Các dạng bài tập về hàm số và cách giải (hay, chi tiết)
Với loạt Các dạng bài tập về hàm số và cách giải sẽ giúp học sinh nắm vững lý thuyết, biết cách làm bài tập từ đó có kế hoạch ôn tập hiệu quả để đạt kết quả cao trong các bài thi môn Toán 10.
Các dạng bài tập về hàm số và cách giải
(199k) Xem Khóa học Toán 10 KNTTXem Khóa học Toán 10 CDXem Khóa học Toán 10 CTST
1. Lý thuyết:
a. Định nghĩa hàm số:
Cho D
R, D #
Hàm số f xác định trên D là một qui tắc đặt tương ứng mỗi số x
D với một và chỉ một số y
R . Trong đó:
+) x được gọi là biến số, y được gọi là giá trị của hàm số f tại x. Kí hiệu: y = f(x).
+) D được gọi là tập xác định của hàm số.
Tập xác định của hàm số y = f(x) là tập hợp tất cả các số thực x sao cho biểu thức f(x) có nghĩa.
b. Sự biến thiên của hàm số:
- Hàm số y = f(x) được gọi là đồng biến trên khoảng (a, b) nếu:
x1, x2
(a,b): x1 < x2
f(x1) < f(x2)
- Hàm số y = f(x) được gọi là nghịch biến trên khoảng (a, b) nếu:
x1, x2
(a,b): x1 < x2
f(x1) > f(x2)
c. Tính chẵn, lẻ của hàm số:
- Cho hàm số y = f(x) có tập xác định D.
Hàm số y = f(x) được gọi là hàm số chẵn nếu
x
D thì -x
D và f(-x) = f(x).
Hàm số y = f(x) được gọi là hàm số lẻ nếu
x
D thì -x
D và f(-x) = -f(x).
- Tính chất của đồ thị hàm số chẵn và hàm số lẻ:
Đồ thị của hàm số chẵn nhận trục tung làm trục đối xứng.
Đồ thị của hàm số lẻ nhận gốc toạ độ làm tâm đối xứng.
d. Đồ thị của hàm số:
Đồ thị của hàm số y = f(x) xác định trên tập D là tập hợp tất cả các điểm M(x; f(x)) trên mặt phẳng toạ độ Oxy với mọi x
D
Chú ý: Ta thường gặp đồ thị của hàm số y = f(x) là một đường (đường thẳng, đường cong,…). Khi đó ta nói y = f(x) là phương trình của đường đó.
2. Các dạng bài tập:
Dạng 1.1: Tìm tập xác định của hàm số.
a. Phương pháp giải:
Tập xác định của hàm số y = f(x) là tập các giá trị của x sao cho biểu thức f(x) có nghĩa. Như vậy, để tìm tập xác định chúng ta cần tìm điều kiện xác định của biểu thức f(x). Biểu thức f(x) thường là một số dạng sau:
+) f(x)=
. Khi đó f(x) có nghĩa khi và chỉ khi B(x)#0 .
+) f(x)=
. Khi đó f(x) có nghĩa khi và chỉ khi A(x)
0 .
+) f(x)=
. Khi đó f(x) có nghĩa khi và chỉ khi B(x) > 0.
+) f(x)=
. Khi đó f(x) có nghĩa khi và chỉ khi A(x)
và B(x) > 0.
b. Ví dụ minh họa:
Ví dụ 1: Tìm tập xác định của các hàm số sau:

Lời giải:
a. Điều kiện xác định của hàm số là: x2 - 5x - 6#0
.
Vậy tập xác định của hàm số đã cho là: D= R\{-1;6}.
b. Điều kiện xác định của hàm số là:
Vậy tập xác định của hàm số đã cho là: D=
c. Điều kiện xác định của hàm số là:
Vậy tập xác định của hàm số đã cho là D=
.
d. Điều kiện xác định của hàm số là:
Vậy tập xác định của hàm số đã cho là: D=
\{3}.
Ví dụ 2: Tìm tập hợp tất cả các giá trị của m để:
a. y=
có tập xác định là R .
b. y= (x-2)
xác định trên khoảng (1:+
)
Lời giải:
a. Hàm số có tập xác định là R khi
x2 + 2x - m + 1#0 ,
x
Phương trình bậc hai x2 + 2x - m + 1 = 0 vô nghiệm

= 22 - 4(-m+1) = 4 + 4m - 4 < 0
m<0
Vậy với m < 0 thì hàm số đã cho có tập xác định là R
b. Điều kiện xác định của hàm số là: 3x - m -1
0
.
Suy ra tập xác định của hàm số là: D=
Để hàm số xác định trên (1;+
) thì
(1;+
)
1
m+1
3
m
2
Vậy với m
2 thì hàm số đã cho xác định trên khoảng (1;+
).
Dạng 1.2: Xác định tính chẵn, lẻ của hàm số.
a. Phương pháp giải:
Các bước xét tính chẵn, lẻ của hàm số:
Bước 1: Tìm tập xác định D của hàm số.
Bước 2: Kiểm tra xem D có phải là tập đối xứng không
+) Nếu
x
D
-x
Dthì là tập đối xứng, ta chuyển qua bước 3.
+) Nếu tồn tại x0
D mà -x0
D thì kết luận hàm số không chẵn cũng không lẻ.
Bước 3: Xác định f(-x) và so sánh với f(x):
+ Nếu f(-x) = f(x) thì kết luận hàm số là chẵn.
+ Nếu f(-x) = -f(x) thì kết luận hàm số là lẻ.
+ Các trường hợp khác thì kết luận hàm số không chẵn cũng không lẻ.
b. Ví dụ minh họa:
Ví dụ 1: Xét tính chẵn, lẻ của hàm số sau đây:
a. f(x) = x4 - x2 +3
b. f(x) =
c. f(x) = 
Hướng dẫn:
a. Tập xác định: D=R
Ta có
x
R
-x
R.
f(-x) = (-x)4 - (-x)2 +3 = x4 - x2 +3 = f(x).
Vậy hàm số đã cho là hàm số chẵn.
b. Tập xác định: D=R\{-1}.
Ta có x=1
D nhưng -x = -1
D nên hàm số không chẵn không lẻ.
c. Điều kiện xác định của hàm số là:
Vậy tập xác định của hàm số là: D = [-1; 1] \ {0}.
Ta có:
x
D
-x
D.
f(-x) =
= -f(x).
Vậy hàm số đã cho là hàm số lẻ.
Ví dụ 2: Tìm các giá trị của tham số m để hàm số f(x) = x3 + (m2-1)x2 + 2x + m - 1 là hàm số lẻ.
Lời giải:
Tập xác định: D=R.
Hàm số y=f(x) là hàm số lẻ khi
x
R
-x
R và f(-x) = -f(x).
Ta có:
x
R
-x
R.
Xét: f(x) = x3 + (m2 -1)x2 + 2x + m - 1 ;
f(-x) = -x3 + (m2 -1)(-x)2 + 2.(-x) + m - 1
= -x3 + (m2 -1)x2 -2x + m - 1
Ta có: f(-x) = -f(x)
-x3 + (m2-1)x2 -2x + m - 1 = -[x3 + (m2-1)x2 +2x + (m - 1)]
-x3 + (m2-1)x2 -2x + m - 1= -x3 - (m2-1)x2 -2x - (m - 1)
2(m2-1)x2 + 2m - 2=0
(m2-1)x2 + m - 1=0

m=1
Vậy với m = 1 thì hàm số đã cho là hàm số lẻ.
Dạng 1.3: Xét tính đơn điệu của hàm số.
a. Phương pháp giải:
* Cách 1: Cho hàm số y = f(x) xác định trên D. Lấy x1, x2
D và x1 < x2.
Đặt T= f( x2) - f(x1)
+) Hàm số đồng biến trên D khi và chỉ khi T > 0.
+) Hàm số nghịch biến trên D khi và chỉ khi T < 0.
* Cách 2: Cho hàm số y = f(x) xác định trên D. Lấy x1, x2
D và x1 # x2.
Đặt T=
+) Hàm số đồng biến trên D khi và chỉ khi T > 0.
+) Hàm số nghịch biến trên D khi và chỉ khi T < 0.
* Đối với bài tập nhìn vào bảng biến thiên để xác định tính đơn điệu của hàm số, ta dựa vào chiều mũi tên đi lên, đi xuống để xác định tính đồng biến, nghịch biến:
+) Mũi tên đi lên trong khoảng (a; b) thì hàm số đồng biến trong khoảng (a; b).
+) Mũi tên đi xuống trong khoảng (a; b) thì hàm số nghịch biến trong khoảng (a; b).
b. Ví dụ minh họa
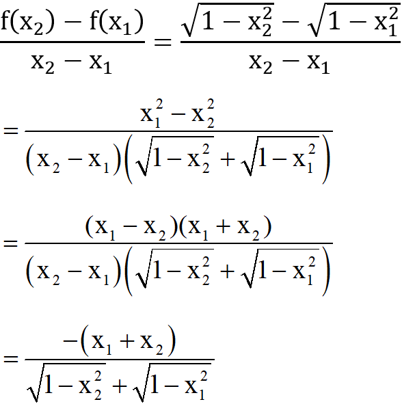
Ví dụ 1: Xét tính đơn điệu của các hàn số sau
a. f(x)=
b. f(x)=
Lời giải:
a.Tập xác định D = [-1; 1].
x1 , x2
(-1;1),x1 # x2, ta có:

Với x1 , x2 <0 thì
>0.
Với x1 , x2 >0 thì
<0.
Vậy hàm số đồng biến trên khoảng (-1;0) và nghịch biến trên khoảng (0;1).
b. Tập xác định D=R\{0}.
x1 , x2
R\{0},x1#x2 , ta có:
f(x2)-f(x1)=

Do đó, với x1 , x2 <0 và với x1 , x2 >0 ta đều có
<0.
Vậy hàm số nghịch biến trên các khoảng (-
;0) và (0;+
)
Ví dụ 2: Cho hàm số f(x )có bảng biến thiên như sau:

Hàm số đồng biến, nghịch biến trong các khoảng nào?
Lời giải:
Trong khoảng (0; 1), mũi tên có chiều đi xuống. Do đó hàm số nghịch biến trong khoảng (0; 1).
Trong khoảng (-
;0) và (1;+
), mũi tên có chiều đi lên. Do đó hàm số đồng biến trong khoảng (-
;0) và (1;+
).
Dạng 1.4: Các bài tập liên quan đến đồ thị hàm số.
a. Phương pháp giải:
- Cho hàm số y = f(x) xác định trên D. Đồ thị hàm số y = f(x) là tập hợp tất cả các điểm M(x; f(x)) nằm trong mặt phẳng tọa độ với mọi x
D
Chú ý: Điểm M(x0;y0) thuộc đồ thị hàm số y = f(x)
y0=f(x0) .
- Đồ thị của hàm số chẵn nhận trục tung Oy làm trục đối xứng.
- Đồ thị của hàm số lẻ nhận gốc toạ độ O làm tâm đối xứng.
b. Ví dụ minh họa:
Ví dụ 1: Hàm số f(x) có tập xác định R và có đồ thị như hình vẽ:

Tính giá trị biểu thức
Lời giải:
Dựa vào hình dáng của đồ thị ta thấy rằng hàm số đối xứng qua O(0; 0) nên là hàm số lẻ.
Suy ra f(-x) = -f(x)
f(-x) + f(x) =0
Vì vậy
=0.
Ví dụ 2: Cho hàm số y = x3 - 3x2 + 3. Có bao nhiêu điểm trên đồ thị hàm số có tung độ bằng 1?
Lời giải:
Ta có:
y = 1
x3 - 3x2 + 3 = 1
x3 - 3x2 + 2 = 0
(x-1)(x2 - 2x-2)=0

Vậy có 3 điểm trên đồ thị hàm số có tung độ bằng 1.
3. Bài tập tự luyện:
a. Tự luận:
Câu 1: Tìm tất cả các giá trị của tham số m để hàm số y=
xác định trên đoạn [3; 5].
Lời giải:
Điều kiện xác định của hàm số là x - 2m - 1#0
x#2m+1
Hàm số xác định trên đoạn [3; 5]
2m+1
[3;5]
.
Vậy với m < 1 hoặc m > 2 thì hàm số đã cho xác định trên đoạn [3; 5]
Câu 2: Có bao nhiêu giá trị nguyên của x thuộc tập xác định của hàm số
?
Lời giải:
Tập xác định:
Do x nguyên nên x
{1;2}
Câu 3: Xét tính chẵn, lẻ của hàm số: y = f(x) =
Hướng dẫn:
Tập xác định: D=(-
;0)
(0:+
)=R
+ Khi x < 0 thì -x > 0
f(-x) = 1 = -f(x).
+ Khi x > 0 thì -x < 0
f(-x) = -1 = -f(x) .
+ Khi x=0 thì f(-0) = f(0) = 0= -f(0).
Suy ra với mọi x
R thì f(-x) = -f(x).
Vậy hàm số đã cho là hàm số lẻ.
Câu 4: Cho hàm số f(x)=
.Tính f(-2)+f(2).
Lời giải:
Ta có: f(2)=
=1, f(-2) = (-2)2 +1 =5
Suy ra: f(-2) + f(2) = 6
Câu 5: Xét tính đơn điệu của hàm số y=
.
Lời giải:
Tập xác định: D=R\{1}.
+) Lấy x1 ; x2
(-
;1) sao cho x1 < x2. Xét:
y1-y2=
=
Với x1 ; x2
(-
;1) và x1 < x2, ta có:
x1 - x2 >0; x1 - 1<0; x2 - 1<0
y1-y2 >0
y1>y2
Do đó hàm số nghịch biến trên (-
;1) (1)
+) Lấy x1 ; x2
(1;+
) sao cho x1 < x2 .Xét:
y1-y2=

Với x1 ; x2
(1;+
) và x1 < x2, ta có:
x1 - x2 >0; x1 - 1>0; x2 - 1>0
y1-y2 >0
y1>y2
Do đó hàm số nghịch biến trên (1;+
) (2)
Từ (1) và (2) suy ra hàm số nghịch biến trên D.
Câu 6: Tìm tập xác định của hàm số: y=
?
Lời giải:
Hàm số y=
xác định khi và chỉ khi
0 (luôn đúng x
R)
Vậy tập xác định của hàm số là R.
Câu 7: Xét tính chẵn, lẻ của hàm số y=f(x) = 3x4 - 4x2 + 3 .
Lời giải:
Tập xác định D=R .
Ta có
Do đó hàm số y = f(x) là hàm số chẵn.
Câu 8: Cho hàm số: f(x)=
. Tính f(0), f(2). f(-2).
Lời giải:
Ta có: f(0)=
=0, f(2)=
=
(do x
0 ) và f(-2)=
=
(do x < 0).
Câu 9: Tìm tập xác định của hàm số y= 
Lời giải:
Hàm số đã cho xác định khi
Vậy tập xác định của hàm số là D=[-1;+
)\{2}.
Câu 10: Tìm m để hàm số y=
xác định trên R.
Hướng dẫn:
Hàm số y=
xác định trên R khi phương trình x2 - 2x -3 - m =0 vô nghiệm
Hay
=m+4<0
m < -4.
b. Phần trắc nghiệm
Câu 1: Tập xác định của hàm số y= x4 - 2018x2 - 2019 là:
A. (-1+
).
B. (-
;0).
C. (0;+
).
D. (-
;+
) .
Lời giải:
Chọn D.
Hàm số là hàm đa thức nên xác định với mọi số thực x.
Câu 2: Tập xác định của hàm số y=
-x là:
A. (-
;4].
B. [4;+
).
C. [0; 4].
D. [0;+
).
Hướng dẫn :
Chọn A.
Điều kiện xác định của hàm số là 8-2x
0
x
4, nên tập xác định là (-
;4).
Câu 3: Cho hàm số y=x2. Chọn mệnh đề đúng.
A. Hàm số trên là hàm chẵn.
B. Hàm số trên vừa chẵn vừa lẻ.
C. Hàm số trên là hàm số lẻ.
D. Hàm số trên không chẵn không lẻ.
Lời giải:
Chọn A.
Đặt f(x)=x2.
Tập xác định D=R.
Ta có
x
D
-x
D và f(-x) = (-x)2 = x2 = f(x) .
Vậy hàm số trên là hàm số chẵn.
Câu 4: Cho hàm số y=f(x)=
Mệnh đề nào sau đây sai?
A. Hàm số y = f(x) có tập xác định là R .
B. Đồ thị hàm số y = f(x) nhận trục tung làm trục đối xứng.
C. Hàm số y = f(x) là hàm số chẵn.
D. Đồ thị hàm số y = f(x) nhận gốc tọa độ làm tâm đối xứng.
Lời giải:
Chọn D.
Tập xác định của hàm số là R.
x
Rthì -x
R, ta có:
f(-x) =
=f(x)
Hàm số đã cho là hàm số chẵn, đồ thị nhận trục tung làm trục đối xứng. Do vậy các phương án A, B, C đều đúng. Đáp án D sai.
Câu 5: Chọn khẳng định đúng?
A. Hàm số y = f(x) được gọi là nghịch biến trên K nếu
x1;x2
K, x1<x2
f(x1)<f(x2)
B. Hàm số y = f(x) được gọi là đồng biến trên K nếu
x1;x2
K, x1<x2
f(x1)
f(x2)
C. Hàm số y = f(x) được gọi là đồng biến trên K nếu
x1;x2
K, x1<x2
f(x1)>f(x2)
D. Hàm số y = f(x) được gọi là đồng biến trên K nếu
x1;x2
K, x1<x2
f(x1)<f(x2)
Lời giải:
Chọn D.
Lí thuyết định nghĩa hàm số đồng biến, nghịch biến.
Câu 6: Xét sự biến thiên của hàm số f(x)=
trên khoảng (0;+
) . Khẳng định nào sau đây đúng?
A. Hàm số nghịch biến trên khoảng (0;+
).
B. Hàm số vừa đồng biến, vừa nghịch biến trên khoảng (0;+
).
C. Hàm số đồng biến trên khoảng (0;+
).
D. Hàm số không đồng biến, không nghịch biến trên khoảng (0;+
).
Lời giải:
Chọn A.
x1;x2
(0;+
), x1#x2, ta có:
f(x2)-f(x1)= 
Vậy hàm số nghịch biến trên khoảng (0;+
).
Câu 7: Cho hàm số có đồ thị như hình bên dưới.

Khẳng định nào sau đây là đúng?
A. Hàm số nghịch biến trên khoảng (0; 3).
B. Hàm số đồng biến trên khoảng (-
;1).
C. Hàm số nghịch biến trên khoảng (0; 2).
D. Hàm số đồng biến trên khoảng (-
;3).
Lời giải:
Chọn C.
Trên khoảng (0; 2), đồ thị hàm số đi xuống từ trái sang phải nên hàm số nghịch biến.
Câu 8: Cho hàm số y= x3 - 3x + 2. Điểm nào sau đây thuộc đồ thị hàm số đã cho?
A. (-2; 0).
B. (1; 1).
C. (-2; -12).
D. (1; -1).
Lời giải:
Chọn A.
Thay tọa độ điểm vào hàm số ta thấy chỉ có điểm (-2; 0) thỏa mãn.
Câu 9: Điểm nào sau đây thuộc đồ thị của hàm số y=
?
A. M(0; -1).
B. M(2; 1).
C. M(2; 0).
D. M(1; 1).
Lời giải:
Chọn C.
Thay từng tọa độ điểm M vào hàm số y=
. Ta thấy: với x = 2 thì y = 0.
Vậy điểm M(2; 0) thuộc đồ thị hàm số đã cho.
Câu10: Cho hàm số f(x)=
. Biết f(x0)=5 thì x0 là:
A. -2.
B. 3.
C. 0.
D. 1.
Lời giải:
Chọn B.
Với x
-3 ta có: -2x+1=5
x=-2 (loại).
Với x>-3 ta có:
=5
x=3 (thỏa mãn).
Vậy x0=3.
(199k) Xem Khóa học Toán 10 KNTTXem Khóa học Toán 10 CDXem Khóa học Toán 10 CTST
Xem thêm phương pháp giải các dạng bài tập Toán lớp 10 hay, chi tiết khác:
- Các dạng bài tập về hàm số bậc nhất và cách giải
- Các dạng bài tập về hàm số bậc hai và cách giải
- Đại cương về phương trình và cách giải
- Phương trình quy về phương trình bậc hai và cách giải
- Phương trình chứa ẩn dưới dấu căn và cách giải
Để học tốt lớp 10 các môn học sách mới:
- Giải bài tập Lớp 10 Kết nối tri thức
- Giải bài tập Lớp 10 Chân trời sáng tạo
- Giải bài tập Lớp 10 Cánh diều
Tủ sách VIETJACK shopee lớp 10-11 (cả 3 bộ sách):
Đã có app VietJack trên điện thoại, giải bài tập SGK, SBT Soạn văn, Văn mẫu, Thi online, Bài giảng....miễn phí. Tải ngay ứng dụng trên Android và iOS.
Theo dõi chúng tôi miễn phí trên mạng xã hội facebook và youtube:Nếu thấy hay, hãy động viên và chia sẻ nhé! Các bình luận không phù hợp với nội quy bình luận trang web sẽ bị cấm bình luận vĩnh viễn.
- Giải Tiếng Anh 10 Global Success
- Giải Tiếng Anh 10 Friends Global
- Giải sgk Tiếng Anh 10 iLearn Smart World
- Giải sgk Tiếng Anh 10 Explore New Worlds
- Lớp 10 - Kết nối tri thức
- Soạn văn 10 (hay nhất) - KNTT
- Soạn văn 10 (ngắn nhất) - KNTT
- Soạn văn 10 (siêu ngắn) - KNTT
- Giải sgk Toán 10 - KNTT
- Giải sgk Vật lí 10 - KNTT
- Giải sgk Hóa học 10 - KNTT
- Giải sgk Sinh học 10 - KNTT
- Giải sgk Địa lí 10 - KNTT
- Giải sgk Lịch sử 10 - KNTT
- Giải sgk Kinh tế và Pháp luật 10 - KNTT
- Giải sgk Tin học 10 - KNTT
- Giải sgk Công nghệ 10 - KNTT
- Giải sgk Hoạt động trải nghiệm 10 - KNTT
- Giải sgk Giáo dục quốc phòng 10 - KNTT
- Lớp 10 - Chân trời sáng tạo
- Soạn văn 10 (hay nhất) - CTST
- Soạn văn 10 (ngắn nhất) - CTST
- Soạn văn 10 (siêu ngắn) - CTST
- Giải Toán 10 - CTST
- Giải sgk Vật lí 10 - CTST
- Giải sgk Hóa học 10 - CTST
- Giải sgk Sinh học 10 - CTST
- Giải sgk Địa lí 10 - CTST
- Giải sgk Lịch sử 10 - CTST
- Giải sgk Kinh tế và Pháp luật 10 - CTST
- Giải sgk Hoạt động trải nghiệm 10 - CTST
- Lớp 10 - Cánh diều
- Soạn văn 10 (hay nhất) - Cánh diều
- Soạn văn 10 (ngắn nhất) - Cánh diều
- Soạn văn 10 (siêu ngắn) - Cánh diều
- Giải sgk Toán 10 - Cánh diều
- Giải sgk Vật lí 10 - Cánh diều
- Giải sgk Hóa học 10 - Cánh diều
- Giải sgk Sinh học 10 - Cánh diều
- Giải sgk Địa lí 10 - Cánh diều
- Giải sgk Lịch sử 10 - Cánh diều
- Giải sgk Kinh tế và Pháp luật 10 - Cánh diều
- Giải sgk Tin học 10 - Cánh diều
- Giải sgk Công nghệ 10 - Cánh diều
- Giải sgk Hoạt động trải nghiệm 10 - Cánh diều
- Giải sgk Giáo dục quốc phòng 10 - Cánh diều


Giải bài tập SGK & SBT
Tài liệu giáo viên
Sách
Khóa học
Thi online
Hỏi đáp

