60 bài tập trắc nghiệm Đạo hàm có đáp án (phần 1)
Với 60 bài tập trắc nghiệm Đạo hàm (phần 1) có lời giải chi tiết sẽ giúp học sinh ôn tập, biết cách làm bài tập trắc nghiệm Đạo hàm (phần 1).
60 bài tập trắc nghiệm Đạo hàm có đáp án (phần 1)
(199k) Xem Khóa học Toán 11 KNTTXem Khóa học Toán 11 CDXem Khóa học Toán 11 CTST
Bài 1: Đạo hàm của hàm số y = (2x4-3x2-5x)(x2-7x) bằng biểu thức nào dưới đây?
A. (8x3-6x-5)(2x-7)
B. (8x3-6x-5)(x2-7x)-(2x4-3x2-5x)(2x-7)
C. (8x3-6x-5)(x2-7x)+(2x4-3x2-5x)(2x-7)
D. (8x3-6x-5)+(2x-7)
Lời giải:
Đáp án: C
Áp dụng công thức đạo hàm hàm hơp (uv)’= u’v + uv’ ta có:
y' = (8x3-6x-5)(x2-7x)+(2x4-3x2-5x)(2x-7)
Chọn đáp án là C
Bài 2: Cho hàm số f(x) = sinx.sin2x.sin3x. Giá trị của f '(π/12) bằng:
Lời giải:
Đáp án: B
Chọn đáp án B
Bài 3: Đạo hàm của hàm số bằng biểu thức nào dưới đây?
Lời giải:
Đáp án: D
Áp dụng công thưc đạo hàm hàm hợp ta có:
Chọn đáp án là D
Bài 4: Đạo hàm của hàm số f(x) = cot2x bằng biểu thức nào sau đây?
Lời giải:
Đáp án: D
Ta có:
Bài 5: Đạo hàm của hàm số bằng biểu thức nào dưới đây?
Lời giải:
Đáp án: B
Áp dụng công thức đạo hàm hàm hơp (uv)’= u’v + uv’ ta có:
Chọn đáp án là B
Bài 6: Đạo hàm cấp hai của hàm số y = cos2x bằng biểu thức nào sau đây?
A. -2sin2x
B. -4cos2x
C. -4sin2x
D. 4cos2x
Lời giải:
Đáp án: C
y’ = (cos2x)’ = -4sin2x
Chọn đáp án C
Bài 7: Đạo hàm của hàm số f(t) = a3t4 - 2at2 + 3t - 5a bằng biểu thức nào sau đây?
A. 4a3t3 - 4at + 3
B. 3a2t4 - 2t2 - 5
C. 12a2t3 - 4at - 2
D. 4a3t3 - 4at - 5
Lời giải:
Đáp án: B
f'(t) = 4a3t3 - 4at + 3
Chọn đáp án là B
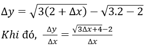
Bài 8: Cho hàm số f(x) = x2 + 2x, có Δx là số gia của đối số tại x = 1, Δy là số gia tương ứng của hàm số. Khi đó Δy bằng:
A. (Δx)2 + 2Δx
B. (Δx)2 + 4Δx
C. (Δx)2 + 2Δx - 3
D. 3
Lời giải:
Đáp án: B
Δy = f(1+Δx) - f(1) = (1+Δx)2 + 2(1+Δx) - (1+2) = (Δx)2 + 4Δx
Đáp án B
Bài 9: Đạo hàm của hàm số bằng biểu thức nào sau đây?
Lời giải:
Đáp án: B
Chọn đáp án là B
Bài 10: Cho hàm số f(x) = cos2x. Giá trị của f '(π/6) bằng:
Lời giải:
Đáp án: D
Chọn đáp án D
Bài 11: Cho hàm số
Đạo hàm của hàm số đã cho tại x = 1 là:
A. 1/4 B. -1/2 C. 0 D. 1/2
Lời giải:
Đáp án: A
với Δx là số gia của đối số tại x = 1, ta có
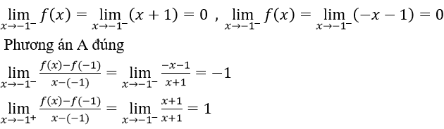
Bài 12: Cho hàm số f(x) = |x+1|. Khẳng định nào sau đây là sai?
A. f(x) liên tục tại x = -1
B. f(x) có đạo hàm tại x = -1
C. f(-1) = 0
D. f(x) đạt giá trị nhỏ nhất tại x = -1
Lời giải:
Đáp án: B
f(-1) = 0 ⇒ phương án C đúng
f(x) ≥ 0, ∀x. f(x)=0 ⇔ x = -1 ⇒ phương án D đúng
Suy ra không tồn tại giới hạn của tỉ số khi x → -1
Do đó hàm số đã cho không có đạo hàm tại x = -1
Vậy chọn đáp án là B
Bài 13: Đạo hàm của hàm số y = tan(2x+1) - xcos2x bằng biểu thức nào sau đây:
Lời giải:
Đáp án: A
Chọn đáp án A
Bài 14: Số gia của hàm số f(x) = 2x2 - 1 tại x0 = 1 ứng với số gia Δx = 0,1 bằng:
A. 1
B. 1,42
C. 2,02
D. 0,42
Lời giải:
Đáp án: B
Vậy chọn đáp án là B
Bài 15: Cho hàm số y = √x, Δx là số gia của đối số tại x. Khi đó Δy/Δx bằng:
Lời giải:
Đáp án: C
Δy = f(x0 + Δx) - f(x0)
Vậy chọn đáp án là C
Bài 16: Đạo hàm của hàm số y = cot2x2 bằng biểu thức nào sau đây:
Lời giải:
Đáp án: D
Chọn đáp án D
Bài 17: Cho hàm số
Đạo hàm của hàm số đã cho tại x = 1?
A. 1
B. 0
C. 1/4
D. -1/4
Lời giải:
Đáp án: C
Ta có
Vậy chọn đáp án là C
Bài 18: Đạo hàm của các hàm số sau tại các điểm đã cho: f(x) = 2x3 + 1 tại x = 2?
A. 10
B. 24
C. 22
D. 42
Lời giải:
Đáp án: B
Ta có
Vậy chọn đáp án là B
Bài 19: Cho hàm số f(x) = sin4x + cos4x - 2sin2xcos2x. Giá trị của f '(π/24) bằng:
A. -1 B. 1 C. 1/2 D. -1/2
Lời giải:
Đáp án: A
Chọn đáp án A
Bài 20: Đạo hàm của các hàm số sau tại các điểm đã cho: f(x) = √(x2 + 1) tại ?
A. 1/2
B. -1/√2
C. 0
D. 3
Lời giải:
Đáp án: A
Ta có f(0) = 0, do đó:
Vậy chọn đáp án là A
Bài 21: Đạo hàm cuả hàm số bằng biểu thức nào sau đây?
Lời giải:
Đáp án: A
Ta có:
Bài 22: Hàm số có ∆x là số gia của đối số tại x = 2. Khi đó ∆y/∆x bằng?
Lời giải:
Đáp án: A
Vậy chọn đáp án là A
Bài 23: Đạo hàm của hàm số bằng biểu thức nào sau đây?
Lời giải:
Đáp án: B
Vậy chọn đáp án là B
Bài 24: Đạo hàm của các hàm số sau tại các điểm đã cho: f(x) = x2 + 1 tại x = 1?
A. 1/2 B. 1 C. 0 D. 2
Lời giải:
Đáp án: D
Vậy chọn đáp án là D
Bài 25: Đạo hàm của hàm số bằng biểu thức nào dưới đây?
Lời giải:
Đáp án: A
Vậy chọn đáp án là A
Bài 26: Đạo hàm của hàm số bằng
Lời giải:
Đáp án: B
y' = 5x4 - (2/x2)
Chọn đáp án là B
Bài 27: Đạo hàm của hàm số bằng biểu thức nào dưới đây?
Lời giải:
Đáp án: C
Chọn đáp án là C
Bài 28: Đạo hàm của hàm số f(x) = cot2x bằng biểu thức nào sau đây?
Lời giải:
Đáp án: D
Chọn đáp án là D
Bài 29: Đạo hàm của hàm số (với c + d ≠ 0) bằng biểu thức nào dưới đây?
Lời giải:
Đáp án: A
Chọn đáp án là A
Bài 30: Đạo hàm của hàm số bằng biểu thức nào sau đây?
Lời giải:
Đáp án: C
Chọn đáp án là C
(199k) Xem Khóa học Toán 11 KNTTXem Khóa học Toán 11 CDXem Khóa học Toán 11 CTST
Xem thêm các dạng bài tập Toán lớp 11 có trong đề thi THPT Quốc gia khác:
- Dạng 1: Tính đạo hàm bằng định nghĩa
- Dạng 2: Tính đạo hàm bằng công thức
- Dạng 3: Tính đạo hàm của hàm số lượng giác
- 60 bài tập trắc nghiệm Đạo hàm có đáp án (phần 2)
Tủ sách VIETJACK shopee lớp 10-11 (cả 3 bộ sách):
Đã có app VietJack trên điện thoại, giải bài tập SGK, SBT Soạn văn, Văn mẫu, Thi online, Bài giảng....miễn phí. Tải ngay ứng dụng trên Android và iOS.
Theo dõi chúng tôi miễn phí trên mạng xã hội facebook và youtube:Nếu thấy hay, hãy động viên và chia sẻ nhé! Các bình luận không phù hợp với nội quy bình luận trang web sẽ bị cấm bình luận vĩnh viễn.
- Giải Tiếng Anh 11 Global Success
- Giải sgk Tiếng Anh 11 Smart World
- Giải sgk Tiếng Anh 11 Friends Global
- Lớp 11 - Kết nối tri thức
- Soạn văn 11 (hay nhất) - KNTT
- Soạn văn 11 (ngắn nhất) - KNTT
- Giải sgk Toán 11 - KNTT
- Giải sgk Vật Lí 11 - KNTT
- Giải sgk Hóa học 11 - KNTT
- Giải sgk Sinh học 11 - KNTT
- Giải sgk Lịch Sử 11 - KNTT
- Giải sgk Địa Lí 11 - KNTT
- Giải sgk Giáo dục KTPL 11 - KNTT
- Giải sgk Tin học 11 - KNTT
- Giải sgk Công nghệ 11 - KNTT
- Giải sgk Hoạt động trải nghiệm 11 - KNTT
- Giải sgk Giáo dục quốc phòng 11 - KNTT
- Giải sgk Âm nhạc 11 - KNTT
- Lớp 11 - Chân trời sáng tạo
- Soạn văn 11 (hay nhất) - CTST
- Soạn văn 11 (ngắn nhất) - CTST
- Giải sgk Toán 11 - CTST
- Giải sgk Vật Lí 11 - CTST
- Giải sgk Hóa học 11 - CTST
- Giải sgk Sinh học 11 - CTST
- Giải sgk Lịch Sử 11 - CTST
- Giải sgk Địa Lí 11 - CTST
- Giải sgk Giáo dục KTPL 11 - CTST
- Giải sgk Hoạt động trải nghiệm 11 - CTST
- Giải sgk Âm nhạc 11 - CTST
- Lớp 11 - Cánh diều
- Soạn văn 11 Cánh diều (hay nhất)
- Soạn văn 11 Cánh diều (ngắn nhất)
- Giải sgk Toán 11 - Cánh diều
- Giải sgk Vật Lí 11 - Cánh diều
- Giải sgk Hóa học 11 - Cánh diều
- Giải sgk Sinh học 11 - Cánh diều
- Giải sgk Lịch Sử 11 - Cánh diều
- Giải sgk Địa Lí 11 - Cánh diều
- Giải sgk Giáo dục KTPL 11 - Cánh diều
- Giải sgk Tin học 11 - Cánh diều
- Giải sgk Công nghệ 11 - Cánh diều
- Giải sgk Hoạt động trải nghiệm 11 - Cánh diều
- Giải sgk Giáo dục quốc phòng 11 - Cánh diều
- Giải sgk Âm nhạc 11 - Cánh diều


Giải bài tập SGK & SBT
Tài liệu giáo viên
Sách
Khóa học
Thi online
Hỏi đáp

