Các dạng toán về hệ phương trình và cách giải (hay, chi tiết)
Với loạt Các dạng toán về hệ phương trình và cách giải sẽ giúp học sinh nắm vững lý thuyết, biết cách làm bài tập từ đó có kế hoạch ôn tập hiệu quả để đạt kết quả cao trong các bài thi môn Toán 10.
Các dạng toán về hệ phương trình và cách giải
(199k) Xem Khóa học Toán 10 KNTTXem Khóa học Toán 10 CDXem Khóa học Toán 10 CTST
A. Lí thuyết tổng hợp.
- Hệ phương trình bậc nhất hai ẩn: Dạng tổng quát là
(1). Trong đó, x và y là hai ẩn, các chữ còn lại là hệ số. Nếu cặp số (x0;y0) đồng thời là nghiệm của cả hai phương trình của hệ thì (x0;y0) được gọi là một nghiệm của hệ phương trình (1). Giải hệ phương trình (1) là tìm tập nghiệm của nó.
+ Có hai phương pháp cơ bản để giải hệ phương trình trên, đó là phương pháp cộng đại số và phương pháp thế (đã học ở lớp 9).
- Hệ phương trình bậc nhất ba ẩn: Dạng tổng quát là
(2). Trong đó x, y và z là ẩn số, còn các chữ còn lại là hệ số. Nếu bộ ba số (x0;y0;z0) đồng thời là nghiệm của cả ba phương trình của hệ thì (x0;y0;z0) được gọi là một nghiệm của hệ phương trình (2). Giải hệ phương trình (2) là tìm tập nghiệm của nó.
- Hệ phương trình bậc hai hai ẩn là hệ phương trình gồm các phương trình bậc hai chứa hai ẩn hoặc gồm một phương trình bậc nhất và một phương trình bậc hai chứa hai ẩn. Nếu cặp số (x0;y0) đồng thời là nghiệm của các phương trình của hệ thì (x0;y0) được gọi là một nghiệm của hệ phương trình.
B. Các dạng bài.
Dạng 1: Hệ phương trình bậc nhất hai ẩn, ba ẩn.
Phương pháp giải:
- Hệ phương trình bậc nhất hai ẩn x, y:
+ Phương pháp thế: Từ một phương trình của hệ, ta biểu thị ẩn x theo y (hoặc y theo x). Thế biểu thức tìm được của x (hoặc của y) vào phương trình còn lại để được phương trình bậc nhất một ẩn. Giải phương trình bậc nhất vừa tìm được. Thay giá trị vừa tìm được của ẩn vào biểu thức tìm được trong bước thứ nhất để tìm giá trị của ẩn còn lại.
+ Phương pháp cộng đại số: Chọn ẩn muốn khử. Khi các hệ số của cùng một ẩn đối nhau thì ta cộng vế theo vế của hệ. Khi các hệ số của cùng một ẩn bằng nhau thì ta trừ vế theo vế của hệ. Nếu các hệ số đó không bằng nhau thì ta nhân các vế của hai phương trình với số thích hợp sao cho các hệ số của x (hoặc y) trong hai phương trình của hệ là bằng nhau hoặc đối nhau. Rồi thực hiện các bước ở trên. Ta được một phương trình mới, trong đó ẩn muốn khử có hệ số bằng. Giải hệ phương trình gồm một phương trình mới và một phương trình đã cho. Ta suy ra nghiệm của hệ.
Đối với một số bài toán ta có thể kết hợp phương pháp đặt ẩn phụ để biến đổi hệ phương trình đã cho thành hệ phương trình đơn giản hơn với ẩn mới. Sau khi tìm được nghiệm của hệ phương trình mới, ta có thể tìm nghiệm của hệ phương trình ban đầu.
- Phương trình bậc nhất ba ẩn:
Nguyên tắc chung để giải các hệ phương trình nhiều ẩn là khử bớt ẩn để quy về giải hệ phương trình có ít ẩn số hơn. Để khử bớt ẩn, ta cũng có thể dùng các phương pháp cộng đại số hay phương pháp thế giống như đối với hệ phương trình bậc nhất hai ẩn.
Ví dụ minh họa:
Bài 1: Giải hệ phương trình sau:
bằng hai cách.
Lời giải:
Cách 1: Phương pháp thế.

Cách 2: Phương pháp cộng đại số.

Vậy hệ phương trình có duy nhất cặp nghiệm (x; y) = (1; 1).
Bài 2: Giải hệ phương trình
Lời giải:
Ta có:

Vậy hệ phương trình có nghiệm duy nhất (x; y; z) = (–2; 1; 2).
Dạng 2: Hệ phương trình bậc hai chứa hai ẩn.
Phương pháp giải:
Sử dụng phương pháp thế hoặc phương pháp cộng đại số để biểu diễn một ẩn theo ẩn kia từ một phương trình rồi thế vào phương trình còn lại để tìm ra ẩn đó. Từ đó tìm ra ẩn còn lại và kết luận nghiệm.
Ví dụ minh họa:
Bài 1: Giải hệ phương trình 
Lời giải:
Ta có:
Xét phương trình x2 - 6x + 5 = 0 ta có: 1 – 6 + 5 = 0
Phương trình có hai nghiệm phân biệt: x1 = 1; x2 =
= 5
Với x = 1 thì y = 5 – 2.1 = 3
Với x = 5 thì y = 5 – 2.5 = –5
Vậy hệ phương trình có hai nghiệm (x; y) là (1; 3) và (5; –5).
Bài 2: Giải hệ phương trình 
Lời giải:
Điều kiện xác định: x ≠ 0.
Ta có:
(chia hai vế của PT1 cho x)
(thế PT1 vào PT2)

Xét phương trình x2 - 3x + 2 = 0 ta có: 1 – 3 + 2 = 0
Phương trình có hai nghiệm phân biệt: x1 = 1; x2 =
= 2 (t/m)
Với x = 1 ta có: x + y =
- 1
1 + y =
- 1
y = 1
Với x = 2 ta có: x + y =
- 1
2+ y =
- 1
y =
Vậy phương trình có nghiệm (x; y) là (1; 1) và 
Dạng 3: Các hệ phương trình đặc biệt khác.
Phương pháp giải:
- Hệ phương trình đối xứng:
+ Loại 1: Có dạng
(1) .
Trong đó, f(x, y) = f(y, x) và g(x, y) = g(y, x)
Muốn giải hệ phương trình này ta cần đặt S = x + y và P = x.y. Đưa hệ phương trình (1) về hệ phương trình ẩn S và P. Giải hệ phương trình đó để tìm được S và P và từ đó tìm ra x và y là hai nghiệm của phương trình x2 - Sx + P = 0 .
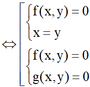
+ Loại 2: Có dạng
(2).
Ta có:
Biến đổi f (x,y) – f (y,x) = 0 thành phương trình tích ta được (x – y).g(x, y) = 0

Như vậy, hệ phương trình (2)
.
Giải hệ này ta tìm được các nghiệm x và y.
Chú ý: Đối với cả hệ phương trình đối xứng loại 1 và loại 2, nếu (x0;y0) là nghiệm thì (y0;x0) cũng là nghiệm.
- Hệ phương trình đẳng cấp bậc hai: Có dạng
(3)
+ Giải hệ khi x = 0 hoặc y = 0
+ Với x#0, đặt y = t.x. Thế vào hệ (3) ta được hệ theo t và x. Khử x ta tìm được phương trình bậc hai theo t. Giải phương trình này ta tìm được t, từ đó suy ra x, y.
Ví dụ minh họa:
Bài 1: Giải các hệ phương trình sau:

Lời giải:
a)
(1)
Ta có: x + xy + y = y + yx + x ; x2 + y2 = y2 + x2
Nên đây là hệ phương trình đối xứng loại 1.
(1)
Đặt S = x + y và P = x.y
(1)
+ Với
ta có x, y là hai nghiệm của phương trình x2 - (2+
)x + 2
= 0
Xét phương trình x2 - (2+
)x + 2
= 0 có:
= [-(2+
)]2 - 4.1.2
= 6 - 4
> 0
Phương trình có hai nghiệm phân biệt:
x1 =
= 2
x2 =
=
Ta có các nghiệm ( x; y ) là và .
+ Với
ta có x, y là hai nghiệm của phương trình x2 - (-4 -
)x + 6 +4
= 0.
Xét phương trình x2 - (-4 -
)x + 6 +4
= 0 có:
= (-4-
)2 - 4.1.(6+4
) = -6 - 8
< 0
Phương trình vô nghiệm
Vậy hệ phương trình (1) có nghiệm (x; y) là (2;
) và (
;2).
b)
(2)

Vậy hệ phương trình (2) có nghiệm (x; y) là (0; 0).
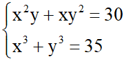
Bài 2: Giải hệ phương trình
.
Lời giải:
Với x = 0, ta có:
Ta thấy (0; 0) không phải nghiệm của phương trình.
Với x#0 ta có:
Đặt y = t.x. Khi đó 
(loại nghiệm x = 0)
Xét phương trình 6t2 - 5t + 1 = 0 ta có:
= (-5)2 - 4.6.1 = 1 > 0
Phương trình có hai nghiệm phân biệt.
t1 = 
t2 = 
+ Với t1 =
ta có:
4x2 + 2tx2 + 6x = 27
4x2 + 2.
tx2 + 6x = 27
5x2 + 6x - 27 = 0
Xét phương trình 5x2 + 6x - 27 = 0 ta có:
= 62 - 4.(-27).5 = 576 > 0
Phương trình có hai nghiệm phân biệt.
x1 = 
x2 = 
Với x1 = 
y =
Với x2 = -3
y =
.(-3) = 
Hệ phương trình
có nghiệm (x; y) là
và
+ Với t2 =
ta có:
4x2 + 2tx2 + 6x = 27
4x2 + 2.
x2 + 6x = 27
x2 + 6x - 27 = 0
Xét phương trình
x2 + 6x - 27 = 0 ta có:
= 62 - 4.(-27).
= 540 > 0
Phương trình có hai nghiệm phân biệt.
x3 = 
x4 = 
Với x3 =
Với x4 =
Hệ phương trình
có nghiệm (x; y) là
và
Vậy hệ phương trình
có nghiệm (x; y) là
,
và
.
C. Bài tập tự luyện.
Bài 1: Giải hệ phương trình:
.
Đáp án: (x;y) = 
Bài 2: Giải hệ phương trình:
.
Đáp án: (x;y;z) = 
Bài 3: Giải hệ phương trình:
.
Đáp án: (x; y; z) = (2; 1; 3).
Bài 4: Giải hệ phương trình:
.
Đáp án:
và
Bài 5: Giải hệ phương trình:
.
Đáp án: (0; 1) , (0; –1); (–1; 1) và 
Bài 6: Giải hệ phương trình:
.
Đáp án: (x; y) = (1; 2)
Bài 7: Giải hệ phương trình:
.
Đáp án: (2; 3) và (3; 2)
Bài 8: Giải hệ phương trình:
.
Đáp án: (0; 0) , (2+
; 2+
) và (2-
; 2-
)
Bài 9: Giải hệ phương trình:
.
Đáp án: (–1; –1) , (1; 1) ,
và
Bài 10: Giải hệ phương trình: 
Đáp án: (1; 1)
(199k) Xem Khóa học Toán 10 KNTTXem Khóa học Toán 10 CDXem Khóa học Toán 10 CTST
Xem thêm phương pháp giải các dạng bài tập Toán lớp 10 hay, chi tiết khác:
- Các dạng bài tập Bất đẳng thức và cách giải
- Bất phương trình bậc nhất hai ẩn và cách giải
- Bất phương trình bậc hai và cách giải
- Hệ bất phương trình bậc nhất một ẩn và cách giải
- Bảng phân bố tần số, tần suất và cách giải
Để học tốt lớp 10 các môn học sách mới:
- Giải bài tập Lớp 10 Kết nối tri thức
- Giải bài tập Lớp 10 Chân trời sáng tạo
- Giải bài tập Lớp 10 Cánh diều
Tủ sách VIETJACK shopee lớp 10-11 (cả 3 bộ sách):
Đã có app VietJack trên điện thoại, giải bài tập SGK, SBT Soạn văn, Văn mẫu, Thi online, Bài giảng....miễn phí. Tải ngay ứng dụng trên Android và iOS.
Theo dõi chúng tôi miễn phí trên mạng xã hội facebook và youtube:Nếu thấy hay, hãy động viên và chia sẻ nhé! Các bình luận không phù hợp với nội quy bình luận trang web sẽ bị cấm bình luận vĩnh viễn.
- Giải Tiếng Anh 10 Global Success
- Giải Tiếng Anh 10 Friends Global
- Giải sgk Tiếng Anh 10 iLearn Smart World
- Giải sgk Tiếng Anh 10 Explore New Worlds
- Lớp 10 - Kết nối tri thức
- Soạn văn 10 (hay nhất) - KNTT
- Soạn văn 10 (ngắn nhất) - KNTT
- Soạn văn 10 (siêu ngắn) - KNTT
- Giải sgk Toán 10 - KNTT
- Giải sgk Vật lí 10 - KNTT
- Giải sgk Hóa học 10 - KNTT
- Giải sgk Sinh học 10 - KNTT
- Giải sgk Địa lí 10 - KNTT
- Giải sgk Lịch sử 10 - KNTT
- Giải sgk Kinh tế và Pháp luật 10 - KNTT
- Giải sgk Tin học 10 - KNTT
- Giải sgk Công nghệ 10 - KNTT
- Giải sgk Hoạt động trải nghiệm 10 - KNTT
- Giải sgk Giáo dục quốc phòng 10 - KNTT
- Lớp 10 - Chân trời sáng tạo
- Soạn văn 10 (hay nhất) - CTST
- Soạn văn 10 (ngắn nhất) - CTST
- Soạn văn 10 (siêu ngắn) - CTST
- Giải Toán 10 - CTST
- Giải sgk Vật lí 10 - CTST
- Giải sgk Hóa học 10 - CTST
- Giải sgk Sinh học 10 - CTST
- Giải sgk Địa lí 10 - CTST
- Giải sgk Lịch sử 10 - CTST
- Giải sgk Kinh tế và Pháp luật 10 - CTST
- Giải sgk Hoạt động trải nghiệm 10 - CTST
- Lớp 10 - Cánh diều
- Soạn văn 10 (hay nhất) - Cánh diều
- Soạn văn 10 (ngắn nhất) - Cánh diều
- Soạn văn 10 (siêu ngắn) - Cánh diều
- Giải sgk Toán 10 - Cánh diều
- Giải sgk Vật lí 10 - Cánh diều
- Giải sgk Hóa học 10 - Cánh diều
- Giải sgk Sinh học 10 - Cánh diều
- Giải sgk Địa lí 10 - Cánh diều
- Giải sgk Lịch sử 10 - Cánh diều
- Giải sgk Kinh tế và Pháp luật 10 - Cánh diều
- Giải sgk Tin học 10 - Cánh diều
- Giải sgk Công nghệ 10 - Cánh diều
- Giải sgk Hoạt động trải nghiệm 10 - Cánh diều
- Giải sgk Giáo dục quốc phòng 10 - Cánh diều


Giải bài tập SGK & SBT
Tài liệu giáo viên
Sách
Khóa học
Thi online
Hỏi đáp

