KNTT
- Soạn văn 10 (ngắn nhất) - KNTT
- Soạn văn 10 (siêu ngắn) - KNTT
- Giải sgk Toán 10 - KNTT
- Giải sgk Vật lí 10 - KNTT
- Giải sgk Hóa học 10 - KNTT
- Giải sgk Sinh học 10 - KNTT
- Giải sgk Địa lí 10 - KNTT
- Giải sgk Lịch sử 10 - KNTT
- Giải sgk Kinh tế và Pháp luật 10 - KNTT
- Giải sgk Tin học 10 - KNTT
- Giải sgk Công nghệ 10 - KNTT
- Giải sgk Hoạt động trải nghiệm 10 - KNTT
- Giải sgk Giáo dục quốc phòng 10 - KNTT
- Lớp 10 - Chân trời sáng tạo
- Soạn văn 10 (hay nhất) - CTST
- Soạn văn 10 (ngắn nhất) - CTST
- Soạn văn 10 (siêu ngắn) - CTST
- Giải Toán 10 - CTST
- Giải sgk Vật lí 10 - CTST
- Giải sgk Hóa học 10 - CTST
- Giải sgk Sinh học 10 - CTST
- Giải sgk Địa lí 10 - CTST
- Giải sgk Lịch sử 10 - CTST
- Giải sgk Kinh tế và Pháp luật 10 - CTST
- Giải sgk Hoạt động trải nghiệm 10 - CTST
- Lớp 10 - Cánh diều
- Soạn văn 10 (hay nhất) - Cánh diều
- Soạn văn 10 (ngắn nhất) - Cánh diều
- Soạn văn 10 (siêu ngắn) - Cánh diều
- Giải sgk Toán 10 - Cánh diều
- Giải sgk Vật lí 10 - Cánh diều
- Giải sgk Hóa học 10 - Cánh diều
- Giải sgk Sinh học 10 - Cánh diều
- Giải sgk Địa lí 10 - Cánh diều
- Giải sgk Lịch sử 10 - Cánh diều
- Giải sgk Kinh tế và Pháp luật 10 - Cánh diều
- Giải sgk Tin học 10 - Cánh diều
- Giải sgk Công nghệ 10 - Cánh diều
- Giải sgk Hoạt động trải nghiệm 10 - Cánh diều
- Giải sgk Giáo dục quốc phòng 10 - Cánh diều


Giải bài tập SGK & SBT
Tài liệu giáo viên
Sách
Khóa học
Thi online
Hỏi đáp

