Ứng dụng của hàm số bậc hai chứng minh bất đẳng thức và tìm giá trị nhỏ nhất, lớn nhất
Bài viết Ứng dụng của hàm số bậc hai chứng minh bất đẳng thức và tìm giá trị nhỏ nhất, lớn nhất với phương pháp giải chi tiết giúp học sinh ôn tập, biết cách làm bài tập Ứng dụng của hàm số bậc hai chứng minh bất đẳng thức và tìm giá trị nhỏ nhất, lớn nhất.
Ứng dụng của hàm số bậc hai chứng minh bất đẳng thức và tìm giá trị nhỏ nhất, lớn nhất
(199k) Xem Khóa học Toán 10 KNTTXem Khóa học Toán 10 CDXem Khóa học Toán 10 CTST
1. Phương pháp giải.
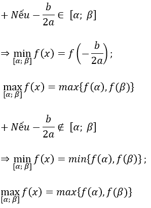
Dựa vào đồ thị (bảng biến thiên) của hàm số y = ax2 + bx + c, a ≠ 0 ta thấy nó đạt giá trị lớn nhất, nhỏ nhất trên [α; β] tại điểm x = α hoặc x = β hoặc x = -b/(2a). Cụ thể:
TH 1: a > 0
TH 2: a < 0:
2. Các ví dụ minh họa.
Ví dụ 1: Cho phương trình x2 + 2(m + 3)x + m2 - 3 = 0, m là tham số.
Tìm m để phương trình có hai nghiệm x1; x2 và P = 5(x1 + x2 ) - 2x1x2 đạt giá trị lớn nhất.
Hướng dẫn:
Ta có Δ' = (m + 3)2 - (m2 - 3) = 6m + 12
Phương trình có nghiệm ⇔ Δ' ≥ 0 ⇔ 6m + 12 ≥ 0 ⇔ m ≥ -2
Theo định lý Viét ta có:
P = 5(x1 + x2) - 2x1x2 = -10(m + 3) - 2(m2 - 3) = -2m2 - 10m - 24.
Xét hàm số f(m) = -2m2 - 10m - 24 với m ∈ [-2; +∞)
Bảng biến thiên
Suy rakhi và chỉ khi m = -2
Vậy m = -2 là giá trị cần tìm.
Ví dụ 2: Tìm giá trị nhỏ nhất của hàm số:
Hướng dẫn:
Khi đó hàm số trở thành y = t2 - 3t + 1 với t ≥ 1
Bảng biến thiên
Suy ra giá trị nhỏ nhất của hàm số y = t2 - 3t + 1 là (-5)/4 khi và chỉ khi t = 3/2 hay
Ví dụ 3: Cho các số thực a, b thoả mãn ab ≠ 0 . Tìm giá trị nhỏ nhất của biểu thức
Hướng dẫn:
Ta có P = t2 - 2 - t + 1 = t2 - t - 1
Xét hàm số f(t) = t2 - t - 1 với t ∈ (-∞;-2] ∪ [2; +∞)
Bảng biến thiên
Từ bảng biến thiên ta có:
Để học tốt lớp 10 các môn học sách mới:
- Giải bài tập Lớp 10 Kết nối tri thức
- Giải bài tập Lớp 10 Chân trời sáng tạo
- Giải bài tập Lớp 10 Cánh diều
Tủ sách VIETJACK shopee lớp 10-11 (cả 3 bộ sách):
Đã có app VietJack trên điện thoại, giải bài tập SGK, SBT Soạn văn, Văn mẫu, Thi online, Bài giảng....miễn phí. Tải ngay ứng dụng trên Android và iOS.
Theo dõi chúng tôi miễn phí trên mạng xã hội facebook và youtube:Nếu thấy hay, hãy động viên và chia sẻ nhé! Các bình luận không phù hợp với nội quy bình luận trang web sẽ bị cấm bình luận vĩnh viễn.
- Giải Tiếng Anh 10 Global Success
- Giải Tiếng Anh 10 Friends Global
- Giải sgk Tiếng Anh 10 iLearn Smart World
- Giải sgk Tiếng Anh 10 Explore New Worlds
- Lớp 10 - Kết nối tri thức
- Soạn văn 10 (hay nhất) - KNTT
- Soạn văn 10 (ngắn nhất) - KNTT
- Soạn văn 10 (siêu ngắn) - KNTT
- Giải sgk Toán 10 - KNTT
- Giải sgk Vật lí 10 - KNTT
- Giải sgk Hóa học 10 - KNTT
- Giải sgk Sinh học 10 - KNTT
- Giải sgk Địa lí 10 - KNTT
- Giải sgk Lịch sử 10 - KNTT
- Giải sgk Kinh tế và Pháp luật 10 - KNTT
- Giải sgk Tin học 10 - KNTT
- Giải sgk Công nghệ 10 - KNTT
- Giải sgk Hoạt động trải nghiệm 10 - KNTT
- Giải sgk Giáo dục quốc phòng 10 - KNTT
- Lớp 10 - Chân trời sáng tạo
- Soạn văn 10 (hay nhất) - CTST
- Soạn văn 10 (ngắn nhất) - CTST
- Soạn văn 10 (siêu ngắn) - CTST
- Giải Toán 10 - CTST
- Giải sgk Vật lí 10 - CTST
- Giải sgk Hóa học 10 - CTST
- Giải sgk Sinh học 10 - CTST
- Giải sgk Địa lí 10 - CTST
- Giải sgk Lịch sử 10 - CTST
- Giải sgk Kinh tế và Pháp luật 10 - CTST
- Giải sgk Hoạt động trải nghiệm 10 - CTST
- Lớp 10 - Cánh diều
- Soạn văn 10 (hay nhất) - Cánh diều
- Soạn văn 10 (ngắn nhất) - Cánh diều
- Soạn văn 10 (siêu ngắn) - Cánh diều
- Giải sgk Toán 10 - Cánh diều
- Giải sgk Vật lí 10 - Cánh diều
- Giải sgk Hóa học 10 - Cánh diều
- Giải sgk Sinh học 10 - Cánh diều
- Giải sgk Địa lí 10 - Cánh diều
- Giải sgk Lịch sử 10 - Cánh diều
- Giải sgk Kinh tế và Pháp luật 10 - Cánh diều
- Giải sgk Tin học 10 - Cánh diều
- Giải sgk Công nghệ 10 - Cánh diều
- Giải sgk Hoạt động trải nghiệm 10 - Cánh diều
- Giải sgk Giáo dục quốc phòng 10 - Cánh diều


Giải bài tập SGK & SBT
Tài liệu giáo viên
Sách
Khóa học
Thi online
Hỏi đáp

