Tìm điểm thuộc đường thẳng có độ dài thỏa mãn điều kiện
Bài viết Tìm điểm thuộc đường thẳng có độ dài thỏa mãn điều kiện với phương pháp giải chi tiết giúp học sinh ôn tập, biết cách làm bài tập Tìm điểm thuộc đường thẳng có độ dài thỏa mãn điều kiện.
Tìm điểm thuộc đường thẳng có độ dài thỏa mãn điều kiện
(199k) Xem Khóa học Toán 10 KNTTXem Khóa học Toán 10 CDXem Khóa học Toán 10 CTST
A. Phương pháp giải
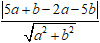
Để tìm được điểm (tham số m) thỏa mãn điều kiện T ta cần sử dụng các công thức sau:
+ Khoảng cách từ điểm M(x0; y0) đến đường thẳng d: ax + by + c = 0 là:
d(M; d) =
+ Khoảng cách hai điểm A(xA; yA) và B ( xB; yB) là:
AB =
+ Để điểm M (x0; y0) cách đều hai đường thẳng d: ax + by + c = 0 và d’: a’x + b’y + c’ = 0
⇔ d( M;d) = d( M;d’) ⇔
+ Tam giác ABC cân tại A khi và chỉ khi AB = AC.
B. Ví dụ minh họa
Ví dụ 1. Cho d:
Tìm điểm M trên d cách A(0; 1) một đoạn bằng 5
A. M(
;
)
B. M1(4; 4) ; M2(
;
)
C. M1(4; 4) ; M2(-
; -
)
D. M( 2; -3)
Lời giải
Lấy điểm M( 2 + 2t; 3 + t) nằm trên d ; AM→( 2 + 2t; t + 2)
Để AM = 5 khi và chỉ khi
(2t + 2)2 + (t + 2)2 = 25 hay 5t2 + 12t - 17 = 0
Suy ra t = 1 hoặc t = -
+ Với t = 1 thì M( 4; 4)
+ Với t = -
⇒ M2(-
; -
).
Chọn C
Ví dụ 2. Khoảng cách nhỏ nhất từ điểm M(15; 1) đến một điểm bất kì thuộc đường thẳng ∆ :
bằng:
A. √10
B.
C.
D. √5
Lời giải
+ Ta đưa đường thẳng ∆ về dạng tổng quát:
∆:
⇒ ( ∆) : 1(x - 2) – 3( y - 0) = 0 hay x - 3y - 2 = 0
+ Với mọi điểm N bất kì thuộc ∆ ta luôn có: MN ≤ d( M; ∆)
⇒ MNmin = d( M; ∆) =
= √10
Chọn A.
Ví dụ 3. Trong mặt phẳng với hệ tọa độ Oxy, cho hai điểm A( -2; 2), B(4; -6) và đường thẳng . Tìm điểm M thuộc
d:
sao cho M cách đều hai điểm A; B
A. M( 3; 7) B. M( -3; -5) C. M( 2; 5) D. M( -2; -5)
Lời giải
Do điểmM thuộc đường thẳng d nên tọa độ M( t; 1 + 2t)
MA2 = ( t + 2)2 + ( 2t - 1)2 và MB2 = (t - 4)2 + (2t + 7)2
Để MA = MB ⇔ AM2 = MB2
⇔ ( t + 2)2 + (2t - 1)2 = (t - 4)2 + (2t + 7)2
⇔ t2 + 4t + 4 + 4t2 - 4t + 1 = t2 - 8t + 16 + 4t2 + 28t + 49
⇔ 20t = - 60 ⇔ t = -3
⇒ Tọa độ điểm M ( -3; -5).
Chọn B.
Ví dụ 4. Trong mặt phẳng với hệ tọa độ Oxy, cho hai điểm A(-1; 2) ; B(-3;2) và đường thẳng d: 2x - y + 3 = 0. Tìm điểm C thuộc d sao cho tam giác ABC cân tại C.
A. C( -2; -1) B. C( 1; -2) C. C( -1; 1) D. C(0; 3)
Lời giải
Gọi tọa độ điểm C(x;y) .
+ Do điểm C thuộc đường thẳng d nên 2x - y + 3 = 0 ( 1) .
+ Ta có AC2 = ( x + 1)2 + ( y - 2)2 và BC2 = ( x + 3)2 + (y - 2)2
Để tam giác ABC cân tại C thì CA = CB ⇔ CA2 = CB2
⇔ ( x + 1)2 + (y - 2)2 = (x + 3)2 + (y - 2)2
⇔ x2 + 2x + 1 + y2 - 4y + 4 = x2 + 6x + 9 + y2 - 4y + 4
⇔ - 4x = 8 (2).
Từ( 1) và ( 2) ta có hệ phương trình :
Vậy tọa độ điểm C(-2; -1).
Chọn A.
Ví dụ 5. Tìm tất cả các giá trị của tham số m để khoảng cách từ điểm A(-1;2) đến đường thẳng ∆: mx + y - m + 4 = 0 bằng 2√5 .
A. m = 2
B. m = -2 hoặc m =
C. m = -
D. Không tồn tại m.
Lời giải
Khoảng cách từ A đến đường thẳng ∆:
d(A; Δ) =
= 2√5
⇔ |- 2m + 6| = 2√5.
⇔ |m - 3| = √5.
⇔ 4m2 + 6m - 4 = 0
⇔ m = -2 hoặc m =
Chọn B.
Ví dụ 6. Tìm tất cả các giá trị của tham số m để khoảng cách từ giao điểm của hai đường thẳng
d1:
và d2: x - 2y + m = 0 đến gốc toạ độ bằng 2.
A. m = -4 hoặc m = 2 B. m = - 4 hoặc m = -2
C. m = 4 hoặc m = 2 D. m = 4 hoặc m = -2
Lời giải
+ ta đưa đường thẳng d1 về dạng tổng quát:
(d1 ):
⇒ phương trình d1: 1( x - 0) + 1 (y - 2) = 0 hay x + y - 2 = 0
+ Giao điểm của d1 và d2 là nghiệm hệ phương trình:
Vậy giao điểm của hai đường thẳng d1 và d2 là M(4 - m; m - 2)
+ Khi đó: OM = 2 ⇔ OM2 = 4
⇔(4 - m)2 + (m - 2)2 = 4 ⇔ 16 - 8m + m2 + m2 - 4m + 4 = 4
⇔2m2 - 12m + 16 = 0 ⇔ m = 2 hoặc m = 4
Chọn C.
Ví dụ 7. Với giá trị nào của m thì đường thẳng Δ:
x -
y + m = 0 tiếp xúc với đường tròn
( C): tâm O(0; 0) và bán kính R = 1?
A. m = ±1
B. m = 0
C. m = √2
D. m =
Lời giải
Để đường thẳng ∆ tiếp xúc đường tròn khi và chỉ khi khoảng cách từ tâm đường tròn đến đường thẳng ∆ bằng bán kính R
d(O; Δ) = R ⇔
= 1 ⇔ m = ±1.
Chọn A.
Ví dụ 8: Tìm điểm M trên trục Ox sao cho nó cách đều hai đường thẳng:
d1: 3x + 2y - 6 = 0
và d2: 3x + 2y + 6 = 0 ?
A. (1; 0) B. (0; 0) C. (0; √2) D. (√2; 0)
Hướng dẫn giải
Gọi tọa độ điểm M( a;0) .
Khoảng cách từ M đến hai đường thẳng là:
d(M; d1) =
và d( M; d2) =
để M cách đều hai đường thẳng khi và chỉ khi :
=
⇒ Tọa độ điểm M ( 0; 0)
Chọn B.
Ví dụ 9: Cho hai điểm A( 1; 2) và B( 4; 6). Tìm tọa độ điểm M trên trục Oy sao cho diện tích tam giác MAB bằng 1 ?
A. (0 ;
) và (0;
)
B. (1; 0)
C. (4; 0)
D. Đáp án khác
Hướng dẫn giải
+ Độ dài đoạn AB =
= 5
+ Điểm M thuộc Oy nên tọa độ M ( 0; y).
+ Vì diện tích tam giác MAB bằng 1 nên S =
AB.d( M;AB) = 1
⇔
.5.d( M; AB) = 1 ⇒ d( M; AB) =
+ Phương trình đường thẳng AB:
⇒ Phương trình AB: 4( x - 1) – 3( y - 2) = 0 hay 4x - 3y + 2 = 0
⇒ d( M; AB) =
=
Vậy có hai điểm M thỏa mãn M(0; 0) hoặc M( 0;
)
Chọn D.
Ví dụ 10 : Cho ba điểm A(0; 1) ; B(12; 5) và C(-3; 0). Đường thẳng nào sau đây cách đều ba điểm A; B; C
A. x - 3y + 4 = 0 B. –x + y + 10 = 0 C. x + y = 0 D. 5x - y + 1 = 0.
Lời giải
Cách 1 : Ta có : AB→( 12; 4); AC→( -3; -1) ⇒ AB→ = - 4AC→
⇒ ba điểm A ; B và C thẳng hàng .
⇒ Nếu đường thẳng d cách đều 3 điểm A, B ; C thì nó phải song song hoặc trùng với AB.
Đường thẳng (d) nhận vecto AC→( -3 ; -1) làm VTCP nên nhận vecto n→( 1 ; -3) làm VTPT
⇒ đường thẳng d có dạng : x - 3y + c = 0
Kiểm tra các phương án, ta thấy phương án A thỏa mãn
Cách 2: Tính khoảng cách từ 3 điểm đến lần lượt các đường thẳng trong các phương án A, B, C, D.
Chọn A.
Ví dụ 11. Cho A(2; 2) ; B(5; 1) và đường thẳng ∆: x - 2y + 8 = 0 . Điểm C thuộc ∆ và C có hoành độ dương sao cho diện tích tam giác ABC bằng 17. Tọa độ của C là
A. (10; 12) B. (12 ; 10) C. ( 8; 8) D. (10; 8)
Lời giải
Phương trình đường thẳng AB:
⇒ ( AB) : 1(x - 2) + 3(y - 2) = 0 hay x + 3y – 8 = 0
Điểm
Độ dài AB =
= √10 và khoảng cách từ C đến AB:
D( C; AB)=
=
Diện tích tam giác ABC là:
S =
AB.d(C; AB) = 17 ⇔
√10.
= 17
⇔ |5t - 16| = 34 ⇒
Mà C có hoành độ dương nên t = 10 ⇒ C( 12; 10) .
Chọn B.
C. Bài tập vận dụng
Câu 1: Trong mặt phẳng với hệ tọa độ Oxy, cho hai điểm A(1;1) ; B( -2; 4) và đường thẳng ∆: mx - y + 3 = 0. Tìm tất cả các giá trị của tham số m để ∆ cách đều hai điểm A; B.
A. m = 1 hoặc m = -2 B. m = -1 hoặc m = 2
C. m = 1 hoặc m = -1 D. m = 2 hoặc m = - 2
Lời giải:
Đáp án: C
+ Để một đường thẳng ∆ cách đều hai điểm A và B thì ∆ // AB hoặc ∆ là đường trung trực của đoạn thẳng AB.
+ Gọi d là đường thẳng song song với AB ⇒ d nhận AB→( -3; 3) VTCP nên nhận
n→( 1; 1) làm VTPT
⇒ (d) có dạng : x + y + c = 0
Để d// ∆ ⇔ m/1= (-1)/1≠3/c ⇔ m= -1 và c ≠-3.
⇒ Với m = - 1 thì d//∆ nên ∆ cách đều hai điểm A và B
+ Gọi ( d’) là đường trung trực của đoạn AB.
( d’) :
⇒ Phương trình ( d’) : 1( x +
) - 1( y -
) = 0 hay x - y + 3 = 0
⇒ Để d’ trùng với ∆ thì m = 1. Khi đó; ∆ là đường trùng trực của AB nên ∆ cách đều hai điểm A và B.
Vậy với m = 1 hoặc m = -1 thì đường thẳng ∆ cách đều hai điểm A và B
Câu 2: Trong mặt phẳng với hệ tọa độ Oxy, cho hai điểm A( 1; 1) ; B(4; - 3) và đường thẳng d: x - 2y - 1 = 0. Tìm điểm M thuộc d có tọa độ nguyên và thỏa mãn khoảng cách từ M đến đường thẳng AB bằng 6.
A. M( 3; 7)
B. M( 7; 3)
C. M( -43; -27)
D. M(3; -
)
Lời giải:
Đáp án: B
+ Phương trình đường thẳng AB:
⇒ ( AB) : 4(x - 1) + 3(y - 1) = 0 hay 4x + 3y - 7 = 0
+ Lấy điểm M ( 2m + 1; m) thuộc d với m nguyên
Khi đó để khoảng cách từ M đến AB bằng 6 thì:
6 = d(M; AB) =
⇔|11m - 3| = 30 ⇔
→ M(7;3).
Câu 3: Trong mặt phẳng với hệ tọa độ oxy , cho điểm A( 0; 1) và đường thẳng
d:
. Tìm điểm M thuộc d và cách A một khoảng bằng 5, biết M có hoành độ âm.
A. M(-2; 1)
B.
C. M(-
; -
)
D. M( -4; 4)
Lời giải:
Đáp án: C
Do điểm M thuộc đường thẳng d nên tọa độ của M( 2 + 2t; 3 + t)
với 2 + 2t < 0 hay t < -1 vì M có hoành độ âm
Khi đó để M cách A một khoảng bằng 5 thì AM = 5 ⇔ AM2 = 25
⇔( 2 + 2t)2 + (2 + t)2 = 25 ⇔ 4 + 8t + 4t2 + 4 + 4t + t2 = 25
⇔5t2 + 12t - 17 = 0
⇔
Với t =
thì M(-
; -
)
Câu 4: Biết rằng có đúng hai điểm thuộc trục hoành và cách đường thẳng
∆: 2x - y + 5 = 0
một khoảng bằng 2√5. Tích hoành độ của hai điểm đó bằng:
A. -
B. -
C. -
D. Đáp số khác.
Lời giải:
Đáp án: A
Điểm M ( x; 0) thuộc trục hoành.
Do khoảng cách từ M đến ∆ là 2√5 nên
d(M; Δ) = 2√5 ⇔
⇔ |2x + 5| = 10
⇔
Vậy có hai điểm thỏa mãn là M1(
; 0) và M2(
; 0).
Tích hoành độ của hai điểm đó là:
.
= -
Câu 5: Trong mặt phẳng với hệ tọa độ Oxy , cho hai điểm A(3; -1) và B(0;3). Tìm điểm M thuộc trục hoành sao cho khoảng cách từ M đến đường thẳng AB bằng 1.
A. M(
; 0) ; M(1;0)
B. M(
; 0) ;M(
; 0)
C. M( -
; 0) ;M( -1; 0)
D. M( -
; 0) ;M( -
; 0)
Lời giải:
Đáp án: A
Phương trình ( AB):
⇒ ( AB) : 4( x - 3) + 3( y + 1) = 0 hay 4x + 3y - 9 = 0
Gọi điểm M thuộc trục hoành có tọa độ là ( x; 0) .
Để khoảng cách từ M đến AB bằng 1 thì:
1 = d( M; AB) =
⇔|4x - 9| = 5
⇔
Câu 6: Trong mặt phẳng với hệ tọa độ Oxy, cho hai điểm A(3; 0) và B( 0; -4) . Tìm điểm M thuộc trục tung sao cho diện tích tam giác MAB bằng 6
A. M(0; 0) hoặc M(0; -8) B. M(0; - 8) C. M(6; 0) D. M(0; 0)
Lời giải:
Đáp án: A
+ Phương trình AB theo đoạn chắn :
= 1 hay -4x + 3y + 12 = 0
+ AB =
= 5
+ Gọi điểm M( 0; y) thuộc trục tung.
⇒ khoảng cách từ M đến AB là d( M; AB) =
Để diện tích tam giác MAB là 6 thì:
S =
.AB.d( M; AB) = 6 ⇔
.5.
= 6
⇔ |3y + 12| = 12 ⇒
Vậy có hai điểm M thỏa mãn là M(0; 0 ) hoặc M ( 0; -8)
Câu 7: Trong mặt phẳng với hệ tọa độ Oxy, cho hai đường thẳng (a): 3x - 2y - 6 = 0 và
(b) : 3x – 2y + 12 = 0. Tìm điểm M thuộc trục hoành sao cho M cách đều hai đường thẳng đã cho.
A. M( -2; 0) B. M(-1; 0) C. M(1; 0) D. M(0; 0)
Lời giải:
Đáp án: B
D0 M thuộc trục hoành nên tọa độ M (x; 0)
Khoảng cách từ M đến hai đường thẳng là:
d( M; a) =
và d( M; b) =
Để điểm M cách đều hai đường thẳng a và b thì:
=
⇔ |3x - 6| = |3x + 12|
⇔3x - 6 = - 3x - 12 ⇔x = -1
⇒ Điểm M ( -1; 0) .
Câu 8: Trong mặt phẳng với hệ tọa độ Oxy, cho hai điểm A(1; 2) ; B( 0; 3) và đường thẳng d: y = 2. Tìm điểm C thuộc d sao cho tam giác ABC cân tại B
A. C(1; 2) B. C(4; 2) C. C(1; 2) hoặc C( -1; 2) D. C(-1; 2)
Lời giải:
Đáp án: C
Gọi toạ độ của điểm C( x; y) .
Do C thuộc d nên y = 2. (1)
Ta có: BA2 = (1 - 0)2 + (2 - 3)2 = 2 và BC2 = x2 + (y - 3)2
Để tạm giác ABC cân tại B thì BA = BC ⇔ BA2 = BC2
⇔ 2 = x2 + (y - 3)2 (2)
Từ ( 1) và (2) ta có hệ phương trình :
⇒ Có hai điểm C thỏa mãn đầu bài là C( 1; 2) hoặc C( -1; 2)
Câu 9: Phương trình của đường thẳng qua P(2; 5) và cách Q(5; 1) một khoảng bằng 3 là:
A. 7x + 24y - 13 = 0 . B. x = 2
C. x = 2 hoặc 7x + 24y – 134 = 0 . D. 3x + 4y - 5 = 0
Lời giải:
Đáp án: C
+ Đường thẳng ∆ qua P( 2; 5) và có VTPT n→( a; b) .
⇒ Phương trình ∆: a(x - 2) + b(y - 5) = 0 hay ax + by – 2a – 5b = 0
+ Khoảng cách từ điểm Q đến ∆:
d(Q, ∆) = 3 ⇔
= 3 ⇔ |3a - 4b| = 3.
⇔ -24ab + 7b2 = 0 ⇔
+ Với b = 0, chọn a = 1 thì phương trình ∆ : x - 2 = 0.
+ Với b =
a , chọn a = 7⇒ b = 24 phương trình ∆ : 7x + 24y - 134 = 0
Câu 10: Cho hai điểm A(3; -1) và B(0; 3) . Tìm tọa độ điểm M trên trục Ox sao cho khoảng cách từ M đến đường thẳng AB bằng AB?
A. ( -4; 0); (-3,5; 0) B. (2; 0) và (1; 0) C. (4; 0) D. (-4; 0) ; ( 8,5; 0)
Lời giải:
Đáp án: D
+ Ta gọi tọa độ điểm M nằm trên trục Ox là M( a ; 0)
+ Phương trình đường thẳng AB :
⇒ Phương trình AB : 4(x - 3) + 3(y + 1) = 0 hay 4x + 3y - 9 = 0
+ Độ dài đoạn AB =
= 5
+ Để khoảng cách từ M đến đường thẳng AB bằng AB thì d( M; AB) = 5
⇔
= 5 ⇔|4a - 9| = 25
⇔
Vậy có hai điểm M thỏa mãn là M ( 8,5; 0) và M( -4; 0) .
Câu 11: Cho hai điểm A( 2; 3) và B(1; 4). Đường thẳng nào sau đây cách đều hai điểm A; B?
A. x - y + 2 = 0 B. x - y + 100 = 0 C. x + 2y = 0 D. 2x - y + 10 = 0.
Lời giải:
Đáp án: A
Cách 1: Gọi d là đường thẳng cách đều 2 điểm A và B ta có:
M(x; y) ∈ d ⇔ MA = MB ⇔ MA2 = MB2
⇔ (x - 2)2 + (y - 3)2 = ( x - 1)2 + (y - 4)2
⇔ x2 - 4x + 4 + y2 – 6y + 9 = x2 - 2x + 1 + y2 - 8y + 16
⇔2x - 2y + 4 = 0 hay x - y + 2 = 0
Cách 2: Gọi I là trung điểm của đoạn AB ⇒ I(
;
)
Gọi d là đường thẳng cách đều 2 điểm A và B suy ra d là đường trung trực của đoạn AB hoặc d// AB.
+ Viết đường trung trực d của AB :
⇒ d đi qua I(
;
) và nhận AB→( -1; 1) làm VTPT
⇒ d: -(x -
) + (y -
) = 0 ⇒ d: -x + y - 2 = 0
+ Viết đường thẳng d’ song song với AB.
⇒ d’ nhận AB→( -1 ;1) làm VTCP và VTPT là n→(1 ; 1)
⇒ (d’) có dạng :x + y + c = 0.
Trong các phương án chỉ có phương án A thỏa mãn.
Câu 12: Tìm tọa độ điểm M nằm trên trục Ox và cách đều 2 đường thẳng
(a): 2x - 3y + 4 = 0 và (b): 2x + 3y + 2 = 0
A. (
; 0)
B. (
; 0)
C. (1; 0)
D. ( -
; 0)
Lời giải:
Đáp án: D
Điểm M nằm trên trục Ox nên tọa độ điểm M ( a ; 0) .
Khoảng cách từ M đến hai đường thẳng là :
d(M ; a) =
và d(M ; b) =
Để M cách đều hai đường thẳng (a) và (b) khi và chỉ khi :
=
⇔ |2a + 4|= |2a + 2| ⇔
⇒ Điểm M( -
; 0)
(199k) Xem Khóa học Toán 10 KNTTXem Khóa học Toán 10 CDXem Khóa học Toán 10 CTST
Xem thêm các dạng bài tập Toán 10 có đáp án hay khác:
- Các bài toán cực trị liên quan đến đường thẳng
- Tính khoảng cách từ một điểm đến một đường thẳng
- Tìm khoảng cách giữa hai đường thẳng song song
- Vị trí tương đối của 2 điểm với đường thẳng: cùng phía, khác phía
- Cách xác định góc giữa hai đường thẳng
- Viết phương trình đường thẳng d đi qua M và tạo với d’ một góc
- Viết phương trình đường phân giác của góc tạo bởi hai đường thẳng
Để học tốt lớp 10 các môn học sách mới:
- Giải bài tập Lớp 10 Kết nối tri thức
- Giải bài tập Lớp 10 Chân trời sáng tạo
- Giải bài tập Lớp 10 Cánh diều
Tủ sách VIETJACK shopee lớp 10-11 (cả 3 bộ sách):
Đã có app VietJack trên điện thoại, giải bài tập SGK, SBT Soạn văn, Văn mẫu, Thi online, Bài giảng....miễn phí. Tải ngay ứng dụng trên Android và iOS.
Theo dõi chúng tôi miễn phí trên mạng xã hội facebook và youtube:Nếu thấy hay, hãy động viên và chia sẻ nhé! Các bình luận không phù hợp với nội quy bình luận trang web sẽ bị cấm bình luận vĩnh viễn.
- Giải Tiếng Anh 10 Global Success
- Giải Tiếng Anh 10 Friends Global
- Giải sgk Tiếng Anh 10 iLearn Smart World
- Giải sgk Tiếng Anh 10 Explore New Worlds
- Lớp 10 - Kết nối tri thức
- Soạn văn 10 (hay nhất) - KNTT
- Soạn văn 10 (ngắn nhất) - KNTT
- Soạn văn 10 (siêu ngắn) - KNTT
- Giải sgk Toán 10 - KNTT
- Giải sgk Vật lí 10 - KNTT
- Giải sgk Hóa học 10 - KNTT
- Giải sgk Sinh học 10 - KNTT
- Giải sgk Địa lí 10 - KNTT
- Giải sgk Lịch sử 10 - KNTT
- Giải sgk Kinh tế và Pháp luật 10 - KNTT
- Giải sgk Tin học 10 - KNTT
- Giải sgk Công nghệ 10 - KNTT
- Giải sgk Hoạt động trải nghiệm 10 - KNTT
- Giải sgk Giáo dục quốc phòng 10 - KNTT
- Lớp 10 - Chân trời sáng tạo
- Soạn văn 10 (hay nhất) - CTST
- Soạn văn 10 (ngắn nhất) - CTST
- Soạn văn 10 (siêu ngắn) - CTST
- Giải Toán 10 - CTST
- Giải sgk Vật lí 10 - CTST
- Giải sgk Hóa học 10 - CTST
- Giải sgk Sinh học 10 - CTST
- Giải sgk Địa lí 10 - CTST
- Giải sgk Lịch sử 10 - CTST
- Giải sgk Kinh tế và Pháp luật 10 - CTST
- Giải sgk Hoạt động trải nghiệm 10 - CTST
- Lớp 10 - Cánh diều
- Soạn văn 10 (hay nhất) - Cánh diều
- Soạn văn 10 (ngắn nhất) - Cánh diều
- Soạn văn 10 (siêu ngắn) - Cánh diều
- Giải sgk Toán 10 - Cánh diều
- Giải sgk Vật lí 10 - Cánh diều
- Giải sgk Hóa học 10 - Cánh diều
- Giải sgk Sinh học 10 - Cánh diều
- Giải sgk Địa lí 10 - Cánh diều
- Giải sgk Lịch sử 10 - Cánh diều
- Giải sgk Kinh tế và Pháp luật 10 - Cánh diều
- Giải sgk Tin học 10 - Cánh diều
- Giải sgk Công nghệ 10 - Cánh diều
- Giải sgk Hoạt động trải nghiệm 10 - Cánh diều
- Giải sgk Giáo dục quốc phòng 10 - Cánh diều


Giải bài tập SGK & SBT
Tài liệu giáo viên
Sách
Khóa học
Thi online
Hỏi đáp

