Cách phân tích một vecto theo hai vecto không cùng phương (cực hay, chi tiết)
Bài viết Cách phân tích một vecto theo hai vecto không cùng phương với phương pháp giải chi tiết giúp học sinh ôn tập, biết cách làm bài tập Cách phân tích một vecto theo hai vecto không cùng phương.
Cách phân tích một vecto theo hai vecto không cùng phương (cực hay, chi tiết)
(199k) Xem Khóa học Toán 10 KNTTXem Khóa học Toán 10 CDXem Khóa học Toán 10 CTST
A. Phương pháp giải
Sử dụng định lý về phân tích vecto:
Phân tích vecto: Cho hai vecto không cùng phương ,
. Khi đó mọi
đều được phân tích duy nhất:
Sử dụng quy tắc hình bình hành, quy tắc 3 điểm,công thức trung điểm, trọng tâm…
Nếu hai vecto
;
cùng hướng và
Nếu hai vecto
;
ngược hướng và
B. Ví dụ minh họa
Ví dụ 1: Cho AK và BM là hai trung tuyến của tam giác ABC. Hãy phân tích vecto theo hai vecto
.
Hướng dẫn giải:
Vì M là trung điểm của AC nên
Vì K là trung điểm của BC nên
Ví dụ 2: Cho hình bình hành ABCD. Gọi M, N là các điểm nằm trên các cạnh AB và CD sao cho AM = AB, CN =
CD. Gọi G là trọng tâm của tam giác BMN. Hãy phân tích
theo hai vecto
.
Hướng dẫn giải:
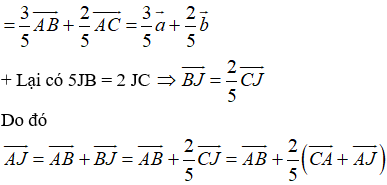
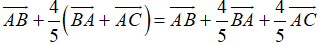
Ví dụ 3: Cho tam giác ABC. Gọi I là điểm trên cạnh BC sao cho 2CI = 3BI và J là điểm nằm trên tia đối của BC sao cho 5JB = 2JC. Phân tích vecto theo
Hướng dẫn giải:
Ví dụ 4: Cho tam giác ABC. Gọi M là điểm trên cạnh BC sao cho MB = 4MC. Khi đó:
Hướng dẫn giải:
Ta có:
MB = 4MC
Đáp án D
Ví dụ 5: Cho tam giác ABC có M thuộc cạnh BC sao cho CM = 2MB và I là trung điểm của AB. Đẳng thức nào sau đây đúng?
Hướng dẫn giải:
C. Bài tập tự luyện
Bài 1. Cho hình bình hành ABCD tâm O. Đặt . Hãy biểu diễn các vectơ theo hai vectơ .
Hướng dẫn giải:
Ta có:
Bài 2. Cho tam giác ABC có trọng tâm là G, H là điểm đối xứng của B qua G. Gọi M là trung điểm của BC. Đặt . Biểu thị các vectơ theo hai vectơ .
Hướng dẫn giải:
Ta có: .
Suy ra: .
Vậy: .
Tương tự:
Bài 3. Cho hình bình hành ABCD có M, N là trung điểm của các cạnh DC, DA. Đặt . Biểu diễn các vectơ theo hai vectơ .
Hướng dẫn giải:
Ta có:
Từ đó
Giải hệ phương trình này ta được:.
Như vậy
Bài 4. Cho tam giác ABC. Gọi I là điểm trên cạnh BC sao cho 2CI = 3BI, gọi J là điểm trên phần kéo dài của cạnh BC sao cho 5JB = 2JC. Tính theo .
Hướng dẫn giải:
Vì I nằm trên cạnh BC và 2CI = 3BI nên
Vì J nằm trên phần kéo dài của cạnh BC và 5JB = 2JC nên
Bài 5. Cho tam giác ABC. Gọi I là điểm trên cạnh BC sao cho 2CI = 3BI, gọi J là điểm trên phần kéo dài của cạnh BC sao cho 5JB = 2JC. Gọi G là trọng tâm tam giác ABC. Tính theo .
Hướng dẫn giải:
Theo kết quả bài 4, ta có
Từ đó suy ra
Ta lại có (với M là trung điểm BC).
.
Bài 6. Cho tam giác ABC, N là điểm sao cho . Với G là trọng tâm tam giác ABC. Biểu thị theo .
Bài 7. Cho tam giác ABC có D, E, F lần lượt là trung điểm của các cạnh BC, CA và AB. Đặt . Biểu diễn các vectơ theo .
Bài 8. Cho tam giác ABC, I là điểm trên phần kéo dài của AB sao cho IA = 2IB, J là điểm nằm trên cạnh AC sao cho 3JA = 2JC. Biểu thị vectơ IJ theo .
Bài 9. Cho hình bình hành ABCD tâm O, I là trung điểm của BO, G là trọng tâm tam giác OCD. Biểu thị các vectơ theo .
Bài 10. Cho lục giác đều ABCDEF. Đặt . Biểu thị các vectơ theo .
(199k) Xem Khóa học Toán 10 KNTTXem Khóa học Toán 10 CDXem Khóa học Toán 10 CTST
Xem thêm các dạng bài tập Toán lớp 10 chọn lọc, có đáp án hay khác khác:
- Bài tập về Quy tắc trọng tâm tam giác của vecto (cực hay, chi tiết)
- Bài tập Tọa độ của vecto, tọa độ của một điểm (cực hay, chi tiết)
- Tìm m để hai vecto cùng phương (cực hay, chi tiết)
- Cách tìm tọa độ trung điểm của đoạn thẳng (cực hay, chi tiết)
- Cách tìm tọa độ của trọng tâm tam giác (cực hay, chi tiết)
- Tìm tọa độ điểm thỏa mãn điều kiện cho trước (cực hay, chi tiết)
Để học tốt lớp 10 các môn học sách mới:
- Giải bài tập Lớp 10 Kết nối tri thức
- Giải bài tập Lớp 10 Chân trời sáng tạo
- Giải bài tập Lớp 10 Cánh diều
Tủ sách VIETJACK shopee lớp 10-11 (cả 3 bộ sách):
Đã có app VietJack trên điện thoại, giải bài tập SGK, SBT Soạn văn, Văn mẫu, Thi online, Bài giảng....miễn phí. Tải ngay ứng dụng trên Android và iOS.
Theo dõi chúng tôi miễn phí trên mạng xã hội facebook và youtube:Nếu thấy hay, hãy động viên và chia sẻ nhé! Các bình luận không phù hợp với nội quy bình luận trang web sẽ bị cấm bình luận vĩnh viễn.
- Giải Tiếng Anh 10 Global Success
- Giải Tiếng Anh 10 Friends Global
- Giải sgk Tiếng Anh 10 iLearn Smart World
- Giải sgk Tiếng Anh 10 Explore New Worlds
- Lớp 10 - Kết nối tri thức
- Soạn văn 10 (hay nhất) - KNTT
- Soạn văn 10 (ngắn nhất) - KNTT
- Soạn văn 10 (siêu ngắn) - KNTT
- Giải sgk Toán 10 - KNTT
- Giải sgk Vật lí 10 - KNTT
- Giải sgk Hóa học 10 - KNTT
- Giải sgk Sinh học 10 - KNTT
- Giải sgk Địa lí 10 - KNTT
- Giải sgk Lịch sử 10 - KNTT
- Giải sgk Kinh tế và Pháp luật 10 - KNTT
- Giải sgk Tin học 10 - KNTT
- Giải sgk Công nghệ 10 - KNTT
- Giải sgk Hoạt động trải nghiệm 10 - KNTT
- Giải sgk Giáo dục quốc phòng 10 - KNTT
- Lớp 10 - Chân trời sáng tạo
- Soạn văn 10 (hay nhất) - CTST
- Soạn văn 10 (ngắn nhất) - CTST
- Soạn văn 10 (siêu ngắn) - CTST
- Giải Toán 10 - CTST
- Giải sgk Vật lí 10 - CTST
- Giải sgk Hóa học 10 - CTST
- Giải sgk Sinh học 10 - CTST
- Giải sgk Địa lí 10 - CTST
- Giải sgk Lịch sử 10 - CTST
- Giải sgk Kinh tế và Pháp luật 10 - CTST
- Giải sgk Hoạt động trải nghiệm 10 - CTST
- Lớp 10 - Cánh diều
- Soạn văn 10 (hay nhất) - Cánh diều
- Soạn văn 10 (ngắn nhất) - Cánh diều
- Soạn văn 10 (siêu ngắn) - Cánh diều
- Giải sgk Toán 10 - Cánh diều
- Giải sgk Vật lí 10 - Cánh diều
- Giải sgk Hóa học 10 - Cánh diều
- Giải sgk Sinh học 10 - Cánh diều
- Giải sgk Địa lí 10 - Cánh diều
- Giải sgk Lịch sử 10 - Cánh diều
- Giải sgk Kinh tế và Pháp luật 10 - Cánh diều
- Giải sgk Tin học 10 - Cánh diều
- Giải sgk Công nghệ 10 - Cánh diều
- Giải sgk Hoạt động trải nghiệm 10 - Cánh diều
- Giải sgk Giáo dục quốc phòng 10 - Cánh diều


Giải bài tập SGK & SBT
Tài liệu giáo viên
Sách
Khóa học
Thi online
Hỏi đáp

