Cách viết phương trình tổng quát của đường thẳng lớp 10 (cực hay)
Bài viết Cách viết phương trình tổng quát của đường thẳng lớp 10 với phương pháp giải chi tiết giúp học sinh ôn tập, biết cách làm bài tập Cách viết phương trình tổng quát của đường thẳng lớp 10.
Cách viết phương trình tổng quát của đường thẳng lớp 10 (cực hay)
(199k) Xem Khóa học Toán 10 KNTTXem Khóa học Toán 10 CDXem Khóa học Toán 10 CTST
A. Phương pháp giải
* Để viết phương trình tổng quát của đường thẳng d ta cần xác định :
- Điểm A(x0; y0) thuộc d
- Một vectơ pháp tuyến n→( a; b) của d
Khi đó phương trình tổng quát của d là: a(x-x0) + b(y-y0) = 0
* Cho đường thẳng d: ax+ by+ c= 0 nếu đường thẳng d// ∆ thì đường thẳng ∆ có dạng: ax + by + c’ = 0 (c’ ≠ c) .
B. Ví dụ minh họa
Ví dụ 1: Đường thẳng đi qua A(1; -2) , nhận n→ = (1; -2) làm véc tơ pháp tuyến có phương trình là:
A. x - 2y + 1 = 0. B. 2x + y = 0 C. x - 2y - 5 = 0 D. x - 2y + 5 = 0
Lời giải
Gọi (d) là đường thẳng đi qua A và nhận n→ = (1; -2) làm VTPT
=>Phương trình đường thẳng (d) : 1(x - 1) - 2(y + 2) = 0 hay x - 2y – 5 = 0
Chọn C.
Ví dụ 2: Viết phương trình tổng quát của đường thẳng ∆ đi qua M(1; -3) và nhận vectơ n→(1; 2) làm vectơ pháp tuyến.
A. ∆: x + 2y + 5 = 0 B. ∆: x + 2y – 5 = 0 C. ∆: 2x + y + 1 = 0 D. Đáp án khác
Lời giải
Đường thẳng ∆: qua M( 1; -3) và VTPT n→(1; 2)
Vậy phương trình tổng quát của đường thẳng ∆ là 1(x - 1) + 2(y + 3) = 0
Hay x + 2y + 5 = 0
Chọn A.
Ví dụ 3: Cho đường thẳng (d): x-2y + 1= 0 . Nếu đường thẳng (∆) đi qua M(1; -1) và song song với d thì ∆ có phương trình
A. x - 2y - 3 = 0 B. x - 2y + 5 = 0 C. x - 2y +3 = 0 D. x + 2y + 1 = 0
Lời giải
Do đường thẳng ∆// d nên đường thẳng ∆ có dạng x - 2y + c = 0 (c ≠ 1)
Ta lại có M(1; -1) ∈ (∆) ⇒ 1 - 2(-1) + c = 0 ⇔ c = -3
Vậy phương trình ∆: x - 2y - 3 = 0
Chọn A
Ví dụ 4: Cho ba điểm A(1; -2); B(5; -4) và C(-1;4) . Đường cao AA’ của tam giác ABC có phương trình
A. 3x - 4y + 8 = 0 B. 3x – 4y - 11 = 0 C. -6x + 8y + 11 = 0 D. 8x + 6y + 13 = 0
Lời giải
Ta có BC→ = (-6; 8)
Gọi AA’ là đường cao của tam giác ABC
⇒ AA' nhận VTPT n→ = BC→ = (-6; 8) và qua A(1; -2)
Suy ra phương trình AA’: -6(x - 1) + 8(y + 2) = 0
Hay -6x + 8y + 22 = 0 ⇔ 3x - 4y - 11 = 0.
Chọn B
Ví dụ 5. Đường thẳng d đi qua điểm A( 1; -3) và có vectơ pháp tuyến n→( 1; 5) có phương trình tổng quát là:
A. d: x + 5y + 2 = 0 B. d: x- 5y + 2 = 0 C. x + 5y + 14 = 0 D. d: x - 5y + 7 = 0
Lời giải
Ta có: đường thẳng d: qua A( 1; -3) và VTPT n→( 1; 5)
⇒ Phương trình tổng quát của đường thẳng d:
1( x - 1) + 5.(y + 3) = 0 hay x + 5y + 14 = 0
Chọn C.
Ví dụ 6. Trong mặt phẳng với hệ tọa độ Oxy, cho tam giác ABC có A(2; -1); B( 4; 5) và C( -3; 2) . Lập phương trình đường cao của tam giác ABC kẻ từ A
A. 7x + 3y – 11 = 0 B. -3x + 7y + 5 = 0 C. 3x + 7y + 2 = 0 D. 7x + 3y + 15 = 0
Lời giải
Gọi H là chân đường vuông góc kẻ từ A.
Đường thẳng AH : qua A( 2;-1) và Nhận VTPT BC→( 7; 3)
⇒ Phương trình đường cao AH :
7( x - 2) + 3(y + 1) = 0 hay 7x + 3y – 11 = 0
Chọn A.
Ví dụ 7 : Cho tam giác ABC cân tại A có A(1 ; -2). Gọi M là trung điểm của BC và
M( -2 ; 1). Lập phương trình đường thẳng BC ?
A. x + y - 3 = 0 B. 2x - y + 6 = 0 C. x - y + 3 = 0 D. x + y + 1 = 0
Lời giải
+ Do tam giác ABC cân tại A nên đường trung tuyến AM đồng thời là đường cao
⇒ AM vuông góc BC.
⇒ Đường thẳng BC nhận AM→( -3 ; 3) = -3(1 ; -1) làm VTPT
+ Đường thẳng BC : qua M(-2; 1) và VTPT n→( 1; -1)
⇒ Phương trình đường thẳng BC :
1(x + 2) - 1(y - 1) = 0 hay x - y + 3 = 0
Chọn C.
Ví dụ 8 : Cho tam giác ABC có đường cao BH : x + y - 2 = 0, đường cao CK : 2x + 3y - 5 = 0 và phương trình cạnh BC : 2x - y + 2 = 0. Lập phương trình đường cao kẻ từ A của tam giác ABC ?
A. x - 3y + 1 = 0 B. x + 4y - 5 = 0 C. x + 2y - 3 =0 D. 2x - y + 1 = 0
Lời giải
+ Gọi ba đường cao của tam giác ABC đồng quy tại P. Tọa độ của P là nghiệm hệ phương trình :
⇒ P( 1 ; 1)
+Tọa độ điểm B là nghiệm hệ phương trình :
⇒ B( 0 ;2)
Tương tự ta tìm được tọa độ C(-
;
)
+ Đường thẳng AP :
⇒ Phương trình đường thẳng AP :
1(x - 1) + 2(y - 1) = 0 ⇔ x + 2y - 3 = 0
Chọn C.
Ví dụ 9. Phương trình tổng quát của đường thẳng d đi qua O và song song với đường thẳng ∆ : 3x + 5y - 9 = 0 là:
A. 3x + 5y - 7 = 0 B. 3x + 5y = 0 C. 3x - 5y = 0 D. 3x - 5y + 9 = 0
Lời giải
Do đường thẳng d// ∆ nên đường thẳng d có dạng : 3x + 5y + c = 0 ( c ≠ - 9)
Do điểm O(0; 0) thuộc đường thẳng d nên :
3.0 + 5.0 + c = 0 ⇔ c = 0
Vậy phương trình đường thẳng d: 3x + 5y = 0
Chọn B.
Ví dụ 10: Cho tam giác ABC có B(-2; -4). Gọi I và J lần lượt là trung điểm của AB và AC. Biết đường thẳng IJ có phương trình 2x - 3y + 1 = 0. Lập phương trình đường thẳng BC?
A. 2x + 3y - 1 = 0 B. 2x - 3y - 8 = 0 C. 2x + 3y - 6 = 0 D. 2x - 3y + 1 = 0
Lời giải
Do I và J lần lượt là trung điểm của AB và AC nên IJ là đường trung bình của tam giác ABC.
⇒ IJ// BC.
⇒ Đường thẳng BC có dạng : 2x - 3y + c = 0 ( c ≠ 1)
Mà điểm B thuộc BC nên: 2.(-2) - 3(-4) + c = 0 ⇔ c = -8
⇒ phương trình đường thẳng BC: 2x - 3y - 8 = 0
Chọn B.
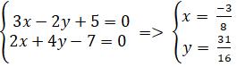
Ví dụ 11. Cho ba đường thẳng (a):3x - 2y + 5 = 0; (b): 2x + 4y - 7 = 0 và
(c): 3x + 4y - 1 = 0 . Phương trình đường thẳng d đi qua giao điểm của a và b , và song song với c là:
A. 24x + 32y - 53 = 0. B. 23x + 32y + 53 = 0 C. 24x - 33y + 12 = 0. D. Đáp án khác
Lời giải
Giao điểm của (a) và ( b) nếu có là nghiệm hệ phương trình :
⇒ A(
;
)
Ta có đường thẳng d // c nên đường thẳng d có dạng: 3x+ 4y+ c= 0 (c≠-1)
Vì điểm A thuộc đường thẳng d nên : 3.
+ 4.
+ c = 0 ⇔ c=
Vậy d: 3x + 4y +
= 0 ⇔ d3 = 24x + 32y - 53 = 0
Chọn A.
C. Bài tập vận dụng
Câu 1: Lập phương trình đường thẳng d đi qua điểm M( 2 ; 1) và nhận vecto n→( -2 ; 1) làm VTPT ?
A. 2x + y - 5 = 0 B. - 2x + y + 3 = 0 C. 2x - y - 4 = 0 D. 2x + y - 1 = 0
Lời giải:
Đáp án: B
Đường thẳng d :
⇒ Phương trình đường thẳng d : - 2(x - 2) + 1(y - 1) = 0
Hay (d) : -2x + y + 3 = 0.
Câu 2: Cho đường thẳng (a) : 2x+ y- 3=0 và (b) : 3x- 4y+ 1= 0. Lập phương trình đường thẳng d đi qua giao điểm của hai đường thẳng a và b ; nhận vecto n→( 2 ; -3) làm VTPT ?
A. 2x - 3y + 6 = 0 B. -2x - 3y + 6 = 0 C. 2x - 3y + 1 = 0 D. 2x + 3y - 1 =0
Lời giải:
Đáp án: C
+ Giao điểm A của hai đường thẳng a và b là nghiệm hệ phương trình :
⇒ A( 1 ; 1)
+ Đường thẳng (d) :
⇒ Phương trình đường thẳng d : 2(x - 1) - 3(y - 1) = 0 hay 2x - 3y + 1 = 0.
Câu 3: Trong mặt phẳng với hệ tọa độ Oxy, cho tam giác ABC có A(2; -1), B(4; 5) và C( -3; 2) . Lập phương trình đường cao của tam giác ABC kẻ từ B
A. 3x - 5y + 1 = 0 B. 3x + 5y - 20 = 0 C. 3x + 5y - 12 = 0 D. 5x - 3y -5 = 0
Lời giải:
Đáp án: D
Gọi H là chân đường vuông góc kẻ từ B của tam giác ABC.
Đường thẳng BH :
⇒ Phương trình đường cao BH :
5(x - 4) – 3(y - 5) = 0 hay 5x - 3y – 5 = 0
Câu 4: Trong mặt phẳng với hệ tọa độ Oxy, cho tam giác ABC có A(2;-1) ; B( 4;5) và C( -3; 2). Tìm trực tâm tam giác ABC?
A. (
; -
)
B. (
;
)
C. (
;
)
D. (
;
)
Lời giải:
Đáp án: B
+ Gọi H và K lần lượt là chân đường vuông góc kẻ từ C và B của tam giác ABC.
+ Đường thẳng CH :
⇒ Phương trình đường cao CH :
2(x + 3) + 6(y - 2) = 0 hay 2x + 6y – 6 = 0
⇔ (CH) : x+ 3y – 3= 0
+ Đường thẳng BK :
=>Phương trình đường cao BK : - 5(x - 4) + 3(y - 5)=0 hay -5x + 3y + 5 = 0.
+ Gọi P là trực tâm tam giác ABC. Khi đó P là giao điểm của hai đường cao CH và BK nên tọa độ điểm P là nghiệm hệ :
Vậy trực tâm tam giác ABC là P(
;
)
Câu 5: Cho tam giác ABC có A( 2;-1) ; B( 4; 5) và C( -3; 2). Phương trình tổng quát của đường cao AH của tam giác ABC là:
A. 3x - 7y + 11 = 0. B. 7x + 3y - 11 = 0 C. 3x - 7y - 13 = 0. D. 7x + 3y + 13 = 0.
Lời giải:
Đáp án: B
Gọi AH là đường cao của tam giác.
Đường thẳng AH : đi qua A( 2; -1) và nhận BC→ = (-7; -3) = - (7; 3) làm VTPT
=> Phương trình tổng quát AH: 7(x - 2) + 3(y + 1)= 0 hay 7x + 3y - 11 = 0
Câu 6: Cho đường thẳng (d): 3x- 2y+ 8= 0. Đường thẳng ∆ đi qua M(3; 1) và song song với (d) có phương trình:
A. 3x - 2y - 7 = 0. B. 2x + 3y - 9 = 0. C. 2x - 3y - 3 = 0. D. 3x - 2y + 1 = 0
Lời giải:
Đáp án: A
Do ∆ song song với d nên có phương trình dạng: 3x - 2y + c = 0 (c ≠ 8)
Mà ∆ đi qua M (3;1) nên 3.3 - 2.1 + c = 0 nên c = - 7
Vậy phương trình ∆: 3x - 2y - 7 = 0
Câu 7: Cho tam giác ABC có B(2; -3). Gọi I và J lần lượt là trung điểm của AB và AC. Biết đường thẳng IJ có phương trình x- y+ 3= 0. Lập phương trình đường thẳng BC?
A. x + y + 2 = 0 B. x - y - 5 = 0 C. x - y + 6 = 0 D. x - y = 0
Lời giải:
Đáp án: B
Do I và J lần lượt là trung điểm của AB và AC nên IJ là đường trung bình của tam giác ABC.
⇒ IJ// BC.
⇒ Đường thẳng BC có dạng : x - y + c = 0 ( c ≠ 3)
Mà điểm B thuộc BC nên: 2 - (-3) + c = 0 ⇔ c = -5
⇒ phương trình đường thẳng BC: x - y - 5 = 0
Câu 8: Cho tam giác ABC cân tại A có A(3 ; 2). Gọi M là trung điểm của BC và M( -2 ; -4). Lập phương trình đường thẳng BC ?
A. 6x - 5y + 13 = 0 B. 5x - 6y + 6 = 0 C. 5x + 6y + 34 = 0 D. 5x + 6y + 1 = 0
Lời giải:
Đáp án: C
+ Do tam giác ABC cân tại A nên đường trung tuyến AM đồng thời là đường cao
⇒ AM vuông góc BC.
⇒ Đường thẳng BC nhận AM→( - 5; -6) = -(5; 6) làm VTPT
+ Đường thẳng BC :
⇒ Phương trình đường thẳng BC :
5(x + 2) + 6( y + 4) = 0 hay 5x + 6y + 34= 0
Câu 9: Viết phương trình tổng quát của đường thẳng d đi qua điểm M( -1; 2) và song song với trục Ox.
A. y + 2 = 0 B. x + 1 = 0 C. x - 1 = 0 D. y - 2 = 0
Lời giải:
Đáp án: D
Trục Ox có phương trình y= 0
Đường thẳng d song song với trục Ox có dạng : y + c = 0 ( c ≠ 0)
Vì đường thẳng d đi qua điểm M( -1 ;2) nên 2 + c = 0 ⇔ c= -2
Vậy phương trình đường thẳng d cần tìm là : y - 2= 0
(199k) Xem Khóa học Toán 10 KNTTXem Khóa học Toán 10 CDXem Khóa học Toán 10 CTST
Xem thêm các dạng bài tập Toán 10 có đáp án hay khác:
- Các công thức về phương trình đường thẳng
- Cách tìm vecto pháp tuyến của đường thẳng
- Viết phương trình đoạn chắn của đường thẳng
- Viết phương trình đường thẳng khi biết hệ số góc
- Xác định vị trí tương đối của hai đường thẳng
- Viết phương trình đường trung trực của đoạn thẳng
- Tìm hình chiếu vuông góc của điểm lên đường thẳng
- Tìm điểm đối xứng của một điểm qua đường thẳng
Để học tốt lớp 10 các môn học sách mới:
- Giải bài tập Lớp 10 Kết nối tri thức
- Giải bài tập Lớp 10 Chân trời sáng tạo
- Giải bài tập Lớp 10 Cánh diều
Tủ sách VIETJACK shopee lớp 10-11 (cả 3 bộ sách):
Đã có app VietJack trên điện thoại, giải bài tập SGK, SBT Soạn văn, Văn mẫu, Thi online, Bài giảng....miễn phí. Tải ngay ứng dụng trên Android và iOS.
Theo dõi chúng tôi miễn phí trên mạng xã hội facebook và youtube:Nếu thấy hay, hãy động viên và chia sẻ nhé! Các bình luận không phù hợp với nội quy bình luận trang web sẽ bị cấm bình luận vĩnh viễn.
- Giải Tiếng Anh 10 Global Success
- Giải Tiếng Anh 10 Friends Global
- Giải sgk Tiếng Anh 10 iLearn Smart World
- Giải sgk Tiếng Anh 10 Explore New Worlds
- Lớp 10 - Kết nối tri thức
- Soạn văn 10 (hay nhất) - KNTT
- Soạn văn 10 (ngắn nhất) - KNTT
- Soạn văn 10 (siêu ngắn) - KNTT
- Giải sgk Toán 10 - KNTT
- Giải sgk Vật lí 10 - KNTT
- Giải sgk Hóa học 10 - KNTT
- Giải sgk Sinh học 10 - KNTT
- Giải sgk Địa lí 10 - KNTT
- Giải sgk Lịch sử 10 - KNTT
- Giải sgk Kinh tế và Pháp luật 10 - KNTT
- Giải sgk Tin học 10 - KNTT
- Giải sgk Công nghệ 10 - KNTT
- Giải sgk Hoạt động trải nghiệm 10 - KNTT
- Giải sgk Giáo dục quốc phòng 10 - KNTT
- Lớp 10 - Chân trời sáng tạo
- Soạn văn 10 (hay nhất) - CTST
- Soạn văn 10 (ngắn nhất) - CTST
- Soạn văn 10 (siêu ngắn) - CTST
- Giải Toán 10 - CTST
- Giải sgk Vật lí 10 - CTST
- Giải sgk Hóa học 10 - CTST
- Giải sgk Sinh học 10 - CTST
- Giải sgk Địa lí 10 - CTST
- Giải sgk Lịch sử 10 - CTST
- Giải sgk Kinh tế và Pháp luật 10 - CTST
- Giải sgk Hoạt động trải nghiệm 10 - CTST
- Lớp 10 - Cánh diều
- Soạn văn 10 (hay nhất) - Cánh diều
- Soạn văn 10 (ngắn nhất) - Cánh diều
- Soạn văn 10 (siêu ngắn) - Cánh diều
- Giải sgk Toán 10 - Cánh diều
- Giải sgk Vật lí 10 - Cánh diều
- Giải sgk Hóa học 10 - Cánh diều
- Giải sgk Sinh học 10 - Cánh diều
- Giải sgk Địa lí 10 - Cánh diều
- Giải sgk Lịch sử 10 - Cánh diều
- Giải sgk Kinh tế và Pháp luật 10 - Cánh diều
- Giải sgk Tin học 10 - Cánh diều
- Giải sgk Công nghệ 10 - Cánh diều
- Giải sgk Hoạt động trải nghiệm 10 - Cánh diều
- Giải sgk Giáo dục quốc phòng 10 - Cánh diều


Giải bài tập SGK & SBT
Tài liệu giáo viên
Sách
Khóa học
Thi online
Hỏi đáp

